Adaptive Droop Gain-Based Event-Triggered Consensus Reactive Power Sharing in Microgrids
Abstract
1. Introduction
- (1)
- An ETCP-based communication strategy among agents of DGs in MG is proposed to save communication resource;
- (2)
- An ETC-based reactive power sharing control approach is proposed to achieve consensus of the DGs’ in the MG;
- (3)
- A stability analysis is presented to guarantee the existence of the equilibrium point and freeness of Zeno solution;
- (4)
- A voltage droop slope tuning approach is proposed to compensate for voltage drops mismatch across feeders with the ETCP mechanism.
2. Islanded MGs Modeling
2.1. MAS-Based Communication Network
2.2. Conventional Droop Control
2.3. Voltage and Reactive Power Dynamics
3. Event Triggered Communication Protocols
3.1. Event Triggered Consensus Control
3.2. Stability Analysis
3.3. Zeno Freeness
4. Power Sharing
4.1. Adaptive Droop Coefficient Design
4.2. General Power Sharing Control Framework
5. Simulation
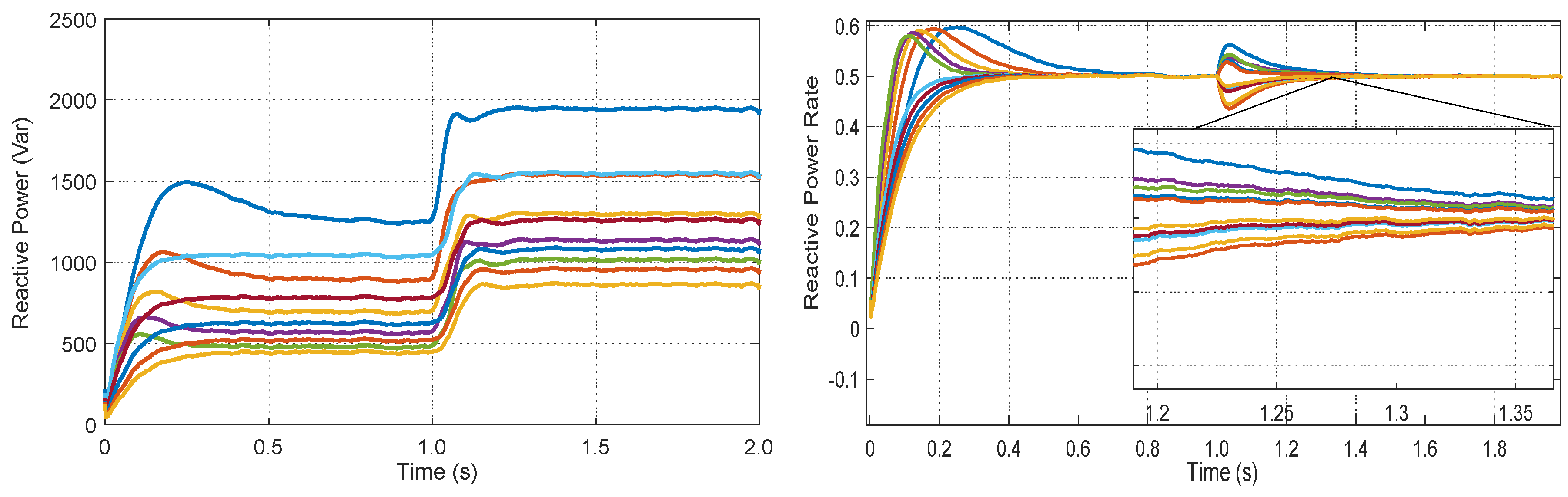
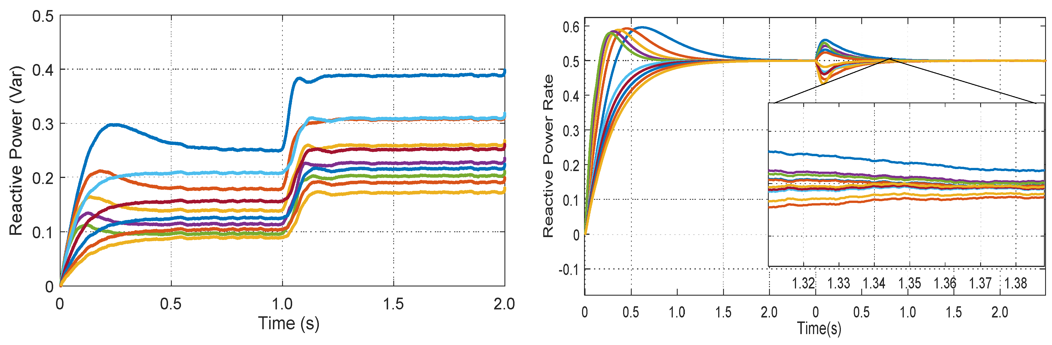
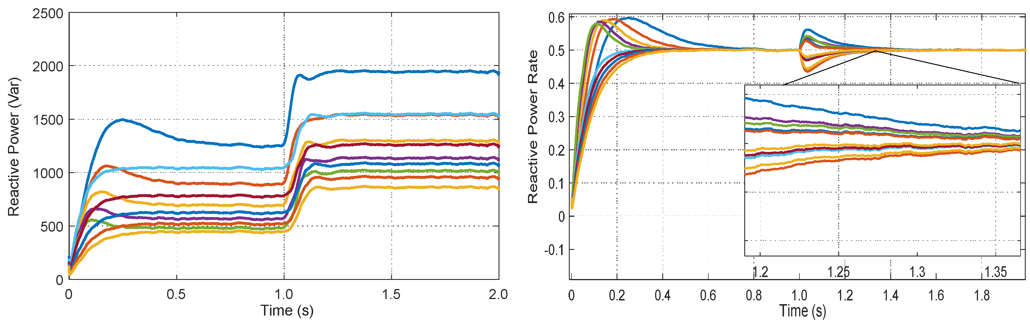
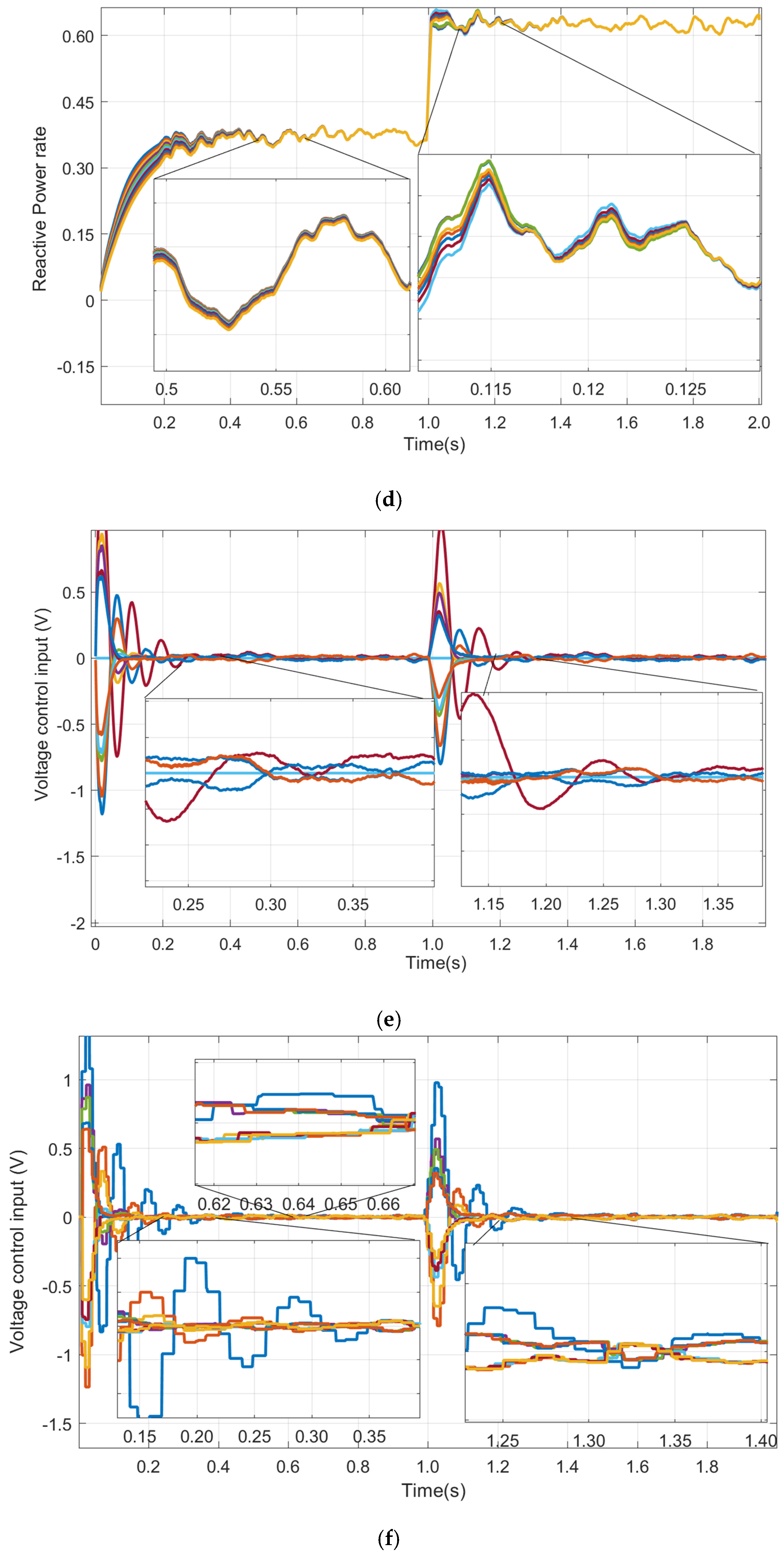
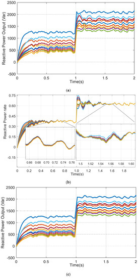
5.1. Case 1: Load Step Change
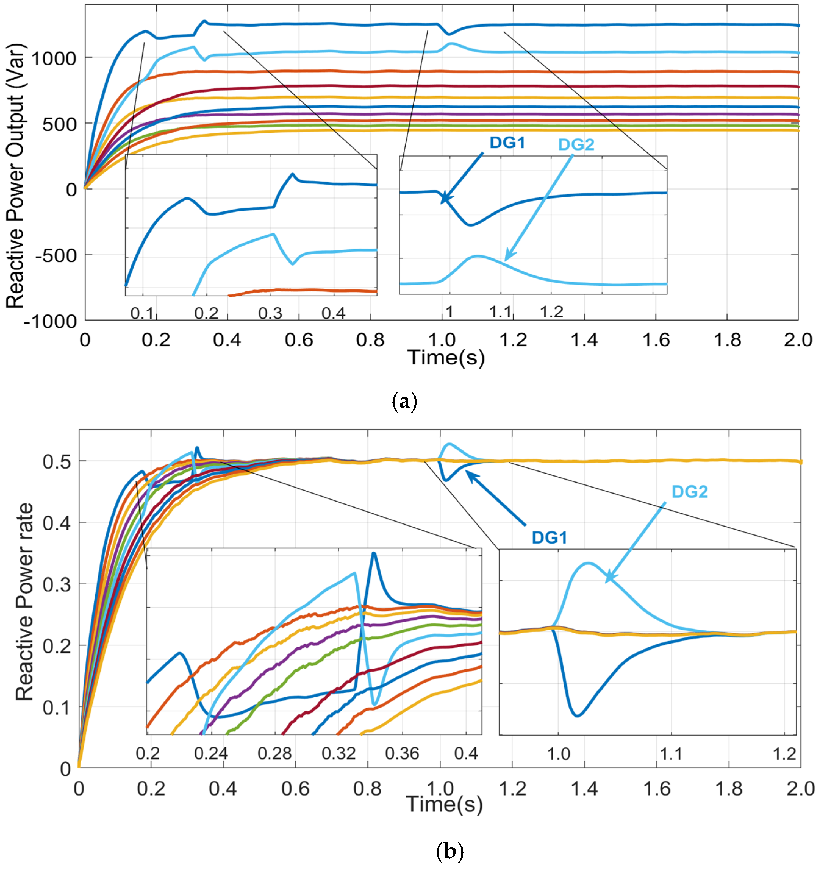
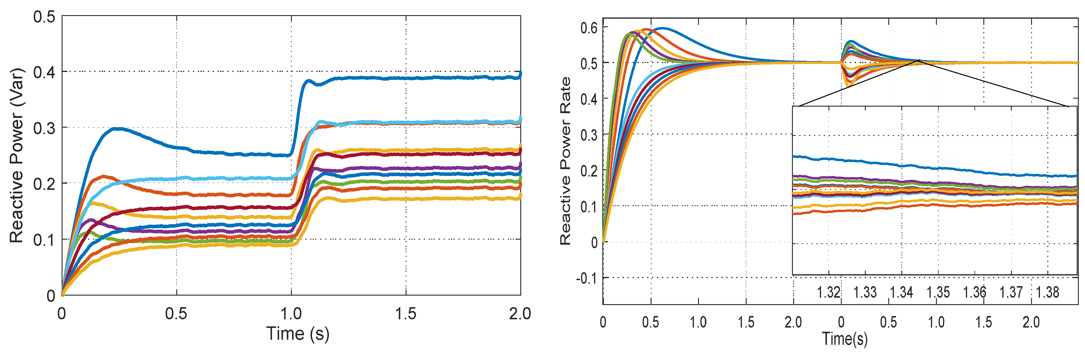
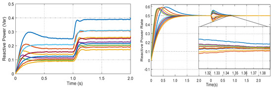
5.2. Case 2: Impact of Communication Time Delay
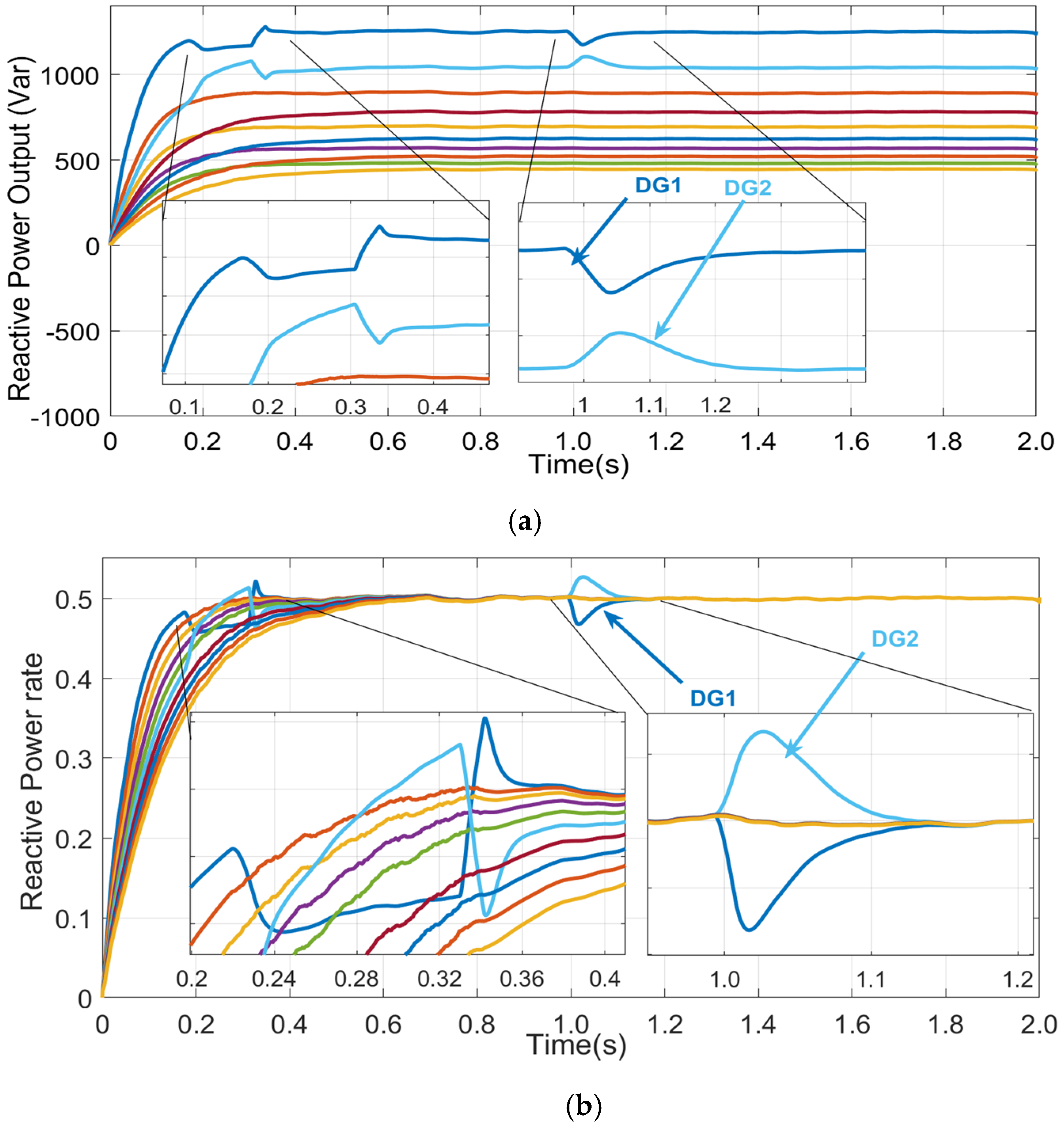
5.3. Case 3: Communication Link Failure
5.4. Case 4: Power Generation Fluctuation
6. Experimental Verification
7. Conclusions
Author Contributions
Funding
Conflicts of Interest
References
- Lasseter, R.H. Smart distribution: Coupled microgrids. Proc. IEEE 2011, 99, 1074–1082. [Google Scholar] [CrossRef]
- Xiong, L.; Wang, J.; Mi, X.; Khan, M.W. Fractional order sliding mode based direct power control of grid-connected DFIG. IEEE Trans. Power Syst. 2018, 33, 3087–3096. [Google Scholar] [CrossRef]
- Olivares, D.E.; Mehrizi-Sani, A.; Etemadi, A.H.; Cañizares, C.A.; Iravani, R.; Kazerani, M.; Hajimiragha, A.H.; Gomis-Bellmunt, O.; Saeedifard, M.; Palma-Behnke, R.; et al. Trends in microgrid control. IEEE Trans. Smart Grid 2014, 5, 1905–1919. [Google Scholar] [CrossRef]
- Chen, F.; Chen, M.; Li, Q.; Guerrero, J.M.; Abbott, D. Multiagent-based reactive power sharing and control model for islanded microgrids. IEEE Trans. Sustain. Energy 2016, 7, 1232–1244. [Google Scholar] [CrossRef]
- Guo, F.; Wen, C.; Mao, J.; Song, Y.D. Distributed secondary voltage and frequency restoration control of droop-controlled inverter-based microgrids. IEEE Trans. Ind. Electron. 2015, 62, 4355–4364. [Google Scholar] [CrossRef]
- Huang, S.; Zhou, B.; Bu, S.; Li, C.; Zhang, C.; Wang, H.; Wang, T. Robust fixed-time sliding mode control for fractional-order nonlinear hydro turbine governing system. Renew. Energy 2019, 139, 1–20. [Google Scholar] [CrossRef]
- Rashidirad, N.; Hamzeh, M.; Sheshyekani, K.; Afjei, E. A simplified equivalent model for the analysis of low-frequency stability of multi-bus DC microgrids. IEEE Trans. Smart Grid 2018, 9, 6170–6182. [Google Scholar] [CrossRef]
- Xiong, L.; Li, P.; Wang, Z.; Wang, J. Multi-agent based multi objective renewable energy management for diversified community power consumers. Appl. Energy 2020, 259, 1–16. [Google Scholar] [CrossRef]
- Davari, M.; Mohamed, Y.A.I. Robust droop and DC-bus voltage control for effective stabilization and power sharing in VSC multiterminal DC grids. IEEE Trans. Power Electron. 2018, 33, 4373–4395. [Google Scholar] [CrossRef]
- Zhu, Y.; Fan, Q.; Liu, B.; Wang, T. An enhanced virtual impedance optimization method for reactive power sharing in microgrids. IEEE Trans. Power Electron. 2018, 33, 10390–10402. [Google Scholar] [CrossRef]
- Maknouninejad, A.; Qu, Z.; Lewis, F.L.; Davoudi, A. Optimal, nonlinear, and distributed designs of droop controls for DC microgrids. IEEE Trans. Smart Grid 2014, 5, 2508–2516. [Google Scholar] [CrossRef]
- Mahmood, H.; Michaelson, D.; Jiang, J. Reactive power sharing in islanded microgrids using adaptive voltage droop control. IEEE Trans. Smart Grid 2015, 6, 3052–3060. [Google Scholar] [CrossRef]
- Tah, A.; Das, D. An enhanced droop control method for accurate load sharing and voltage improvement of isolated and interconnected DC microgrids. IEEE Trans. Sustain. Energy 2016, 7, 1194–1204. [Google Scholar] [CrossRef]
- Bidram, A.; Davoudi, A.; Lewis, F.L.; Ge, S.S. Distributed adaptive voltage control of inverter-based microgrids. IEEE Trans. Energy Convers. 2014, 29, 862–872. [Google Scholar] [CrossRef]
- Guerrero, J.M.; Hang, L.; Uceda, J. Control of distributed uninterruptible power supply systems. IEEE Trans. Ind. Electron. 2008, 55, 2845–2859. [Google Scholar] [CrossRef]
- Sun, Q.; Han, R.; Zhang, H.; Zhou, J.; Guerrero, J.M. A multiagent based consensus algorithm for distributed coordinated control of distributed generators in the energy Internet. IEEE Trans. Smart Grid 2015, 6, 3006–3019. [Google Scholar] [CrossRef]
- Simpson-Porco, J.W.; Dorfler, F.; Bullo, F. Synchronization and power sharing for droop-controlled inverters in islanded microgrids. Automatica 2013, 49, 2603–2611. [Google Scholar] [CrossRef]
- Meng, L.; Dragicevié, T.; Roldán-Pérez, J.; Vasquez, J.C.; Guerrero, J.M. Modeling and sensitivity study of consensus algorithm based distributed hierarchical control for DC microgrids. IEEE Trans. Smart Grid 2016, 7, 1504–1515. [Google Scholar] [CrossRef]
- Zhou, J.; Kim, S.; Zhang, H.; Sun, Q.; Han, R. Consensus-based distributed control for accurate reactive, harmonic, and imbalance power sharing in microgrids. IEEE Trans. Smart Grid 2018, 9, 2453–2467. [Google Scholar] [CrossRef]
- Olfati-Saber, R.; Fax, J.A.; Murray, R.M. Consensus and cooperation in networked multi-agent systems. IEEE Proc. 2017, 95, 215–233. [Google Scholar] [CrossRef]
- Hamad, A.A.; Azzouz, M.A.; El-Saadany, E.F. Multiagent supervisory control for power management in DC microgrids. IEEE Trans. Smart Grid 2016, 7, 1057–1067. [Google Scholar] [CrossRef]
- Wang, X.; Lemmon, M.D. Event-triggering in distributed networked control systems. IEEE Trans. Autom. Control 2011, 56, 586–601. [Google Scholar] [CrossRef]
- Xiong, L.; Li, P.; Wu, F.; Ma, M.; Khan, M.W.; Wang, J. A coordinated high-order sliding mode control of DFIG wind turbine for power optimization and grid synchronization. Int. J. Electr. Power Energy Syst. 2019, 105, 679–689. [Google Scholar] [CrossRef]
- Seyboth, G.S.; Dimarogonas, D.V.; Johansson, K.H. Event-based broadcasting for multi-agent average consensus. Automatica 2013, 49, 245–252. [Google Scholar] [CrossRef]
- Guerrero, J.M.; Loh, P.C.; Chandorkar, M.; Lee, T. Advanced control architectures for intelligent microgrids—Part I: Decentralized and hierarchical control. IEEE Trans. Ind. Electron. 2013, 60, 1254–1262. [Google Scholar] [CrossRef]
- Schiffer, J.; Seel, T.; Raisch, J.; Sezi, T. Voltage stability and reactive power sharing in inverter-based microgrids with consensus-based distributed voltage control. IEEE Trans. Control Syst. Technol. 2016, 24, 96–109. [Google Scholar] [CrossRef]
- Schiffer, J.; Ortega, R.; Astolfi, A.; Raisch, J.; Sezi, T. Conditions for stability of droop-controlled inverter-based microgrids. Automatica 2014, 50, 2457–2469. [Google Scholar] [CrossRef]
- Horn, R.A.; Johnson, C.R. Topics in Matrix Analysis; Cambridge University Press: New York, NY, USA, 1991. [Google Scholar]


























© 2020 by the authors. Licensee MDPI, Basel, Switzerland. This article is an open access article distributed under the terms and conditions of the Creative Commons Attribution (CC BY) license (http://creativecommons.org/licenses/by/4.0/).
Share and Cite
Xiong, L.; Li, P.; Wang, C.; Huang, S.; Wang, J. Adaptive Droop Gain-Based Event-Triggered Consensus Reactive Power Sharing in Microgrids. Energies 2020, 13, 1152. https://doi.org/10.3390/en13051152
Xiong L, Li P, Wang C, Huang S, Wang J. Adaptive Droop Gain-Based Event-Triggered Consensus Reactive Power Sharing in Microgrids. Energies. 2020; 13(5):1152. https://doi.org/10.3390/en13051152
Chicago/Turabian StyleXiong, Linyun, Penghan Li, Chao Wang, Sunhua Huang, and Jie Wang. 2020. "Adaptive Droop Gain-Based Event-Triggered Consensus Reactive Power Sharing in Microgrids" Energies 13, no. 5: 1152. https://doi.org/10.3390/en13051152
APA StyleXiong, L., Li, P., Wang, C., Huang, S., & Wang, J. (2020). Adaptive Droop Gain-Based Event-Triggered Consensus Reactive Power Sharing in Microgrids. Energies, 13(5), 1152. https://doi.org/10.3390/en13051152
