Modeling PCM Phase Change Temperature and Hysteresis in Ventilation Cooling and Heating Applications
Abstract
1. Introduction
2. PCM Modelling Methods in Building Simulations
2.1. PCM Latent Heat Modeling Methods
2.2. Modeling of PCM Hysteresis
2.3. Comparison of the Different PCM Modelling Methods
3. The Effect of Phase Transition Temperature and Hysteresis Degree on the Building Energy
- Define input variables with their variation ranges.
- Set variation level m for each input variable in a discrete distribution.
- Use a one-parameter-at-a-time (OAT) method to generate p = m×n observations, where n is the number of input variables.
- Obtain output variables by conducting n simulations.
- Visualize the output distribution.
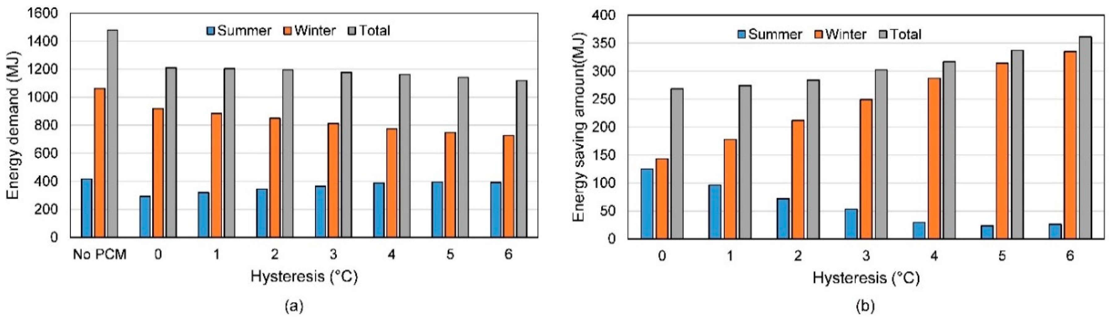
3.1. Severe Summer and Winter Conditions
3.2. Transition Seasons
4. Discussion
Author Contributions
Funding
Conflicts of Interest
Appendix A
| Type | Melting Range (°C) | Freezing Range (°C) | Melting Peak (°C) | Freezing Peak (°C) | Hysteresis Degree (°C) | Latent Heat (kJ/kg) | Measurement Method | Reference |
|---|---|---|---|---|---|---|---|---|
| MePCM from PG8H2–E | 23.9–26.9 | 18.4–23.1 | 25.54 | 20.21 | 5.33 | - | DSC 1 °C/min | [49] |
| Dodecanol | 23.8–27.1 | 18.3–23.2 | 25.22 | 20.11 | 5.11 | - | DSC 1 °C/min | [49] |
| MePCM from PG8H2 | 23.7–27.2 | 18.1–22.9 | 25.14 | 20.07 | 5.07 | - | DSC 1 °C/min | [49] |
| Paraffin | 23–29 | 20–25 | 23 | 27.7 | 4.7 | 179 | DSC 2 °C/min | [50] |
| Paraffin within copolymer | 15.1–28.2 | 9.6–24.5 | 22.2 | 17.8 | 4.4 | 107.5 | DSC 0.05 °C/min | [51] |
| Paraffin within copolymer | 10–28 | 12–29 | 22.1 | 17.9 | 4.2 | 72.4/71.0 | DSC 0.05 °C/min | [13] |
| PCM–wallboard | 16.8–19.35 | 16.9–22.1 | 21.05 | 16.98 | 4.07 | 35 | DSC 0.2 °C/min | [52] |
| Q20 | 16–24 | 13–18 | 20 | 16 | 4 | 210–250 | DSC | [53] |
| Paraffin PCM 6 | 0–7 | −5 | 3 | −0.5 | 3.5 | 178 | DSC 1 °C/min | [54] |
| C24 | 24–27 | 21–23 | 24 | 27 | 3 | 140 | DSC | [55] |
| Q27 | 24–30 | 23–27 | 27 | 24 | 3 | 210–250 | DSC | [53] |
| Q29 | 27–32 | 24–27 | 29 | 26 | 3 | 210–250 | DSC | [53] |
| Paraffin Microtek 37 D | 32–37 | 29–35 | 36 | 33 | 3 | 220 | DSC 0.15 °C/min | [56] |
| Paraffin hydrocarbon | 23–28.5 | 21–24.9 | 25.5 | 22.9 | 2.6 | 75 | DSC 1 °C/min | [38] |
| Paraffin PCM 28 | 15–28 | 15–22 | 23 | 20.5 | 2.5 | 161 | DSC 1 °C/min | [54] |
| Gallium | 29.5–30.5 | 26.9–29 | 30 | 27.5 | 2.5 | 80 | T-history | [9] |
| Fatty acid wall board | 18.5–24.2 | 15.0–18.6 | 20.3 | 17.9 | 2.4 | 39.1 | DSC 0.2 °C/min | [57] |
| Q23 | 20–26 | 18–24 | 23 | 21 | 2 | 210–250 | DSC | [53] |
| Q25 | 23–28 | 22–25 | 25 | 23 | 2 | 210–250 | DSC | [53] |
| Paraffin in gypsum board | 25–28.5 | 24–27.5 | 28 | 26.5 | 1.5 | 75 | DSC 2 °C/min | [58] |
| Gypsum–PCM compound | 21–24 | 20–22.5 | 24 | 22.5 | 1.5 | - | DSC 0.05 °C/min | [59] |
| C13H28 | −6.7–(−4.5) | −6.3–(−7.9) | −5.6 | −7.1 | 1.5 | 210 | T-history | [60] |
| PCM–plaster compound | 24.1–28.5 | 23.2–27.1 | 28.12 | 26.8 | 1.32 | 16.5 | DSC 1~2 °C/min | [61] |
| Hexadecane | 16.5–19.5 | 16.2–17.2 | 18 | 16.7 | 1.3 | 236 | T-history | [9] |
| RT27 | 24.5–28.2 | 25.0–26.9 | 27 | 25.9 | 1.1 | 180 | T-history | [9] |
| HS22P (inorganic) | 21–25 | - | 23 | 22 | 1 | 185 | T-history | [62] |
| RT27 (organic paraffin) | 26.86–28.69 | 27.94–26.44 | 28.37 | 27.38 | 0.99 | 130.8 | DSC 1 °C/min | [63] |
| Butyl stearate | 16–20.9 | 16–20.8 | 20.9 | 20.4 | 0.5 | 30.7 | DSC | [64] |
| Emerest 2326 | 16.69–19.75 | 16.51–19.6 | 19.57 | 19.45 | 0.12 | 140 | DSC 0.2 °C/min | [52] |
| C21 (salt hydrate) | 21–26 | 18–22 | 21 | 21 | 0 | 134 | DSC | [55] |
| Paraffin RT 25 | 22–26 | 23–26 | 25 | 25 | 0 | - | DSC 0.2 °C/min | [15] |
References
- International Organization for Standardization. ISO 7730: 2005, Ergonomics of the Thermal Environment–Analytical Determination and Interpretation of Thermal Comfort Using Calculation of the PMV and PPD Indices and Local Thermal Comfort Criteria; Geneva, Switzerland, 2005; Available online: https://www.iso.org/standard/39155.html (accessed on 4 November 2020).
- American Society of Heating, Refrigerating and Air-conditioning Engineers. ANSI/ASHRAE Standard 55: Thermal Environmental Conditions for Human Occupancy; American Society of Heating, Refrigerating and Air-conditioning Engineers: Atlanta, GA, USA, 2004. [Google Scholar]
- International Energy Agency. Transition to Sustainable Buildings: Strategies and Opportunities to 2050; OECD/IEA: Paris, French, 2013; Available online: https://www.oecd-ilibrary.org/energy/transition-to-sustainable-buildings_9789264202955-en (accessed on 4 November 2020).
- The European Parliament and the Council of the European Union. Directive 2010/31/EU of the European Parliament and of the Council of 19 May 2010 on the Energy Performance of Buildings. OJEU 2010, 153, 13–35. Available online: https://eur-lex.europa.eu/LexUriServ/LexUriServ.do?uri=OJ%3AL%3A2010%3A153%3A0013%3A0035%3AEN%3APDF (accessed on 4 November 2020).
- Jensen, S.Ø.; Marszal-Pomianowska, A.; Lollini, R.; Pasut, W.; Knotzer, A.; Engelmann, P.; Stafford, A.; Reynders, G. IEA EBC Annex 67 Energy Flexible Buildings. Energy Build. 2017, 155, 25–34. [Google Scholar] [CrossRef]
- Pomianowski, M.; Heiselberg, P.; Zhang, Y. Review of thermal energy storage technologies based on PCM application in buildings. Energy Build. 2013, 67, 56–69. [Google Scholar] [CrossRef]
- Sharma, A.; Tyagi, V.V.; Chen, C.R.; Buddhi, D. Review on thermal energy storage with phase change materials and applications. Renew. Sustain. Energy Rev. 2009, 13, 318–345. [Google Scholar] [CrossRef]
- Gschwander, S.; Lazaro, A.; Cabeza, L.F.; Günther, E.; Fois, M.; Chui, J. Development of a Test Standard for PCM and TCM Characterization, Part 1: Characterization of Phase Change Materials Compact Thermal Energy Storage. Technical Report for the IEA Solar Heating and Cooling/ Energy Conservation through Energy Storage programme–Task 42/ Annex 24: 2011. Available online: http://task42.iea-shc.org/Data/Sites/1/publications/Task4224-A2-1-Characterization-of-Phase-Change-Materials.pdf (accessed on 4 November 2020).
- Lázaro, A.; Günther, E.; Mehling, H.; Hiebler, S.; Marín, J.M.; Zalba, B. Verification of a T-history installation to measure enthalpy versus temperature curves of phase change materials. Meas. Sci. Technol. 2006, 17, 2168–2174. [Google Scholar] [CrossRef]
- Diaconu, B.M.; Varga, S.; Oliveira, A.C. Experimental assessment of heat storage properties and heat transfer characteristics of a phase change material slurry for air conditioning applications. Appl. Energy 2010, 87, 620–628. [Google Scholar] [CrossRef]
- He, B.; Martin, V.; Setterwall, F. Phase transition temperature ranges and storage density of paraffin wax phase change materials. Energy 2004, 29, 1785–1804. [Google Scholar] [CrossRef]
- Hu, Y. PCM Enhanced Ventilated Window-Configuration and Control Strategy Development. Ph.D. Thesis, Aalborg Universitetsforlag, Aalborg, Denmark, 2020. [Google Scholar]
- Kuznik, F.; Virgone, J. Experimental investigation of wallboard containing phase change material: Data for validation of numerical modeling. Energy Build. 2009, 41, 561–570. [Google Scholar] [CrossRef]
- Arkar, C.; Medved, S. Influence of accuracy of thermal property data of a phase change material on the result of a numerical model of a packed bed latent heat storage with spheres. Thermochim. Acta 2005, 438, 192–201. [Google Scholar] [CrossRef]
- Iten, M.; Liu, S.; Shukla, A.; Silva, P.D. Investigating the impact of Cp-T values determined by DSC on the PCM-CFD model. Appl. Therm. Eng. 2017, 117, 65–75. [Google Scholar] [CrossRef]
- Hu, Y.; Heiselberg, P.; Johra, H.; Guo, R. Experimental and numerical study of a PCM solar air heat exchanger and its ventilation preheating effectiveness. Renew. Energy 2019, 145, 106–115. [Google Scholar] [CrossRef]
- Rathgeber, C.; Schmit, H.; Hennemann, P.; Hiebler, S. Calibration of a T-History calorimeter to measure enthalpy curves of phase change materials in the temperature range from 40 to 200. Meas. Sci. Technol. Meas. Sci. Technol 2014, 25, 35011. [Google Scholar] [CrossRef]
- Voller, V.R.; Swaminathan, C.R.; Thomas, B.G. Fixed grid techniques for phase change problems: A review. Int. J. Numer. Methods Eng. 1990, 30, 875–898. [Google Scholar] [CrossRef]
- Caggiano, A.; Mankel, C.; Koenders, E. Reviewing Theoretical and Numerical Models for PCM-embedded Cementitious Composites. Buildings 2018, 9, 3. [Google Scholar] [CrossRef]
- Kośny, J. PCM-Enhanced Building Components; Engineering Materials and Processes; Springer International Publishing: Cham, Switzerland, 2015; ISBN 978-3-319-14285-2. [Google Scholar]
- Dolado, P.; Lazaro, A.; Marin, J.M.; Zalba, B. Characterization of melting and solidification in a real-scale PCMeair heat exchanger: Experimental results and empirical model. Renew. Energy 2011, 36, 2906–2917. [Google Scholar] [CrossRef]
- Barz, T.; Sommer, A. Modeling hysteresis in the phase transition of industrial-grade solid/liquid PCM for thermal energy storages. Int. J. Heat Mass Transf. 2018, 127, 701–713. [Google Scholar] [CrossRef]
- Chandrasekharan, R. An Enhanced Simulation Model for Building Envelopes with Phase Change Materials. ASHRAE Trans. 2013, 119, C1–C10. [Google Scholar]
- Moreles, E.; Huelsz, G.; Barrios, G. Hysteresis effects on the thermal performance of building envelope PCM-walls. Build. Simul. 2018, 11, 519–531. [Google Scholar] [CrossRef]
- AL-Saadi, S.N.; Zhai, Z.J. Modeling phase change materials embedded in building enclosure: A review. Renew. Sustain. Energy Rev. 2013, 21, 659–673. [Google Scholar] [CrossRef]
- Comini, G.; Del Guidice, S.; Lewis, R.W.; Zienkiewicz, O.C. Finite element solution of non-linear heat conduction problems with special reference to phase change. Int. J. Numer. Methods Eng. 1974, 8, 613–624. [Google Scholar] [CrossRef]
- Yang, H.; He, Y. Solving heat transfer problems with phase change via smoothed effective heat capacity and element-free Galerkin methods. Int. Commun. Heat Mass Transf. 2010, 37, 385–392. [Google Scholar] [CrossRef]
- Diaconu, B.M.; Cruceru, M. Novel concept of composite phase change material wall system for year-round thermal energy savings. Energy Build. 2010, 42, 1759–1772. [Google Scholar] [CrossRef]
- De Gracia, A.; David, D.; Castell, A.; Cabeza, L.F.; Virgone, J. A correlation of the convective heat transfer coefficient between an air flow and a phase change material plate. Appl. Therm. Eng. 2013, 51, 1245–1254. [Google Scholar] [CrossRef]
- De Gracia, A.; Navarro, L.; Castell, A.; Cabeza, L.F.; Cabeza, L.F. Numerical study on the thermal performance of a ventilated facade with PCM. Appl. Therm. Eng. 2013, 61, 372–380. [Google Scholar] [CrossRef]
- Hu, Y.; Heiselberg, P.K. A new ventilated window with PCM heat exchanger—Performance analysis and design optimization. Energy Build. 2018, 169, 185–194. [Google Scholar] [CrossRef]
- Eyres, N.R.; Hartree, D.R.; Ingham, J.; Jackson, R.; Sarjant, R.J.; Wagstaff, J.B. The Calculation of Variable Heat Flow in Solids. Philos. Trans. R. Soc. A Math. Phys. Eng. Sci. 1946, 240, 1–57. [Google Scholar] [CrossRef]
- Mosaffa, A.H.; Talati, F.; Rosen, M.A.; Tabrizi, H.B. Approximate analytical model for PCM solidification in a rectangular finned container with convective cooling boundaries. Int. Commun. Heat Mass Transf. 2012, 39, 318–324. [Google Scholar] [CrossRef]
- Li, D.; Ma, T.; Liu, C.; Zheng, Y.; Wang, Z.; Liu, X. Thermal performance of a PCM-filled double glazing unit with different optical properties of phase change material. Energy Build. 2016, 119. [Google Scholar] [CrossRef]
- Huo, Y.; Rao, Z. The quasi-enthalpy based lattice Boltzmann model for solid-liquid phase change. Appl. Therm. Eng. 2017, 115, 1237–1244. [Google Scholar] [CrossRef]
- Stritih, U.; Stritih, U. Heat transfer enhancement in latent heat thermal storage system for buildings. Energy Build. 2003, 35, 1097–1104. [Google Scholar] [CrossRef]
- Xiang, Y.; Zhou, G. Thermal performance of a window-based cooling unit using phase change materials combined with night ventilation. Energy Build. 2015, 108, 267–278. [Google Scholar] [CrossRef]
- Takeda, S.; Nagano, K.; Mochida, T.; Shimakura, K.; Shimakura, K. Development of a ventilation system utilizing thermal energy storage for granules containing phase change material. Sol. Energy 2004, 77, 329–338. [Google Scholar] [CrossRef]
- Bony, J.; Citherlet, S. Numerical model and experimental validation of heat storage with phase change materials. Energy Build. 2007, 39, 1065–1072. [Google Scholar] [CrossRef]
- Biswas, K.; Shukla, Y.; Desjarlais, A.; Rawal, R. Thermal characterization of full-scale PCM products and numerical simulations, including hysteresis, to evaluate energy impacts in an envelope application. Appl. Therm. Eng. 2018, 138, 501–512. [Google Scholar] [CrossRef]
- Ivshin, Y.; Pence, T.J. A constitutive model for hysteretic phase transition behavior. Int. J. Eng. Sci. 1994, 32, 681–704. [Google Scholar] [CrossRef]
- Opfermann, J. Kinetic analysis using multivariate non-linear regression. I. Basic concepts. J. Therm. Anal. Calorim. 2000, 60, 641–658. [Google Scholar] [CrossRef]
- Supaphol, P.; Spruiell, J.E. Isothermal melt- and cold-crystallization kinetics and subsequent melting behavior in syndiotactic polypropylene: A differential scanning calorimetry study. Polymer 2001, 42, 699–712. [Google Scholar] [CrossRef]
- Hu, Y.; Heiselberg, P.K.; Larsen, T.S. Demand control strategies of a pcm enhanced ventilation system for residential buildings. Appl. Sci. 2020, 10, 4336. [Google Scholar] [CrossRef]
- Hu, Y.; Guo, R.; Heiselberg, P. Performance and control strategy development of a PCM enhanced ventilated window system by a combined experimental and numerical study. Renew. Energy 2020, 155, 134–152. [Google Scholar] [CrossRef]
- Heiselberg, P.; Brohus, H.; Hesselholt, A.; Rasmussen, H.; Seinre, E.; Thomas, S. Application of sensitivity analysis in design of sustainable buildings. Renew. Energy 2009, 34, 2030–2036. [Google Scholar] [CrossRef]
- Silva, A.S.; Ghisi, E. Estimating the sensitivity of design variables in the thermal and energy performance of buildings through a systematic procedure. J. Clean. Prod. 2020, 244, 118753. [Google Scholar] [CrossRef]
- Fanger, P.O. Thermal Comfort: Analysis and Applications in Environmental Engineering; Danish Technical Press: Copenhagen, Denmark, 1970; ISBN 8757103410. [Google Scholar]
- Yin, D.; Jia, Y.; Chen, J.; Zhang, B. Design of microencapsulated phase change material by one-step swelling polymerization in Pickering emulsion. J. Mater. Sci. 2018, 53, 7249–7257. [Google Scholar] [CrossRef]
- Lamberg, P.; Lehtiniemi, R.; Henell, A.-M. Numerical and experimental investigation of melting and freezing processes in phase change material storage. Int. J. Therm. Sci. 2004, 43, 277–287. [Google Scholar] [CrossRef]
- Kuznik, F.; Virgone, J.; Johannes, K. In-situ study of thermal comfort enhancement in a renovated building equipped with phase change material wallboard. Renew. Energy 2011, 36, 1458–1462. [Google Scholar] [CrossRef]
- Feldman, D.; Banu, D. DSC analysis for the evaluation of an energy storing wallboard. Thermochim. Acta 1996, 272, 243–251. [Google Scholar] [CrossRef]
- BioPCM-Data-Sheet-Q20—Phase Change Solutions. Available online: https://phasechange.com/data-sheets/biopcm-data-sheet-q20-2/ (accessed on 27 November 2020).
- Sharifi, N.P.; Sakulich, A. Application of phase change materials to improve the thermal performance of cementitious material. Energy Build. 2015, 103, 83–95. [Google Scholar] [CrossRef]
- Product Data Sheets. Available online: https://www.climator.com/en/pcm-climsel/product-data-sheets (accessed on 27 November 2020).
- Stathopoulos, N.; El Mankibi, M.; Issoglio, R.; Michel, P.; Haghighat, F. Air–PCM heat exchanger for peak load management: Experimental and simulation. Sol. Energy 2016, 132, 453–466. [Google Scholar] [CrossRef]
- Shilei, L.; Neng, Z.; Guohui, F. Impact of phase change wall room on indoor thermal environment in winter. Energy Build. 2006, 38, 18–24. [Google Scholar] [CrossRef]
- Voelker, C.; Kornadt, O.; Ostry, M. Temperature reduction due to the application of phase change materials. Energy Build. 2008, 40, 937–944. [Google Scholar] [CrossRef]
- Jaworski, M.; Łapka, P.; Furma, P.; Furmański, P. Numerical modelling and experimental studies of thermal behaviour of building integrated thermal energy storage unit in a form of a ceiling panel. Appl. Energy 2014, 113, 548–557. [Google Scholar] [CrossRef]
- Gunasekara, S.N.; Kumova, S.; Chiu, J.N.; Martin, V. Experimental phase diagram of the dodecane–tridecane system as phase change material in cold storage. Int. J. Refrig. 2017, 82, 130–140. [Google Scholar] [CrossRef]
- Hoffmann, S.; Kornadt, O. An investigation on phase change materials to reduce summer overheating. Presented at eSim 2006, the Bi-Annual Conference of IBPSA, Toronto, YTO, Canada, 2006; Available online: http://www.esim.ca/2006/papers.htm (accessed on 4 November 2020).
- savENRGTM Phase Change Materials for Thermal Energy Storage. Available online: http://www.rgees.com/documents/aug_2013/savENRG PCM-HS22P.pdf (accessed on 27 November 2020).
- Jin, X.; Xu, X.; Zhang, X.; Yin, Y. Determination of the PCM melting temperature range using DSC. Thermochim. Acta 2014, 595, 17–21. [Google Scholar] [CrossRef]
- Ahmad, M.; Bontemps, A.; Sallée, H.; Quenard, D. Thermal testing and numerical simulation of a prototype cell using light wallboards coupling vacuum isolation panels and phase change material. Energy Build. 2006, 38, 673–681. [Google Scholar] [CrossRef]
















| Name | Paraffin Wax 22 |
|---|---|
| Density | 820 kg/m3 |
| Specific heat capacity | 2.3 kJ/kg/°C |
| Thermal conductivity | 0.18 W/m/°C |
| Latent heat | 117 kJ/kg |
| Melting range | 16–23 °C |
| Freezing range | 14–21.5 °C |
| Melting peak | 21.5 °C |
| Freezing peak | 20.7 °C |
Publisher’s Note: MDPI stays neutral with regard to jurisdictional claims in published maps and institutional affiliations. |
© 2020 by the authors. Licensee MDPI, Basel, Switzerland. This article is an open access article distributed under the terms and conditions of the Creative Commons Attribution (CC BY) license (http://creativecommons.org/licenses/by/4.0/).
Share and Cite
Hu, Y.; Guo, R.; Heiselberg, P.K.; Johra, H. Modeling PCM Phase Change Temperature and Hysteresis in Ventilation Cooling and Heating Applications. Energies 2020, 13, 6455. https://doi.org/10.3390/en13236455
Hu Y, Guo R, Heiselberg PK, Johra H. Modeling PCM Phase Change Temperature and Hysteresis in Ventilation Cooling and Heating Applications. Energies. 2020; 13(23):6455. https://doi.org/10.3390/en13236455
Chicago/Turabian StyleHu, Yue, Rui Guo, Per Kvols Heiselberg, and Hicham Johra. 2020. "Modeling PCM Phase Change Temperature and Hysteresis in Ventilation Cooling and Heating Applications" Energies 13, no. 23: 6455. https://doi.org/10.3390/en13236455
APA StyleHu, Y., Guo, R., Heiselberg, P. K., & Johra, H. (2020). Modeling PCM Phase Change Temperature and Hysteresis in Ventilation Cooling and Heating Applications. Energies, 13(23), 6455. https://doi.org/10.3390/en13236455

