Comparative Analysis of Energy Use and Human Comfort by an Intelligent Control Model at the Change of Season
Abstract
1. Introduction
2. Methodology
2.1. Design Strategy
- (1)
- Based on building geometries, outdoor temperature, and occupant characteristics, a thermal energy supply model calculates the heating or cooling supply air conditions for a room by the air amounts and its temperature.
- (2)
- When the supply air conditions are defined, a thermal comfort model calculates the PMV (and PPD) levels of the room.
- (3)
- If the PMV level is out of the range of setting levels (−0.5 < x < 0.5), an adaptive controller adjusts the set-point temperature by add +0.5 or −0.5 following heating or cooling conditions.
- (4)
- If the PMV level is still out of the range of the setting levels, an adaptive controller repeats the previous phase.
- (5)
- All phases repeat at each one-minute interval, and the models calculate the amount of heat transfer and thermal comfort to result templates.
2.2. Heat Transfer
2.3. Thermal Comfort
2.4. Thermostat Controller
2.5. Fuzzy Controller
2.6. Network Controller
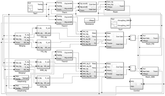
2.7. Simulation Model
3. Results
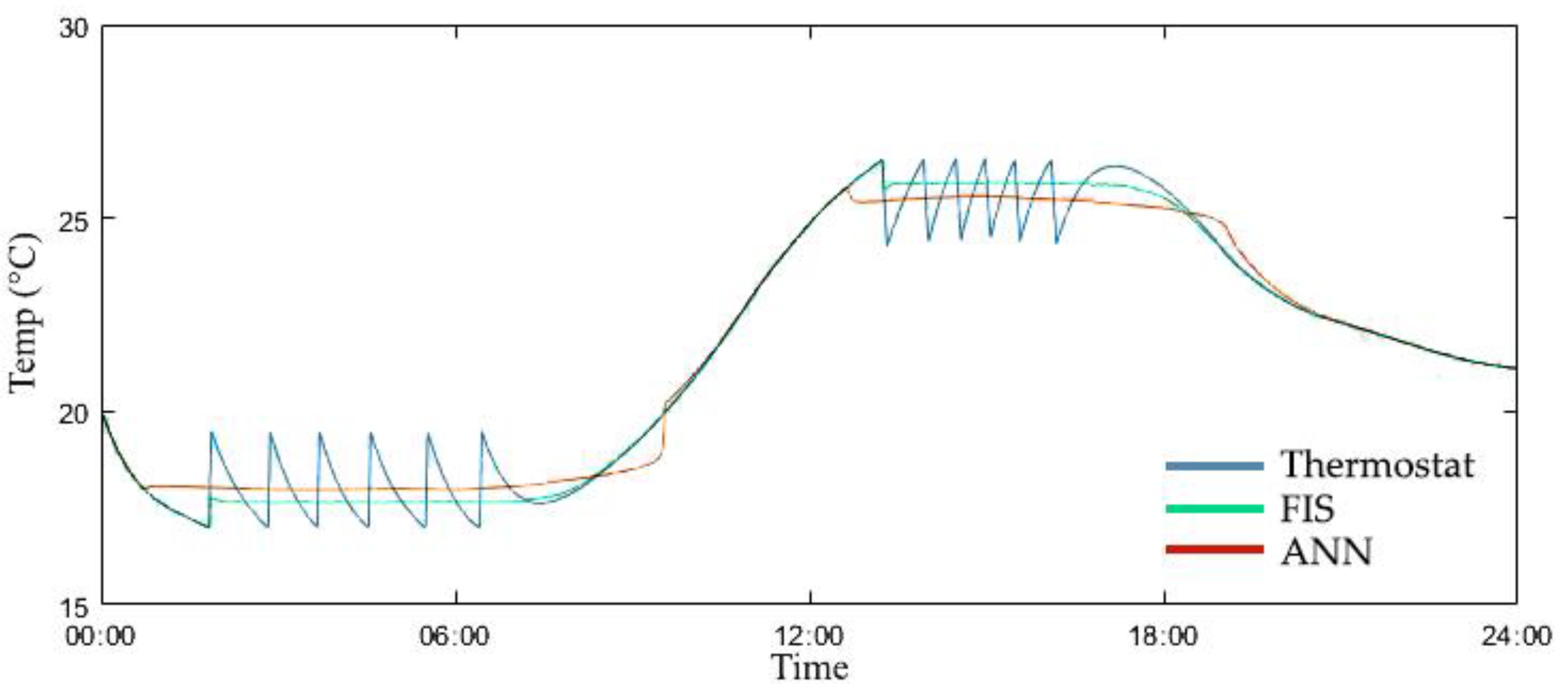
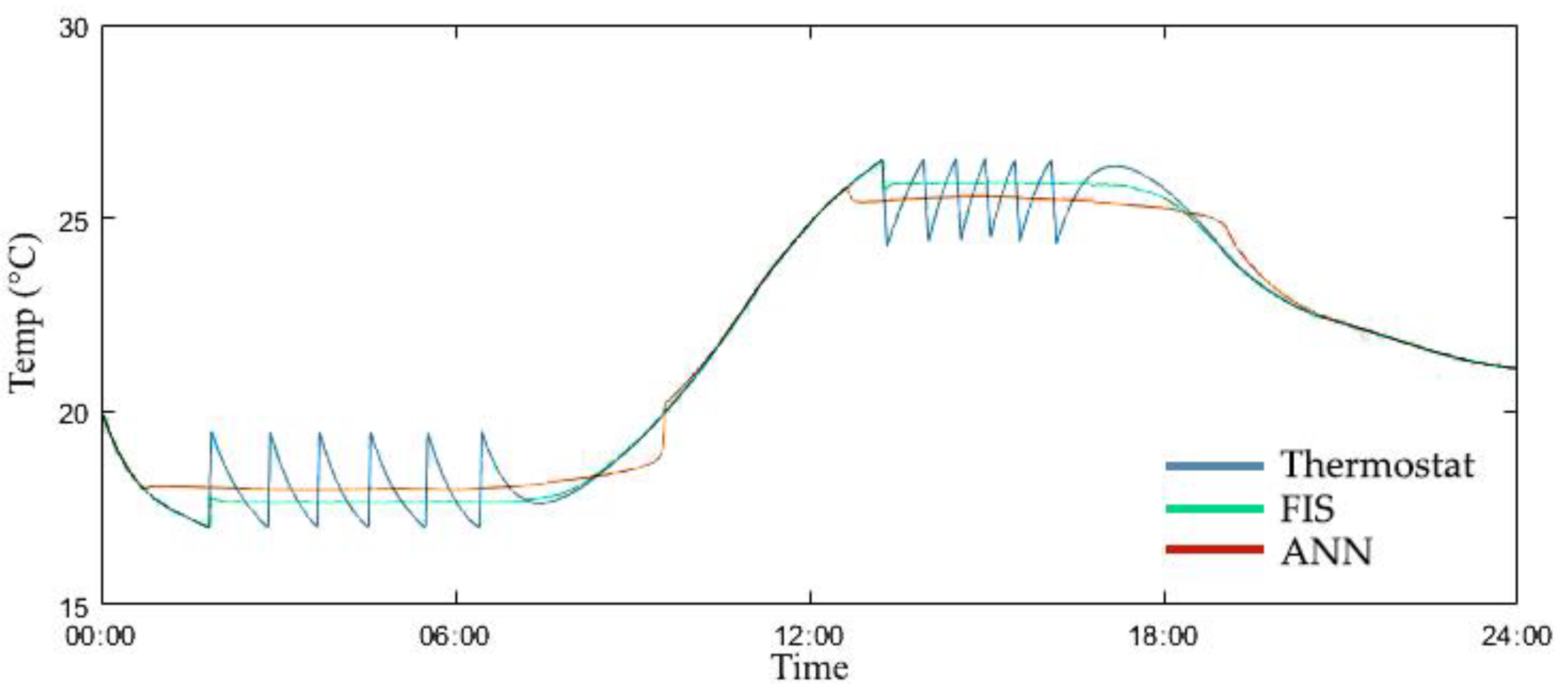
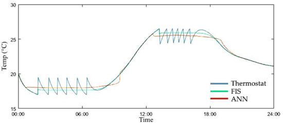
3.1. Room Temperature
3.2. Energy Transfer
4. Discussion
5. Conclusions
Author Contributions
Funding
Acknowledgments
Conflicts of Interest
Nomenclature
| A | area of material(s) (m2) | Qloss | heat loss by convection and transmission (J) |
| Cv | specific heat capacity at constant volume (J/kg·K) | Qgain | heat gain by convection and transmission (J) |
| Cp | specific heat capacity at constant pressure (J/kg·K) | R | thermal resistance (m·K/W) |
| D | thickness of material(s) (m) | t | time |
| hin, hout | convection heat transfer coefficient inside, outside (W/m2·K) | Tht | air temperature from heater (°C) |
| k | thermal conductivity (W/m·K) | Tout | temperature of outside |
| mass flow-rate from system (kg/h) | Trm | temperature of room (°C) | |
| mass flow-rate inside room (kg/h) | Tset | temperature of thermostat set-point (°C) | |
| mass flow-rate outside room (kg/h) | U | internal energy (J) | |
| mrm∙air | mass flow-rate in room air (kg) | W | work (J) |
References
- Zhuang, M.; Atherton, D. Automatic tuning of optimum PID controllers. IEE Proc. D Control. Theory Appl. 1993, 140, 216–224. [Google Scholar] [CrossRef]
- Tan, W.; Liu, J.; Fang, F.; Chen, Y. Tuning of PID controllers for boiler-turbine units. ISA Trans. 2004, 43, 571–583. [Google Scholar] [CrossRef]
- Kull, T.M.; Thalfeldt, M.; Kurnitski, J. PI Parameter Influence on Underfloor Heating Energy Consumption and Setpoint Tracking in nZEBs. Energies 2020, 13, 2068. [Google Scholar] [CrossRef]
- Jin, J.; Huang, H.; Sun, J.; Pang, Y. Study on fuzzy self-adaptive PID control system of biomass boiler drum water. J. Sustain. Bioenergy Syst. 2013, 3, 93–98. [Google Scholar] [CrossRef][Green Version]
- Fazzolari, M.; Alcalá, R.; Nojima, Y.; Ishibuchi, H.; Herrera, F. A review of the application of multiobjective evolutionary fuzzy systems: Current status and further directions. IEEE Trans. Fuzzy Syst. 2012, 21, 45–65. [Google Scholar] [CrossRef]
- Szoplik, J. Forecasting of natural gas consumption with artificial neural networks. Energy 2015, 85, 208–220. [Google Scholar] [CrossRef]
- Zhang, J.; Ou, J.; Sun, D. Study on fuzzy control for HVAC SYSTEMS. ASHRAE Trans. 2003, 109, 27. [Google Scholar]
- Alcalá, R.; Benítez, J.M.; Casillas, J.; Cordón, O.; Pérez, R. Fuzzy control of HVAC systems optimized by genetic algorithms. Appl. Intell. 2003, 18, 155–177. [Google Scholar] [CrossRef]
- Wong, S.; Wan, K.K.; Lam, T.N. Artificial neural networks for energy analysis of office buildings with daylighting. Appl. Energy 2010, 87, 551–557. [Google Scholar] [CrossRef]
- Jung, Y.-H. Analysis of air flow distribution according to the positions of computer room air conditioning and perforated plate in a server room of data center. KIEAE J. 2019, 19, 83–88. [Google Scholar] [CrossRef]
- Bakhtiari, H.; Akander, J.; Cehlin, M.; Hayati, A. On the performance of night ventilation in a historic office building in Nordic climate. Energies 2020, 13, 4159. [Google Scholar] [CrossRef]
- Soyguder, S.; Alli, H. Predicting of fan speed for energy saving in HVAC system based on adaptive network based fuzzy inference system. Expert Syst. Appl. 2009, 36, 8631–8638. [Google Scholar] [CrossRef]
- Ahn, J.; Cho, S.; Chung, D.H. Analysis of energy and control efficiencies of fuzzy logic and artificial neural network technologies in the heating energy supply system responding to the changes of user demands. Appl. Energy 2017, 190. [Google Scholar] [CrossRef]
- Moon, J.W.; Ahn, J. Improving sustainability of ever-changing building spaces affected by users’ fickle taste: A focus on human comfort and energy use. Energy Build. 2020, 208. [Google Scholar] [CrossRef]
- Singh, M.; Attia, S.; Mahapatra, S.; Teller, J. Assessment of thermal comfort in existing pre-1945 residential building stock. Energy 2016, 98, 122–134. [Google Scholar] [CrossRef]
- Ahn, J.; Chung, D.H.; Cho, S. Performance analysis of space heating smart control models for energy and control effectiveness in five different climate zones. Build. Environ. 2017, 115. [Google Scholar] [CrossRef]
- Zhong, L.; Yuan, J.; Fleck, B. Indoor environmental quality evaluation of lecture classrooms in an institutional building in a cold climate. Sustainability 2019, 11, 6591. [Google Scholar] [CrossRef]
- Ahn, J. Performance analyses of temperature controls by a network-based learning controller for an indoor space in a cold area. Sustainability 2020, 12. [Google Scholar] [CrossRef]
- Simanic, B.; Nordquist, B.; Bagge, H.; Johansson, D. Influence of user-related parameters on calculated energy use in low-energy school buildings. Energies 2020, 13, 2985. [Google Scholar] [CrossRef]
- Ren, Z.; Chen, D. Modelling study of the impact of thermal comfort criteria on housing energy use in Australia. Appl. Energy 2018, 210, 152–166. [Google Scholar] [CrossRef]
- Park, S.; Cho, S.; Ahn, J. Improving the quality of building spaces that are planned mainly on loads rather than residents: Human comfort and energy savings for warehouses. Energy Build. 2018, 178. [Google Scholar] [CrossRef]
- Sung, L.Y.; Ahn, J. Comparative analyses of energy efficiency between on-demand and predictive controls for buildings’ indoor thermal environment. Energies 2020, 13, 1089. [Google Scholar] [CrossRef]
- Ahn, J.; Chung, D.H.; Cho, S. Network-based energy supply optimal system in the condition where both heating and cooling are required simultaneously in a swing season. Intell. Build. Int. 2017, 10. [Google Scholar] [CrossRef]
- Yang, S.; Wan, M.P.; Ng, B.F.; Zhang, T.; Babu, S.; Zhang, Z.; Chen, W.; Dubey, S. A state-space thermal model incorporating humidity and thermal comfort for model predictive control in buildings. Energy Build. 2018, 170, 25–39. [Google Scholar] [CrossRef]
- Ahn, J.; Cho, S. Anti-logic or common sense that can hinder machine’s energy performance: Energy and comfort control models based on artificial intelligence responding to abnormal indoor environments. Appl. Energy 2017, 204. [Google Scholar] [CrossRef]
- Lee, S.; Joe, J.; Karava, P.; Bilionis, I.; Tzempelikos, A. Implementation of a self-tuned HVAC controller to satisfy occupant thermal preferences and optimize energy use. Energy Build. 2019, 194, 301–316. [Google Scholar] [CrossRef]
- Millers, R.; Pelite, U. Survey of control characteristics of circular air dampers in variable air volume ventilation systems. Energy Procedia 2016, 96. [Google Scholar] [CrossRef]
- Bergman, T.L.; Incropera, F.P.; DeWitt, D.P.; Lavine, A.S. Fundamentals of Heat and Mass Transfer; John Wiley & Sons: New York, NY, USA, 2018. [Google Scholar]
- Parson, K. Thermal Comfort; Informa UK Limited: Colchester, UK, 2002. [Google Scholar]
- Engineering Toolbox. Recommended Indoor Temperatures Summer and Winter. Available online: http://www.engineeringtoolbox.com (accessed on 11 November 2016).
- Petković, D.; Protić, M.; Shamshirband, S.; Akib, S.; Raos, M.; Marković, D. Evaluation of the most influential parameters of heat load in district heating systems. Energy Build. 2015, 104, 264–274. [Google Scholar] [CrossRef]
- Braspenning, P.; Thuijsman, F.; Weijters, A. Artificial Neural Networks; Springer: Berlin/Heidelberg, Germany, 1995. [Google Scholar]
- Vamsi, R. What’s a Neural Network? Available online: https://medium.com (accessed on 11 November 2020).












| Parameter | Unit | Value |
|---|---|---|
| Building type | - | OfficeSmall (ASHRAE Standard 90.1.2016) |
| Building Geometry | m | 27.5(W)*20.5(D)*3.65(H) |
| Wall Depth | m | 0.15 |
| Thermal Conductivity of Wall (kwall) | W/m·K | 136.8 |
| Window Area | m2 | 6.0 |
| Window Depth | m | 0.02 |
| Thermal Conductivity of Window (kwindow) | W/m·K | 2808.0 |
| Tset for Cooling | °C | 25.5 |
| Tset for Heating | °C | 20.0 |
| Default mass flow-rate into room air | kg | 1470 |
| Users’ metabolic rate | W/m2 | 1.0 (1.2 for 09:00 to 18:00) |
| Users’ clothing insulation | m2·K/W | 1.2 |
| Weather condition | - | 28 April, Shanghai in China |
| Control | PMV (Avg. of Abs.) | Efficiency (%) |
|---|---|---|
| Thermostat | 2.50 | - |
| FIS | 2.78 | 11.34 (↓) |
| ANN | 2.23 | 10.69 (↑) |
| Control | Energy Transfer (kWh/m2∙year) | Efficiency (%) |
|---|---|---|
| Thermostat | 1223.87 | - |
| FIS | 1191.40 | 2.65 (↑) |
| ANN | 1289.62 | 5.37 (↓) |
Publisher’s Note: MDPI stays neutral with regard to jurisdictional claims in published maps and institutional affiliations. |
© 2020 by the authors. Licensee MDPI, Basel, Switzerland. This article is an open access article distributed under the terms and conditions of the Creative Commons Attribution (CC BY) license (http://creativecommons.org/licenses/by/4.0/).
Share and Cite
Yoon, S.H.; Ahn, J. Comparative Analysis of Energy Use and Human Comfort by an Intelligent Control Model at the Change of Season. Energies 2020, 13, 6023. https://doi.org/10.3390/en13226023
Yoon SH, Ahn J. Comparative Analysis of Energy Use and Human Comfort by an Intelligent Control Model at the Change of Season. Energies. 2020; 13(22):6023. https://doi.org/10.3390/en13226023
Chicago/Turabian StyleYoon, Sung Hoon, and Jonghoon Ahn. 2020. "Comparative Analysis of Energy Use and Human Comfort by an Intelligent Control Model at the Change of Season" Energies 13, no. 22: 6023. https://doi.org/10.3390/en13226023
APA StyleYoon, S. H., & Ahn, J. (2020). Comparative Analysis of Energy Use and Human Comfort by an Intelligent Control Model at the Change of Season. Energies, 13(22), 6023. https://doi.org/10.3390/en13226023
