Thickness Distribution Prediction for Tectonically Deformed Coal with a Deep Belief Network: A Case Study
Abstract
1. Introduction
2. Methods
2.1. Dimensionality Reduction
2.2. Restricted Boltzmann Machine
2.3. The DBN Prediction Model
3. Synthetic Example
3.1. Synthetic Data Preparing
3.2. Dimensional Reduction and TDC Prediction
3.3. Prediction Comparison
4. Case Study
4.1. General Settings
4.2. Cross-Validation
4.3. Prediction
4.4. Discussions
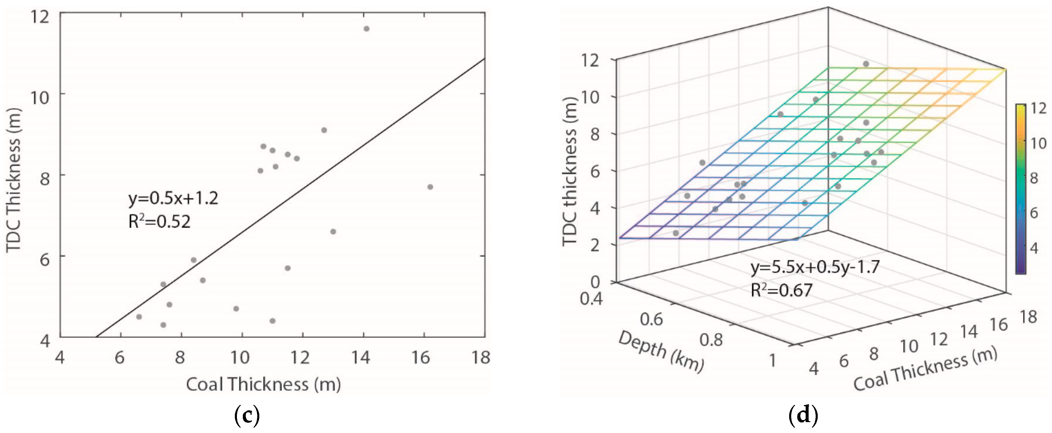
4.4.1. Influences of Burial Depth and Coalbed Thickness
4.4.2. Influences of Fault Development
4.4.3. Prediction Comparison
5. Conclusions
- (1)
- The predicted TDC thicknesses with SVM, ELM, and DBN models were accurate and stable, while the DBN model provided the best results considering the prediction accuracy and stability. However, it is worthy of further studies of this model on the TDC thickness prediction in some other areas.
- (2)
- Both synthetic and measured seismic attributes had more or less correlation with each other. PCA could transform the high dimensional seismic attributes into low dimensional PCs and simplify the complexity of TDC-thickness prediction.
- (3)
- The burial depth, coalbed thickness, and fault development were the main influence factors for the TDC thickness in the study area. This observation was consistent with the known regional characteristics of TDC development.
Author Contributions
Funding
Conflicts of Interest
References
- Cao, Y.X.; Davis, A.; Liu, R.X.; Liu, X.W.; Zhang, Y.G. The influence of tectonic deformation on some geochemical properties of coal—A possible indicator of outburst potential. Int. J. Coal Geol. 2003, 53, 69–79. [Google Scholar] [CrossRef]
- Li, M.; Jiang, B.; Lin, S.; Wang, J.; Ji, M.; Qu, Z. Tectonically deformed coal types and pore structures in Puhe and Shanchahe coal mines in western Guizhou. Min. Sci. Technol. 2011, 21, 353–357. [Google Scholar] [CrossRef]
- Li, H.Y. Major and minor structural features of a bedding shear zone along a coal seam and related gas outburst, Pingdingshan coalfield, northern China. Int. J. Coal Geol. 2001, 47, 101–113. [Google Scholar] [CrossRef]
- Li, H.Y.; Ogawa, Y.; Shimada, S. Mechanism of methane flow through sheared coals and its role on methane recovery. Fuel 2003, 82, 1271–1279. [Google Scholar] [CrossRef]
- Ju, Y.W.; Li, X.S. New research progress on the ultrastructure of tectonically deformed coals. Prog. Nat. Sci. Mater. 2009, 19, 1455–1466. [Google Scholar] [CrossRef]
- Yao, J.-P.; Sima, L.-Q.; Zhang, Y.-G. Quantitative identification of deformed coals by geophysical logging. Meitan Xuebao/J. China Coal Soc. 2011, 36 (Suppl. 1), 94–98. [Google Scholar]
- Xue, G.; Liu, H.; Li, W. Deformed coal types and pore characteristics in Hancheng coalmines in Eastern Weibei coalfields. Int. J. Min. Sci. Technol. 2012, 22, 681–686. [Google Scholar] [CrossRef]
- Bunt, R.J.W. The use of seismic attributes for fan and reservoir definition in the Sea Lion Field, North Falkland Basin. Pet. Geosci. 2015, 21, 137–149. [Google Scholar] [CrossRef]
- Hart, B.S. Channel detection in 3-D seismic data using sweetness. AAPG Bull. 2008, 92, 733–742. [Google Scholar] [CrossRef]
- Jahan, I.; Castagna, J.; Murphy, M.; Kayali, M.A. Fault detection using principal component analysis of seismic attributes in the Bakken Formation, Williston Basin, North Dakota, USA. Interpret. J. Sub 2017, 5, T361–T372. [Google Scholar] [CrossRef]
- Wang, X.; Li, Y.; Chen, T.J.; Yan, Q.Y.; Ma, L. Quantitative thickness prediction of tectonically deformed coal using Extreme Learning Machine and Principal Component Analysis: A case study. Comput. Geosci. 2017, 101, 38–47. [Google Scholar] [CrossRef]
- Lu, J.; Wang, Y.; Chen, J.Y. Detection of Tectonically Deformed Coal Using Model-Based Joint Inversion of Multi-Component Seismic Data. Energies 2018, 11, 829. [Google Scholar] [CrossRef]
- Teng, J.; Yao, Y.B.; Liu, D.M.; Cai, Y.D. Evaluation of coal texture distributions in the southern Qinshui basin, North China: Investigation by a multiple geophysical logging method. Int. J. Coal Geol. 2015, 140, 9–22. [Google Scholar] [CrossRef]
- Wu, H.B.; Dong, S.H.; Huang, Y.P.; Chen, G.W.; Wang, H.L. A Method for Coal Structure Division Based on Avo Simultaneous Inversion. J. Seism. Explor. 2015, 24, 365–377. [Google Scholar]
- Jiang, B.; Qu, Z.H.; Wang, G.G.X.; Li, M. Effects of structural deformation on formation of coalbed methane reservoirs in Huaibei coalfield, China. Int. J. Coal Geol. 2010, 82, 175–183. [Google Scholar] [CrossRef]
- Chen, T.-J.; Wang, X.; Guan, Y.-W. Quantitative prediction of tectonic coal seam thickness using support vector regression and seismic attributes. Meitan Xuebao/J. China Coal Soc. 2015, 40, 1103–1108. [Google Scholar]
- Wang, X.; Chen, T. Quantitative prediction of tectonic coal thickness based on FNN and seismic attributes. J. Inf. Comput. Sci. 2014, 11, 3653–3662. [Google Scholar] [CrossRef]
- Hinton, G.E.; Osindero, S.; Teh, Y.W. A fast learning algorithm for deep belief nets. Neural Comput. 2006, 18, 1527–1554. [Google Scholar] [CrossRef]
- Liu, W.B.; Wang, Z.D.; Liu, X.H.; Zengb, N.Y.; Liu, Y.R.; Alsaadi, F.E. A survey of deep neural network architectures and their applications. Neurocomputing 2017, 234, 11–26. [Google Scholar] [CrossRef]
- Chen, Y.S.; Zhao, X.; Jia, X.P. Spectral-Spatial Classification of Hyperspectral Data Based on Deep Belief Network. IEEE J. Stars 2015, 8, 2381–2392. [Google Scholar] [CrossRef]
- Sarikaya, R.; Hinton, G.E.; Deoras, A. Application of Deep Belief Networks for Natural Language Understanding. IEEE-ACM Trans. Audio Speech 2014, 22, 778–784. [Google Scholar] [CrossRef]
- Ringner, M. What is principal component analysis? Nat. Biotechnol. 2008, 26, 303–304. [Google Scholar] [CrossRef] [PubMed]
- Hu, S.; Zhao, W.; Xu, Z.; Zeng, H.; Fu, Q.; Jiang, L.; Shi, S.; Wang, Z.; Liu, W. Applying principal component analysis to seismic attributes for interpretation of evaporite facies: Lower Triassic Jialingjiang Formation, Sichuan Basin, China. Interpret. A J. Subsurf. Charact. 2017, 5, T461–T475. [Google Scholar] [CrossRef]
- Barrash, W.; Morin, R.H. Recognition of units in coarse, unconsolidated braided-stream deposits from geophysical log data with principal components analysis. Geology 1997, 25, 687–690. [Google Scholar] [CrossRef]
- Jolliffe, I.T. Principal Component Analysis, 2nd ed.; Springer: New York, NY, USA, 2002; pp. 44–46. [Google Scholar]
- Hinton, G.E.; Salakhutdinov, R.R. Reducing the dimensionality of data with neural networks. Science 2006, 313, 504–507. [Google Scholar] [CrossRef]
- Huang, G.B.; Zhu, Q.Y.; Siew, C.K. Extreme learning machine: Theory and applications. Neurocomputing 2006, 70, 489–501. [Google Scholar] [CrossRef]
- Chang, C.-C.; Lin, C.-J. LIBSVM: A library for support vector machines. ACM Trans. Intell. Syst. Technol. 2011, 2, 1–27. [Google Scholar] [CrossRef]
- Chen, T.J.; Ma, G.D.; Wang, X.; Cui, R.F. Deformation Degree Estimate for Coal Seam using Well Logs as Input: A Case Study. J. Environ. Eng. Geophys. 2018, 23, 89–101. [Google Scholar]
- Sheriff, R.E. Encyclopedic Dictionary of Applied Geophysics, 4th ed.; Society of Exploration Geophysicists: Tulsa, OK, USA, 2002. [Google Scholar]














| Attr1 | Attr2 | Attr3 | Attr4 | Attr5 | Attr6 | Attr7 | Attr8 | Attr9 | Attr10 | Attr11 | |
|---|---|---|---|---|---|---|---|---|---|---|---|
| Attr1 | 1.00 | −0.18 | −0.17 | 0.09 | 0.10 | 0.10 | 0.09 | 0.09 | 0.08 | 0.08 | 0.15 |
| Attr2 | −0.18 | 1.00 | 0.99 | −0.76 | −0.78 | −0.78 | −0.77 | −0.77 | −0.75 | −0.75 | −0.83 |
| Attr3 | −0.17 | 0.99 | 1.00 | −0.84 | −0.85 | −0.85 | −0.85 | −0.84 | −0.83 | −0.83 | −0.90 |
| Attr4 | 0.09 | −0.76 | −0.84 | 1.00 | 1.00 | 1.00 | 1.00 | 1.00 | 1.00 | 1.00 | 0.98 |
| Attr5 | 0.10 | −0.78 | −0.85 | 1.00 | 1.00 | 1.00 | 1.00 | 1.00 | 1.00 | 1.00 | 0.98 |
| Attr6 | 0.10 | −0.78 | −0.85 | 1.00 | 1.00 | 1.00 | 1.00 | 1.00 | 1.00 | 1.00 | 0.98 |
| Attr7 | 0.09 | −0.77 | −0.85 | 1.00 | 1.00 | 1.00 | 1.00 | 1.00 | 1.00 | 1.00 | 0.98 |
| Attr8 | 0.09 | −0.77 | −0.84 | 1.00 | 1.00 | 1.00 | 1.00 | 1.00 | 1.00 | 1.00 | 0.98 |
| Attr9 | 0.08 | −0.75 | −0.83 | 1.00 | 1.00 | 1.00 | 1.00 | 1.00 | 1.00 | 1.00 | 0.98 |
| Attr10 | 0.08 | −0.75 | −0.83 | 1.00 | 1.00 | 1.00 | 1.00 | 1.00 | 1.00 | 1.00 | 0.98 |
| Attr11 | 0.15 | −0.83 | −0.90 | 0.98 | 0.98 | 0.98 | 0.98 | 0.98 | 0.98 | 0.98 | 1.00 |
| PCs | Eigenvalues | Variance Contributions | Cumulative Contributions |
|---|---|---|---|
| PC1 | 3.332 | 0.937 | 0.937 |
| PC2 | 0.177 | 0.050 | 0.986 |
| PC3 | 0.042 | 0.012 | 0.998 |
| PC4 | 0.006 | 0.002 | 1.000 |
| Well Name | Inline | Xline | Depth (m) | Coalbed Thickness (m) | TDC Thickness (m) |
|---|---|---|---|---|---|
| L44 | 375 | 345 | 926.8 | 10.6 | 8.1 |
| L50 | 321 | 151 | 813.0 | 11.8 | 8.4 |
| 91-5 | 224 | 209 | 671.2 | 13.0 | 6.6 |
| 2002-4 | 239 | 311 | 723.9 | 14.1 | 11.6 |
| 2002-5 | 309 | 248 | 795.0 | 12.7 | 9.1 |
| 2010-11 | 325 | 413 | 877.3 | 11.1 | 8.2 |
| 2012-1 | 118 | 565 | 643.5 | 7.4 | 5.3 |
| 2014-5 | 376 | 177 | 930.7 | 11.0 | 8.6 |
| L43 | 297 | 327 | 807.9 | 10.7 | 8.7 |
| 06-4 | 51 | 249 | 457.8 | 7.4 | 4.3 |
| 91-2 | 101 | 284 | 566.0 | 11.5 | 8.5 |
| 92-8 | 56 | 494 | 592.8 | 6.6 | 4.5 |
| 94-2 | 134 | 235 | 600.4 | 3.8 | 3.8 |
| 91-1 | 52 | 298 | 458.6 | 8.4 | 5.9 |
| 92-2 | 20 | 471 | 589.6 | 7.6 | 4.8 |
| 94-5 | 15 | 442 | 582.9 | 8.7 | 5.4 |
| 2002-3 | 239 | 405 | 760.4 | 11.5 | 5.7 |
| 94-1 | 167 | 128 | 505.6 | 9.8 | 4.7 |
| 94-3 | 138 | 70 | 448.6 | 16.2 | 7.7 |
| 99-1 | 161 | 404 | 673.6 | 11.0 | 4.4 |
| Attr1 | Attr2 | Attr3 | Attr4 | Attr5 | Attr6 | Attr7 | Attr8 | Attr9 | Attr10 | Attr11 | |
|---|---|---|---|---|---|---|---|---|---|---|---|
| Attr1 | 1.00 | 0.06 | 0.05 | −0.06 | 0.01 | 0.00 | 0.01 | 0.01 | 0.01 | −0.04 | 0.04 |
| Attr2 | 0.06 | 1.00 | 0.93 | −0.06 | −0.04 | −0.03 | −0.01 | 0 | −0.01 | 0.17 | 0.38 |
| Attr3 | 0.05 | 0.93 | 1.00 | 0.10 | −0.05 | −0.03 | −0.01 | −0.01 | −0.02 | 0.36 | 0.05 |
| Attr4 | −0.06 | −0.06 | 0.10 | 1.00 | −0.02 | 0.01 | 0.02 | 0.01 | −0.01 | 0.94 | −0.50 |
| Attr5 | 0.01 | −0.04 | −0.05 | −0.02 | 1.00 | 1.00 | 1.00 | 1.00 | 1.00 | −0.04 | 0.04 |
| Attr6 | 0 | −0.03 | −0.03 | 0.01 | 1.00 | 1.00 | 1.00 | 1.00 | 1.00 | 0 | 0.02 |
| Attr7 | 0.01 | −0.01 | −0.01 | 0.02 | 1.00 | 1.00 | 1.00 | 1.00 | 1.00 | 0.01 | 0.01 |
| Attr8 | 0.01 | 0 | −0.01 | 0.01 | 1.00 | 1.00 | 1.00 | 1.00 | 1.00 | 0.01 | 0.02 |
| Attr9 | 0.01 | −0.01 | −0.02 | −0.01 | 1.00 | 1.00 | 1.00 | 1.00 | 1.00 | −0.01 | 0.03 |
| Attr10 | −0.04 | 0.17 | 0.36 | 0.94 | −0.04 | 0 | 0.01 | 0.01 | −0.01 | 1.00 | −0.51 |
| Attr11 | 0.04 | 0.38 | 0.05 | −0.50 | 0.04 | 0.02 | 0.01 | 0.02 | 0.03 | −0.51 | 1.00 |
| PCs | Eigenvalues | Variance Contributions | Cumulative Contributions |
|---|---|---|---|
| PC1 | 0.087 | 0.603 | 0.603 |
| PC2 | 0.038 | 0.265 | 0.868 |
| PC3 | 0.010 | 0.071 | 0.938 |
| PC4 | 0.005 | 0.036 | 0.974 |
| PC5 | 0.003 | 0.020 | 0.995 |
| PC6 | 0.001 | 0.005 | 0.999 |
| PC7 | 0 | 0 | 1.000 |
| Well Number | Well Name | True TDC Thickness (m) | SVM Model | ELM Model | DBN Model | |||
|---|---|---|---|---|---|---|---|---|
| Predicted Thickness (m) | Absolute Errors (m) | Predicted Thickness (m) | Absolute Errors (m) | Predicted Thickness (m) | Absolute Errors (m) | |||
| 1 | L44 | 8.1 | 8.36 | 0.26 | 9.02 | 0.92 | 7.61 | 0.49 |
| 2 | L50 | 8.4 | 9.20 | 0.80 | 9.18 | 0.78 | 9.03 | 0.63 |
| 3 | 91-5 | 6.6 | 6.21 | 0.39 | 7.23 | 0.63 | 6.64 | 0.04 |
| 4 | 2002-4 | 11.6 | 10.41 | 1.19 | 10.53 | 1.07 | 10.58 | 1.02 |
| 5 | 2002-5 | 9.1 | 10.96 | 1.86 | 7.69 | 1.41 | 8.12 | 0.98 |
| 6 | 2010-11 | 8.2 | 8.50 | 0.30 | 8.15 | 0.05 | 7.47 | 0.73 |
| 7 | 2012-1 | 5.3 | 6.30 | 1.00 | 6.24 | 0.94 | 5.89 | 0.59 |
| 8 | 2014-5 | 8.6 | 8.34 | 0.26 | 8.40 | 0.20 | 8.06 | 0.54 |
| 9 | L43 | 8.7 | 9.40 | 0.70 | 9.27 | 0.57 | 9.10 | 0.40 |
| 10 | 06-4 | 4.3 | 4.38 | 0.08 | 6.83 | 2.53 | 4.85 | 0.55 |
| 11 | 91-2 | 8.5 | 7.45 | 1.05 | 7.60 | 0.90 | 7.53 | 0.97 |
| 12 | 92-8 | 4.5 | 4.94 | 0.44 | 5.20 | 0.70 | 5.71 | 1.21 |
| 13 | 94-2 | 3.8 | 6.93 | 3.13 | 2.69 | 1.11 | 4.56 | 0.76 |
| 14 | 91-1 | 5.9 | 6.05 | 0.15 | 5.66 | 0.24 | 6.16 | 0.26 |
| 15 | 92-2 | 4.8 | 5.77 | 0.97 | 5.26 | 0.46 | 6.73 | 1.93 |
| 16 | 94-5 | 5.4 | 6.10 | 0.70 | 6.03 | 0.63 | 6.11 | 0.71 |
| 17 | 2002-3 | 5.7 | 5.11 | 0.59 | 6.35 | 0.65 | 6.21 | 0.51 |
| 18 | 94-1 | 4.7 | 6.50 | 1.80 | 6.71 | 2.01 | 6.32 | 1.62 |
| 19 | 94-3 | 7.7 | 6.95 | 0.75 | 7.31 | 0.39 | 7.72 | 0.02 |
| 20 | 99-1 | 4.4 | 5.92 | 1.52 | 5.24 | 0.84 | 5.21 | 0.81 |
© 2020 by the authors. Licensee MDPI, Basel, Switzerland. This article is an open access article distributed under the terms and conditions of the Creative Commons Attribution (CC BY) license (http://creativecommons.org/licenses/by/4.0/).
Share and Cite
Wang, X.; Chen, T.; Xu, H. Thickness Distribution Prediction for Tectonically Deformed Coal with a Deep Belief Network: A Case Study. Energies 2020, 13, 1169. https://doi.org/10.3390/en13051169
Wang X, Chen T, Xu H. Thickness Distribution Prediction for Tectonically Deformed Coal with a Deep Belief Network: A Case Study. Energies. 2020; 13(5):1169. https://doi.org/10.3390/en13051169
Chicago/Turabian StyleWang, Xin, Tongjun Chen, and Hui Xu. 2020. "Thickness Distribution Prediction for Tectonically Deformed Coal with a Deep Belief Network: A Case Study" Energies 13, no. 5: 1169. https://doi.org/10.3390/en13051169
APA StyleWang, X., Chen, T., & Xu, H. (2020). Thickness Distribution Prediction for Tectonically Deformed Coal with a Deep Belief Network: A Case Study. Energies, 13(5), 1169. https://doi.org/10.3390/en13051169

