Joint Resource Allocation for SWIPT-Based Two-Way Relay Networks
Abstract
1. Introduction
- A comprehensive multidimension resource optimization framework to enhance the outage performance for a SWIPT-based DF-TWR network is presented, in which power allocation, power splitting, and time allocation are jointly optimized. Compared with the schemes in [20,21,22,23], the proposed scheme is more complemented and achieves better performance.
- By assuming the different availability of CSI at relay, two joint resource allocation schemes are proposed and analyzed. With statistic CSI, a successive alternating algorithm is proposed to obtain the optimal parameters based on the derived closed-form outage probability. With instantaneous CSI, a suboptimal closed-form solution of the three parameters (PS, PA, and TA) is derived based on a multistep optimization and relaxation method.
- The proposed scheme outperforms existing resource allocation schemes; for example, the dynamic JRA scheme performs very similarly to the exhaustive search method, and has better performance compared with optimal power splitting (OPS) scheme.
2. System Model and Problem Formulation
2.1. System Model
2.2. Problem Formation
3. Joint Resource Allocation Schemes
3.1. Optimal Static JRA Scheme
3.2. Optimal Dynamic JRA Scheme
3.2.1. Optimal PA When TA Is Fixed
3.2.2. Optimal TA When PA Is Fixed
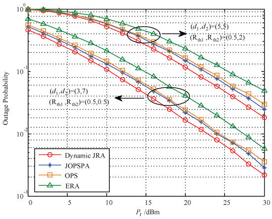
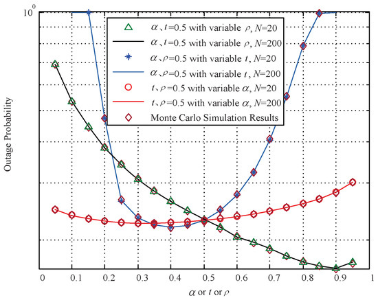
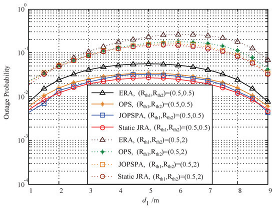
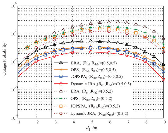
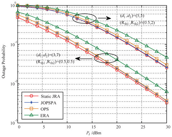
4. Simulation Results
5. Conclusions
Author Contributions
Funding
Conflicts of Interest
Abbreviations
| DF | Decode-and-Forward |
| TWR | Two-Way Relay |
| PA | Power Allocation |
| PS | Power Splitting |
| TA | Time Allocation |
| JRA | Jointly Resource Allocation |
| IoT | Internet of Things |
| SWIPT | Simultaneous Wireless Information and Power Transfer |
| MISO | Multiple-Input Single-Output |
| CSI | Channel State Information |
| MI | Mutual Information |
| WPCN | Wireless Powered Communication Network |
| NOMA | Non-Orthogonal Multiple Access |
| AF | Amplify-and-Forward |
| OWR | One Way Relay |
| TWR | Two Way Relay |
| SAO | Successive Alternating Optimization |
| MO-RM | Multi-step Optimization with Relaxation Method |
| ES | Exhaustive Search |
Appendix A. Proof of Theorem 1
Appendix B. Proof of Theorem 2
Appendix C. Proof of Theorem 3
References
- Fadi, A.; Enver, E.; Hadi, Z. Small Cells in the Forthcoming 5G/IoT: Traffic Modelling and Deployment Overview. IEEE Commun. Surv. Tutor. 2019, 21, 28–65. [Google Scholar]
- Kamalinejad, P.; Mahapatra, C.; Sheng, Z.; Mirabbasi, S.; Leung, V.C.M.; Guan, L.Y. Wireless Energy Harvesting for the Internet of Things. IEEE Commun. Mag. 2015, 53, 102–108. [Google Scholar] [CrossRef]
- Li, M.L.; Chen, Y.; Liu, K.J.R. Advances in Energy Harvesting Communications: Past, Present, and Future Challenges. IEEE Commun. Surv. Tutor. 2016, 18, 1384–1412. [Google Scholar]
- Louie, R.; Li, Y.; Vucetic, B. A Survey on Simultaneous Wireless Information and Power Transfer With Cooperative Relay and Future Challenges. IEEE Access 2019, 7, 19166–19198. [Google Scholar]
- Varshney, L.R. Transporting Information and Energy Simultaneously. In Proceedings of the IEEE International Symposium on Information Theory, Toronto, ON, Canada, 6–11 July 2008. [Google Scholar]
- Zhou, X.; Zhang, R.; Ho, C.K. Wireless Information and Power Transfer: Architecture Design and Rate-Energy Tradeoff. IEEE Trans. Commun. 2013, 63, 4754–4767. [Google Scholar] [CrossRef]
- Liu, C.; Maso, M.; Lakshminarayana, S.; Lee, C.; Quek, T.Q.S. Simultaneous Wireless Information and Power Transfer Under Different CSI Acquisition Schemes. IEEE Trans. Wirel. Commun. 2015, 14, 1911–1926. [Google Scholar] [CrossRef]
- Liu, M.; Liu, Y. Power Allocation for Secure SWIPT Systems With Wireless-Powered Cooperative Jamming. IEEE Commun. Lett. 2017, 21, 1353–1356. [Google Scholar] [CrossRef]
- Li, B.; Rong, Y. Joint Transceiver Optimization for Wireless Information and Energy Transfer in Nonregenerative MIMO Relay Systems. IEEE Trans. Wirel. Commun. 2018, 67, 8348–8362. [Google Scholar] [CrossRef]
- Xiong, K.; Chen, C.; Qu, G.; Fan, P. Group Cooperation With Optimal Resource Allocation in Wireless Powered Communication Networks. IEEE Trans. Wirel. Commun. 2017, 16, 3840–3853. [Google Scholar] [CrossRef]
- Zhou, F.; Chu, Z.; Sun, H.; Hu, R.Q.; Hanzo, L. Artificial Noise Aided Secure Cognitive Beamforming for Cooperative MISO-NOMA Using SWIPT. IEEE J. Sel. Areas Commun. 2018, 36, 918–931. [Google Scholar] [CrossRef]
- Nasir, A.A.; Zhou, X.; Durrani, S.; Kennedy, R.A. Relaying Protocols for Wireless Energy Harvesting and Information Processing. IEEE Trans. Wirel. Commun. 2013, 12, 3622–3636. [Google Scholar] [CrossRef]
- Tang, L.; Zhang, X.; Zhu, P.; Wang, X. Wireless Information and Energy Transfer in Fading Relay Channels. IEEE J. Sel. Areas Commun. 2016, 34, 3632–3645. [Google Scholar] [CrossRef]
- Chen, Z.; Xia, B.; Liu, H. Wireless information and power transfer in two-way amplify-and-forward relaying channels. In Proceedings of the IEEE Global Conference on Signal and Information Processing (GlobalSIP), Atlanta, GA, USA, 3–5 December 2014; pp. 168–172. [Google Scholar]
- Jameel, F.; Wyne, S.; Ding, Z. Secure Communications in Three-Step Two-Way Energy Harvesting DF Relaying. IEEE Commun. Lett. 2018, 22, 308–311. [Google Scholar] [CrossRef]
- Singh, S.; Modem, S.; Prakriya, S. Optimization of Cognitive Two-Way Networks With Energy Harvesting Relays. IEEE Commun. Lett. 2017, 21, 1381–1384. [Google Scholar] [CrossRef]
- Nguyen, D.K.; Jayakody, D.N.K.; Chatzinotas, S.; Thompson, J.S.; Li, J. Wireless Energy Harvesting Assisted Two-Way Cognitive Relay Networks: Protocol Design and Performance Analysis. IEEE Access 2017, 5, 21447–21460. [Google Scholar] [CrossRef]
- Mishra, D.; De, S.; Chiasserini, C. Joint Optimization Schemes for Cooperative Wireless Information and Power Transfer Over Rician Channels. IEEE Trans. Commun. 2016, 64, 554–571. [Google Scholar] [CrossRef]
- Ye, Y.; Li, Y.; Wang, D.; Zhou, F.; Hu, R.Q.; Zhang, H. Optimal Transmission Schemes for DF Relaying Networks Using SWIPT. IEEE Trans. Veh. Tech. 2018, 67, 7062–7072. [Google Scholar] [CrossRef]
- Do, T.P.; Song, I.; Kim, Y.H. Simultaneous Wireless Transfer of Power and Information in a Decode-and-Forward Two-Way Relaying Network. IEEE Trans. Wirel. Commun. 2017, 16, 1579–1592. [Google Scholar] [CrossRef]
- Shi, L.; Ye, Y.; Hu, R.Q.; Zhang, H. Energy Efficiency Maximization for SWIPT Enabled Two-Way DF Relaying. IEEE Signal Process. Lett. 2019, 26, 755–759. [Google Scholar] [CrossRef]
- Peng, C.; Li, F.; Liu, H. Optimal power splitting in two-way decode-and-forward relay networks. IEEE Commun. Lett. 2017, 21, 2009–2012. [Google Scholar] [CrossRef]
- Peng, C.; Li, F.; Liu, H.; Wang, G. Outage-Based Resource Allocation for DF Two-Way Relay Networks with Energy Harvesting. Sensors 2018, 18, 3496. [Google Scholar] [CrossRef] [PubMed]
- Zhang, S.; Liew, S.C.; Lu, L. Physical Layer Network Coding Schemes over Finite and Infinite Fields. In Proceedings of the IEEE Global Telecommunications Conference, New Orleans, LO, USA, 30 November–4 December 2008. [Google Scholar]
- Liu, P.; Kim, I.M. Performance analysis of bidirectional communication protocols based on decode-and-forward relaying. IEEE Trans. Commun. 2010, 58, 2683–2696. [Google Scholar] [CrossRef]
- Altinel, D.; Kurt, G.K. Modeling of Multiple Energy Sources for Hybrid Energy Harvesting IoT Systems. IEEE Internet Things J. 2019, 6, 10846–10854. [Google Scholar] [CrossRef]
- Yin, S.; Zhao, Y.; Li, L.; Yu, F.R. UAV-Assisted Cooperative Communications With Time-Sharing Information and Power Transfer. IEEE Trans. Veh. Tech. 2020, 69, 1554–1567. [Google Scholar] [CrossRef]
- Jayakody, D.N.K.; Perera, T.D.P.; Ghrayeb, A.; Hasna, M.O. Self-Energized UAV-Assisted Scheme for Cooperative Wireless Relay Networks. IEEE Trans. Veh. Tech. 2020, 69, 578–592. [Google Scholar] [CrossRef]








| Schemes | Characteristic |
|---|---|
| ERA | , , and |
| OPS | , , and [20,22] |
| JOPSPA | , , and [19,23] |
| Static JRA | Jointly optimizing t, , and with statistical CSI |
| Dynamic JRA | Jointly optimizing t, , and with instantaneous CSI |
Publisher’s Note: MDPI stays neutral with regard to jurisdictional claims in published maps and institutional affiliations. |
© 2020 by the authors. Licensee MDPI, Basel, Switzerland. This article is an open access article distributed under the terms and conditions of the Creative Commons Attribution (CC BY) license (http://creativecommons.org/licenses/by/4.0/).
Share and Cite
Peng, C.; Wang, G.; Li, F.; Liu, H. Joint Resource Allocation for SWIPT-Based Two-Way Relay Networks. Energies 2020, 13, 6024. https://doi.org/10.3390/en13226024
Peng C, Wang G, Li F, Liu H. Joint Resource Allocation for SWIPT-Based Two-Way Relay Networks. Energies. 2020; 13(22):6024. https://doi.org/10.3390/en13226024
Chicago/Turabian StylePeng, Chunling, Guozhong Wang, Fangwei Li, and Huaping Liu. 2020. "Joint Resource Allocation for SWIPT-Based Two-Way Relay Networks" Energies 13, no. 22: 6024. https://doi.org/10.3390/en13226024
APA StylePeng, C., Wang, G., Li, F., & Liu, H. (2020). Joint Resource Allocation for SWIPT-Based Two-Way Relay Networks. Energies, 13(22), 6024. https://doi.org/10.3390/en13226024
