Small Hydropower Plants with Variable Speed Operation—An Optimal Operation Curve Determination
Abstract
1. Introduction
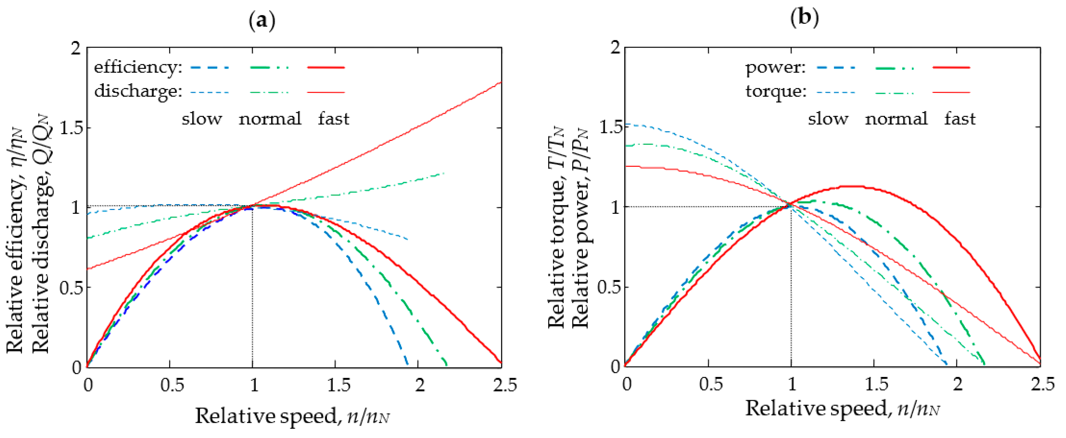
2. Hydro-Set Features
2.1. Non-Regulated Turbine
2.2. Single-Regulated Turbine
2.3. Dynamics of a Hydraulic System
3. Control Techniques
3.1. Indirect Methods
3.1.1. Analytical Turbine Model
3.1.2. Look-Up Table
3.1.3. Based on the Hill Diagram
3.2. Direct Methods
3.2.1. MPPT without Hydraulic Parameter Control
3.2.2. MEPT with Water Level Control
3.3. Hybrid Methods
- A hydropower plant model should include the static and dynamic features of the turbine and hydraulic system (in case of long penstocks that provide water to the turbine or surge tank presence).
- An analytical model of the hydro-set (used in indirect methods) should be based on polynomial equations related to turbine discharge and efficiency (approximated by neural networks for example).
- The turbine type (slow, normal and fast) and SHP function (run-of-the-river and reservoir) determine the control objective (control curve).
- The control algorithm should include the influence of the generator and PEC efficiency on the optimal operating curve (the total efficiency or output power needs to be analysed).
- Maximisation of the SHP output power (pure MPPT) is justified only for non-regulated slow turbines in the reservoir scheme, where the water level can be controlled by switching the SHP on and off.
- The control algorithm must include hydraulic parameter regulation (e.g., water level), which may influence the control technique significantly.
- Adjustment of the system parameters that influence turbine discharge (usually the guide vane angle) needs to be minimised in order to prevent hydraulic system disturbance.
- Measurement of turbine discharge (necessary in the MEPT algorithm) in the low-head scheme needs to be reduced (for example, by using a discharge estimator).
4. Methodology of Optimal Operating Curve Determination
5. Case Study
6. Conclusions
Author Contributions
Funding
Conflicts of Interest
References
- REN21. Renewables 2018 Global Status Report. Available online: http://www.ren21.net/wp-content/uploads/2018/06/17-8652_GSR2018_FullReport_web_final_.pdf (accessed on 22 January 2019).
- Xu, J.; Ni, T.; Zheng, B. Hydropower development trends from a technological paradigm perspective. Energy Convers. Manag. 2015, 90, 195–206. [Google Scholar] [CrossRef]
- Sachdev, H.S.; Akella, A.K.; Kumar, N. Analysis and evaluation of small hydropower plants: A bibliographical survey. Renew. Sustain. Energy Rev. 2015, 51, 1013–1022. [Google Scholar] [CrossRef]
- Manzano-Agugliaro, F.; Taher, M.; Zapata-Sierra, A.; Juaidi, A.; Montoya, F.G. An overview of research and energy evolution for small hydropower in Europe. Renew. Sustain. Energy Rev. 2017, 75, 476–489. [Google Scholar] [CrossRef]
- Yildiz, V.; Vrugt, J.A. A toolbox for the optimal design of run-of-river hydropower plants. Environ. Model. Softw. 2019, 111, 134–152. [Google Scholar] [CrossRef]
- Blaabjerg, F.; Yang, Y.; Yang, D.; Wang, X. Distributed Power-Generation Systems and Protection. Proc. IEEE 2017, 105, 1311–1331. [Google Scholar] [CrossRef]
- Elliott, D. A balancing act for renewables. Nat. Energy 2016, 1, 15003. [Google Scholar] [CrossRef]
- Ardizzon, G.; Cavazzini, G.; Pavesi, G. A new generation of small hydro and pumped hydro power plants: Advances and future challenges. Renew. Sustain. Energy Rev. 2014, 31, 746–761. [Google Scholar] [CrossRef]
- Yang, W.; Yang, J. Advantage of variable-speed pumped storage plants for mitigating wind power variations: Integrated modelling and performance assessment. Appl. Energy 2019, 237, 720–732. [Google Scholar] [CrossRef]
- Nababan, S.; Muljadi, E.; Blaabjerg, F. An overview of power topologies for micro-hydro turbines. In Proceedings of the 3rd International Symposium on Power Electronics for Distributed Generation Systems, Aalborg, Denmark, 25–26 June 2012; pp. 737–744. [Google Scholar]
- Iliev, I.; Trivedi, C.; Dahlhaug, O.G. ‘Variable-speed operation of Francis turbines: A review of the perspectives and challenges’. Renew. Sustain. Energy Rev. 2019, 103, 109–121. [Google Scholar] [CrossRef]
- Fraile-Ardanuy, J.; Wilhelmi, J.R.; Fraile-Mora, J.J.; Pérez, J.I. Variable-Speed hydro generation: Operational aspects and control. IEEE Trans. Energy Convers. 2006, 21, 569–574. [Google Scholar] [CrossRef]
- Valavi, M.; Nysveen, A. Variable-Speed Operation of Hydropower Plants: A Look at the Past, Present, and Future. IEEE Ind. Appl. Mag. 2018, 24, 18–27. [Google Scholar] [CrossRef]
- Kroposki, B.; Pink, C.; DeBlasio, R.; Thomas, H.; Simões, M.; Sen, P.K. Benefits of Power Electronic Interfaces for Distributed Energy Systems. IEEE Trans. Energy Convers. 2010, 25, 901–908. [Google Scholar] [CrossRef]
- Borkowski, D.; Węgiel, T. Small Hydropower Plant with Integrated Turbine-Generators Working at Variable Speed. IEEE Trans. Energy Convers. 2013, 28, 452–459. [Google Scholar] [CrossRef]
- Fang, H.; Chen, L.; Dlakavu, N.; Shen, Z. Basic Modeling and Simulation Tool for Analysis of Hydraulic Transients in Hydroelectric Power Plants. IEEE Trans. Energy Convers. 2008, 23, 834–841. [Google Scholar] [CrossRef]
- Working Group on Prime Mover and Energy Supply Models for System Dynamic Performance Studies. Hydraulic turbine and turbine control models for system dynamic studies. IEEE Trans. Power Syst. 1992, 7, 167–179. [Google Scholar] [CrossRef]
- An, X.; Pan, L.; Yang, L. Condition parameter degradation assessment and prediction for hydropower units using Shepard surface and ITD. Trans. Inst. Meas. Control 2014, 36, 1074–1082. [Google Scholar] [CrossRef]
- Iman-Eini, H.; Frey, D.; Bacha, S.; Boudinet, C.; Schanen, J. Evaluation of loss effect on optimum operation of variable speed micro-hydropower energy conversion systems. Renew. Energy 2019, 131, 1022–1034. [Google Scholar] [CrossRef]
- Borkowski, D. Analytical Model of Small Hydropower Plant Working at Variable Speed. IEEE Trans. Energy Convers. 2018, 33, 1886–1894. [Google Scholar] [CrossRef]
- Sayers, A.T. Hydraulic and Compressible Flow Turbomachines; Mcgraw-Hill: Berkshire, UK, 1990. [Google Scholar]
- Dixon, S.L.; Hall, C.A. Fluid Mechanics and Thermodynamics of Turbomachinery; Elsevier: Amsterdam, The Netherlands, 2010. [Google Scholar]
- White, F.M. Fluid Mechanic, 7th ed.; McGraw-Hill: New York, NY, USA, 2011. [Google Scholar]
- Yang, W.; Yang, J.; Guo, W.; Norrlund, P. Frequency stability of isolated hydropower plant with surge tank under different turbine control modes. Electr. Power Compon. Syst. 2015, 43, 1707–1716. [Google Scholar] [CrossRef]
- Muljadi, E.; Singh, M.; Gevorgian, V.; Mohanpurkar, M.; Hovsapian, R.; Koritarov, V. Dynamic modeling of adjustable-speed pumped storage hydropower plant. In Proceedings of the IEEE Power & Energy Society General Meeting, Denver, CO, USA, 26–30 July 2015; pp. 1–5. [Google Scholar] [CrossRef]
- Gao, H.; Wang, C. Effect of Detailed Hydro Turbine Models on Power System Analysis. In Proceedings of the IEEE PES Power Systems Conference and Exposition, Atlanta, GA, USA, 29 October–1 November 2006; pp. 1577–1581. [Google Scholar] [CrossRef]
- Huimin, G.; Xianlin, L. Transient simulation of hydroelectric system based on hydro-mechanical-electro detailed model. J. Syst. Simulata 2003, 15, 469–471. [Google Scholar]
- Vereide, K.; Lia, L.; Nielsen, T.K. Hydraulic scale modelling and thermodynamics of mass oscillations in closed surge tanks. J. Hydraul. Res. 2015, 53, 519–524. [Google Scholar] [CrossRef]
- Gil-González, W.; Garcés, A.; Fosso, O.B. Passivity-Based Control for Small Hydro-Power Generation with PMSG and VSC. IEEE Access 2020, 8, 153001–153010. [Google Scholar] [CrossRef]
- Bidgoli, M.A.; Yang, W.; Ahmadian, A. DFIM versus synchronous machine for variable speed pumped storage hydropower plants: A comparative evaluation of technical performance. Renew. Energy 2020, 159, 72–86. [Google Scholar] [CrossRef]
- Dong, Z.; Tan, J.; Muljadi, E.; Nelms, R.M.; St-Hilaire, A.; Pevarnik, M.; Jacobson, M.D. Developing of Quaternary Pumped Storage Hydropower for Dynamic Studies. IEEE Trans. Sustain. Energy 2020, 11, 2870–2878. [Google Scholar] [CrossRef]
- De Mesquita, L.M.O.; Dos Santos Menas, J.; van Emmenk, E.L.; Aredes, M. Maximum power point tracking applied on small hydroelectric power plants. In Proceedings of the 2011 International Conference on Electrical Machines and Systems, Beijing, China, 20–29 August 2011; pp. 1–6. [Google Scholar]
- Márquez, J.L.; Molina, M.G.; Pacas, J.M. Dynamic modeling, simulation and control design of an advanced micro-hydro power plant for distributed generation applications. Int. J. Hydrogen Energy 2010, 35, 5772–5777. [Google Scholar] [CrossRef]
- Belhadji, L.; Bacha, S.; Roye, D. Modeling and control of variable speed micro-hydropower plant based on Axial-flow turbine and permanent magnet synchronous generator (MHPP-PMSG). In Proceedings of the 37th Annual Conference of the IEEE Industrial Electronics Society, Melbourne, Australia, 7–10 November 2011; pp. 896–901. [Google Scholar]
- Belhadji, L.; Bacha, S.; Roye, D.; Rekioua, T. Experimental validation of direct power control of variable speed micro-hydropower plant. In Proceedings of the IECON 2012—38th Annual Conference on IEEE Industrial Electronics Society, Montreal, QC, USA, 25–28 October 2012; pp. 995–1000. [Google Scholar] [CrossRef]
- Belhadji, L.; Bacha, S.; Munteanu, I.; Rumeau, A.; Roye, D. Adaptive MPPT Applied to Variable-Speed Microhydropower Plant. IEEE Trans. Energy Convers. 2013, 28, 34–43. [Google Scholar] [CrossRef]
- Guo, B.; Bacha, S.; Alamir, M.; Imanein, H. An anti-disturbance ADRC based MPPT for variable speed micro-hydropower plant. In Proceedings of the IECON 2017—43rd Annual Conference of the IEEE Industrial Electronics Society, Beijing, China, 29 October–1 November 2017; pp. 1783–1789. [Google Scholar] [CrossRef]
- Zhang, J.; Leontidis, V.; Dazin, A.; Tounzi, A.; Delarue, P.; Caignaert, G.; Piriou, F.; Libaux, A. Canal lock variable speed hydropower turbine design and control. IET Renew. Power Gener. 2018, 12, 1698–1707. [Google Scholar] [CrossRef]
- Borghetti, A.; Di Silvestro, M.; Naldi, G.; Paolone, M.; Alberti, M. Maximum efficiency point tracking for adjustable-speed small hydropower plant. In Proceedings of the 16th Power Systems Computation Conference, Glasgow, UK, 14–18 July 2008; pp. 1–7. [Google Scholar]
- Brezovec, M.; Kuzle, I.; Tomisa, T. Nonlinear digital simulation model of hydroelectric power unit with Kaplan turbine. IEEE Trans. Energy Convers. 2006, 21, 235–241. [Google Scholar] [CrossRef]
- Perez-Diaz, J.I.; Fraile-Ardanuy, J. Neural networks for optimal operation of a run-of-river adjustable speed hydro power plant with axialflow propeller turbine. In Proceedings of the 16th Mediterranean Conference Control Automation, Ajaccio, France, 25–27 June 2008; pp. 309–314. [Google Scholar]
- Tessarolo, A.; Luise, F.; Raffin, P.; Degano, M. Traditional hydropower plant revamping based on a variable-speed surface permanent-magnet hightorque- density generator. In Proceedings of the 2011 International Conference on Clean Electrical Power, Ischia, Italy, 2–4 July 2011; pp. 350–356. [Google Scholar]
- Fraile-Ardanuy, J.J.; Pérez, J.I.; Sarasúa, I.; Wilhelmi, J.R.; Fraile-Mora, J. Speed control of run-of-river variable speed hydro plants. In Proceedings of the 2006 International Conference on Renewable Energy and Power Quality, Madrid, Spain, 5 April–5 June 2006; pp. 182–187. [Google Scholar]
- Borkowski, D. Identification of the Optimal Control Characteristics of a Small Hydropower Plant Using Artificial Neural Networks and the Support Vector Machines Method. J. Hydraul. Res. 2019, 57, 715–723. [Google Scholar] [CrossRef]
- Krishnakumar, V.R.; Ramachandaramurthy, K.V.; Gomathi, V.; Ekanayake, J.B.; Tiong, S.K. Modelling and simulation of variable speed pico hydel energy storage system for microgrid applications. J. Energy Storage 2019, 24, 100808. [Google Scholar] [CrossRef]
- Michas, M.; Ugalde-Loo, C.E.; Ming, W.; Jenkins, N.; Runge, S. Maximum power extraction from a hydrokinetic energy conversion system. IET Renew. Power Gener. 2019, 13, 1411–1419. [Google Scholar] [CrossRef]
- Ariyur, K.; Krstic, M. Real-Time Optimization by Extremum-Seeking Control; Wiley-Interscience: Hoboken, NJ, USA, 2003. [Google Scholar]
- Atta, K.T.; Johansson, A.; Cervantes, M.J.; Gustafsson, T. Maximum power point tracking for micro hydro power plants using extremum seeking control. In Proceedings of the 2015 IEEE Conference on Control Application, (CCA), Sydney, Australia, 21–23 September 2015; pp. 1874–1879. [Google Scholar] [CrossRef]
- Borkowski, D. Performance analysis of the Single-Phase Grid-Connected Inverter of a photovoltaic system in water and wind applications. E3S Web Conf. 2016, 1000004. [Google Scholar] [CrossRef]
- Borkowski, D. Control strategy for maximizing conversion efficiency of small hydropower plant. Tech. Trans. Elect. Eng. 2015, 112, 15–24. [Google Scholar]
- Cervantes, M.; Andrée, G.; Klason, P.; Sundström, J. Flow Measurements in Low-Head Hydro Power Plants; Elforsk; Swedish Hydropower Centre: Stockholm, Sweden, 2012; Volume 12. [Google Scholar]
- Borkowski, D. Maximum Efficiency Point Tracking (MEPT) for Variable Speed Small Hydropower Plant with Neural Network Based Estimation of Turbine Discharge. IEEE Trans. Energy Convers. 2017, 32, 1090–1098. [Google Scholar] [CrossRef]
- Forbush, D.; Cavagnaro, R.J.; Polagye, B. Power-tracking control for cross-flow turbines. J. Renew. Sustain. Energy 2019, 11, 014501. [Google Scholar] [CrossRef]













| Control Method | Indirect | Direct | Hybrid [52] | ||||
|---|---|---|---|---|---|---|---|
| Features | Analytical [25,26,27,28,29,30,31,32,33,34,35,36,37,38] | Look-Up Table [39,40,41] | Hill Diagram [42,43] | MPPT [33,34,35,36,37,38,45,46,47,48,49,53] | MEPT [39,50] | ||
| Control | |||||||
| Dynamic | +++ | +++ | +++ | ++ | + | +++ | |
| Algorithm simplicity | +++ | ++ | ++ | ++ | + | + | |
| Adaptation | + | + | + | +++ | +++ | +++ | |
| Applicability | |||||||
| Non-regulated turbine | +++ | +++ | +++ | ++ | +++ | +++ | |
| Single-regulated turbine | ++ | ++ | ++ | - | ++ | ++ | |
| Run-of-the-river | ++ | ++ | ++ | - | ++ | ++ | |
| Reservoir | +++ | ++ | ++ | ++ | +++ | +++ | |
| Annual Energy Production E (kWh) | Annual Energy Ratio | |
|---|---|---|
| Optimal operation curve | Evs_opt = 419,560 | - |
| Simplified Formula (12) | Evs_s = 411,760 | Evs_s/Evs_opt = 0.981 |
| Corrected Formulas (12) and (13) | Evs_p = 415,140 | Evs_p/Evs_opt = 0.989 |
| Constant speed operation | Ecs = 363,630 | Ecs/Evs_opt = 0.867 |
Publisher’s Note: MDPI stays neutral with regard to jurisdictional claims in published maps and institutional affiliations. |
© 2020 by the authors. Licensee MDPI, Basel, Switzerland. This article is an open access article distributed under the terms and conditions of the Creative Commons Attribution (CC BY) license (http://creativecommons.org/licenses/by/4.0/).
Share and Cite
Borkowski, D.; Majdak, M. Small Hydropower Plants with Variable Speed Operation—An Optimal Operation Curve Determination. Energies 2020, 13, 6230. https://doi.org/10.3390/en13236230
Borkowski D, Majdak M. Small Hydropower Plants with Variable Speed Operation—An Optimal Operation Curve Determination. Energies. 2020; 13(23):6230. https://doi.org/10.3390/en13236230
Chicago/Turabian StyleBorkowski, Dariusz, and Marek Majdak. 2020. "Small Hydropower Plants with Variable Speed Operation—An Optimal Operation Curve Determination" Energies 13, no. 23: 6230. https://doi.org/10.3390/en13236230
APA StyleBorkowski, D., & Majdak, M. (2020). Small Hydropower Plants with Variable Speed Operation—An Optimal Operation Curve Determination. Energies, 13(23), 6230. https://doi.org/10.3390/en13236230
