Interfacial Thermal Conductance across Graphene/MoS2 van der Waals Heterostructures
Abstract
1. Introduction
2. Simulation Methods
2.1. DFT Calculations
2.2. Molecular Dynamics Simulations
3. Result and Discussion
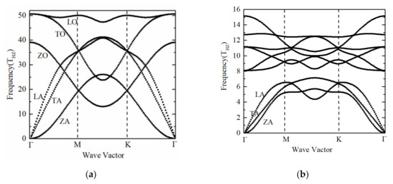
3.1. Thermal Conductivity of the Heterostructure
3.2. Thermal Conductance of Graphene/MoS2 Heterostructure
4. Conclusions
Author Contributions
Funding
Conflicts of Interest
References
- Tries, A.; Osella, S.; Zhang, P.; Xu, F.; Ramanan, C.; Klaui, M.; Mai, Y.; Beljonne, D.; Wang, H.I. Experimental Observation of Strong Exciton Effects in Graphene Nanoribbons. Nano Lett. 2020, 20, 2993–3002. [Google Scholar] [CrossRef] [PubMed]
- Bouzerar, G.; Thebaud, S.; Pecorario, S.; Adessi, C. Drastic effects of vacancies on phonon lifetime and thermal conductivity in graphene. J. Phys. Condes. Matter 2020, 32, 295702. [Google Scholar] [CrossRef] [PubMed]
- Cao, K.; Feng, S.Z.; Han, Y.; Gao, L.B.; Ly, T.H.; Xu, Z.P.; Lu, Y. Elastic straining of free-standing monolayer graphene. Nat. Commun. 2020, 11, 284. [Google Scholar] [CrossRef] [PubMed]
- Wang, B.; Ruan, T.T.; Chen, Y.; Jin, F.; Peng, L.; Zhou, Y.; Wang, D.L.; Dou, S.X. Graphene-based composites for electrochemical energy storage. Energy Storage Mater. 2020, 24, 22–51. [Google Scholar] [CrossRef]
- Oh, S.; Kim, C.K.; Kim, J. High Responsivity beta-Ga2O3 Metal-Semiconductor-Metal Solar-Blind Photodetectors with Ultraviolet Transparent Graphene Electrodes. ACS Photonics 2018, 5, 1123–1128. [Google Scholar] [CrossRef]
- Li, B.; Luo, J.C.; Huang, X.W.; Lin, L.W.; Wang, L.; Hu, M.J.; Tang, L.C.; Xue, H.G.; Gao, J.F.; Mai, Y.W. A highly stretchable, super-hydrophobic strain sensor based on polydopamine and graphene reinforced nanofiber composite for human motion monitoring. Compos. Pt. B Eng. 2020, 181, 107580. [Google Scholar] [CrossRef]
- Gupta, U.; Rao, C.N.R. Hydrogen generation by water splitting using MoS2 and other transition metal dichalcogenides. Nano Energy 2017, 41, 49–65. [Google Scholar] [CrossRef]
- Ma, S.N.; Chiu, C.P.; Zhu, Y.J.; Tang, C.Y.; Long, H.; Qarony, W.; Zhao, X.H.; Zhang, X.M.; Lo, W.H.; Tsang, Y.H. Recycled waste black polyurethane sponges for solar vapor generation and distillation. Appl. Energy 2017, 206, 63–69. [Google Scholar] [CrossRef]
- Frisenda, R.; Navarro-Moratalla, E.; Gant, P.; De Lara, D.P.; Jarillo-Herrero, P.; Gorbachev, R.V.; Castellanos-Gomez, A. Recent progress in the assembly of nanodevices and van der Waals heterostructures by deterministic placement of 2D materials. Chem. Soc. Rev. 2018, 47, 53–68. [Google Scholar] [CrossRef] [PubMed]
- Li, X.W.; Huang, C.W.; Hu, S.B.; Deng, B.; Chen, Z.H.; Han, W.Q.; Chen, L. Negative and near-zero Poisson’s ratios in 2D graphene/MoS2 and graphene/h-BN heterostructures. J. Mater. Chem. C 2020, 8, 4021–4029. [Google Scholar] [CrossRef]
- Ren, K.; Sun, M.L.; Luo, Y.; Wan, S.K.; Yu, J.; Tang, W.C. First-principle study of electronic and optical properties of two-dimensional materials-based heterostructures based on transition metal dichalcogenides and boron phosphide. Appl. Surf. Sci. 2019, 476, 70–75. [Google Scholar] [CrossRef]
- Chen, Y.; Wang, X.D.; Wu, G.J.; Wang, Z.; Fang, H.H.; Lin, T.; Sun, S.; Shen, H.; Hu, W.D.; Wang, J.L.; et al. High-Performance Photovoltaic Detector Based on MoTe2/MoS2 Van der Waals Heterostructure. Small 2018, 14, 1703293. [Google Scholar] [CrossRef] [PubMed]
- Li, G.; Zhang, L.Z.; Xu, W.Y.; Pan, J.B.; Song, S.R.; Zhang, Y.; Zhou, H.T.; Wang, Y.L.; Bao, L.H.; Zhang, Y.Y.; et al. Stable Silicene in Graphene/Silicene Van der Waals Heterostructures. Adv. Mater. 2018, 30, 1804650. [Google Scholar] [CrossRef]
- Biroju, R.K.; Das, D.; Sharma, R.; Pal, S.; Mawlong, L.P.L.; Bhorkar, K.; Giri, P.K.; Singh, A.K.; Narayanan, T.N. Hydrogen Evolution Reaction Activity of Graphene-MoS2 van der Waals Heterostructures. ACS Energy Lett. 2017, 2, 1355–1361. [Google Scholar] [CrossRef]
- Safeer, C.K.; Ingla-Aynes, J.; Herling, F.; Garcia, J.H.; Vila, M.; Ontoso, N.; Calvo, M.R.; Roche, S.; Hueso, L.E.; Casanova, F. Room-Temperature Spin Hall Effect in Graphene/MoS2 van der Waals Heterostructures. Nano Lett. 2019, 19, 1074–1082. [Google Scholar] [CrossRef]
- Sun, X.L.; Zhang, B.T.; Li, Y.L.; Luo, X.Y.; Li, G.R.; Chen, Y.X.; Zhang, C.Q.; He, J.L. Tunable Ultrafast Nonlinear Optical Properties of Graphene/MoS2 van der Waals Heterostructures and Their Application in Solid-State Bulk Lasers. ACS Nano 2018, 12, 11376–11385. [Google Scholar] [CrossRef]
- Gong, F.; Ding, Z.W.; Fang, Y.; Tong, C.J.; Xia, D.W.; Lv, Y.Y.; Wang, B.; Papavassiliou, D.V.; Liao, J.X.; Wu, M.Q. Enhanced Electrochemical and Thermal Transport Properties of Graphene/MoS2 Heterostructures for Energy Storage: Insights from Multiscale Modeling. ACS Appl. Mater. Interfaces 2018, 10, 14614–14621. [Google Scholar] [CrossRef] [PubMed]
- Zhang, Z.W.; Xie, Y.E.; Peng, Q.; Chen, Y.P. Thermal transport in MoS2/Graphene hybrid nanosheets. Nanotechnology 2015, 26, 375402. [Google Scholar] [CrossRef]
- Oh, J.; Kim, Y.; Chung, S.; Kim, H.; Son, J.G. Fabrication of a MoS2/Graphene Nanoribbon Heterojunction Network for Improved Thermoelectric Properties. Adv. Mater. Interfaces 2019, 6, 1901333. [Google Scholar] [CrossRef]
- Kresse, G.; Furthmuller, J. Efficient iterative schemes for ab initio total-energy calculations using a plane-wave basis set. Phys. Rev. B 1996, 54, 11169–11186. [Google Scholar] [CrossRef]
- Perdew, J.P.; Burke, K.; Ernzerhof, M. Generalized gradient approximation made simple. Phys. Rev. Lett. 1996, 77, 3865–3868. [Google Scholar] [CrossRef] [PubMed]
- Grimme, S. Semiempirical GGA-type density functional constructed with a long-range dispersion correction. J. Comput. Chem. 2006, 27, 1787–1799. [Google Scholar] [CrossRef] [PubMed]
- Ma, Y.D.; Dai, Y.; Guo, M.; Niu, C.W.; Huang, B.B. Graphene adhesion on MoS2 monolayer: An ab initio study. Nanoscale 2011, 3, 3883–3887. [Google Scholar] [CrossRef]
- Qiu, B.; Zhao, X.W.; Hu, G.C.; Yue, W.W.; Ren, J.F.; Yuan, X.B. Optical Properties of Graphene/MoS2 Heterostructure: First Principles Calculations. Nanomaterials 2018, 8, 962. [Google Scholar] [CrossRef]
- Ding, Z.W.; Pei, Q.X.; Jiang, J.W.; Huang, W.X.; Zhang, Y.W. Interfacial thermal conductance in graphene/MoS2 heterostructures. Carbon 2016, 96, 888–896. [Google Scholar] [CrossRef]
- Nakamura, H.; Mohammed, A.; Rosenzweig, P.; Matsuda, K.; Nowakowski, K.; Kuster, K.; Wochner, P.; Ibrahimkutty, S.; Wedig, U.; Hussain, H.; et al. Spin splitting and strain in epitaxial monolayer WSe2 on graphene. Phys. Rev. B 2020, 101, 8. [Google Scholar] [CrossRef]
- Naumov, N.G.; Korlyukov, A.A.; Piryazev, D.A.; Virovets, A.V.; Fedorov, V.E. High-precision X-ray diffraction data, experimental and theoretical study of 2H-MoS2. Russ. Chem. Bull. 2013, 62, 1852–1857. [Google Scholar] [CrossRef]
- Tornatzky, H.; Gillen, R.; Uchiyama, H.; Maultzsch, J. Phonon dispersion in MoS. Phys. Rev. B 2019, 99, 144309. [Google Scholar] [CrossRef]
- Schumann, T.; Dubslaff, M.; Oliveira, M.H.; Hanke, M.; Lopes, J.M.J.; Riechert, H. Effect of buffer layer coupling on the lattice parameter of epitaxial graphene on SiC(0001). Phys. Rev. B 2014, 90, 5. [Google Scholar] [CrossRef]
- Phuc, H.V.; Hieu, N.N.; Hoi, B.D.; Phuong, L.T.T.; Nguyen, C.V. First principle study on the electronic properties and Schottky contact of graphene adsorbed on MoS2 monolayer under applied out-plane strain. Surf. Sci. 2018, 668, 23–28. [Google Scholar] [CrossRef]
- Jin, C.J.; Rasmussen, F.A.; Thygesen, K.S. Tuning the Schottky Barrier at the Graphene/MoS2 Interface by Electron Doping: Density Functional Theory and Many-Body Calculations. J. Phys. Chem. C 2015, 119, 19928–19933. [Google Scholar] [CrossRef]
- Plimpton, S. Fast parallel algorithms for short-range molecular dynamics. J. Comput. Phys. 1995, 117, 1–19. [Google Scholar] [CrossRef]
- Lindsay, L.; Broido, D.J.P.R.B. Optimized Tersoff and Brenner empirical potential parameters for lattice dynamics and phonon thermal transport in carbon nanotubes and graphene. Phys. Rev. B 2010, 81, 205441. [Google Scholar] [CrossRef]
- Stillinger, W. Computer simulation of local order in condensed phases of silicon. Phys. Rev. B Condens. Matter 1985, 31, 5262–5271. [Google Scholar] [CrossRef]
- Jiang, J.W. Parametrization of Stillinger-Weber potential based on valence force field model: Application to single-layer MoS2 and black phosphorus. Nanotechnology 2015, 26, 315706. [Google Scholar] [CrossRef]
- Vazirisereshk, M.R.; Ye, H.; Ye, Z.J.; Otero-de-la-Roza, A.; Zhao, M.Q.; Gao, Z.L.; Johnson, A.T.C.; Johnson, E.R.; Carpick, R.W.; Martini, A. Origin of Nanoscale Friction Contrast between Supported Graphene, MoS2, and a Graphene/MoS2 Heterostructure. Nano Lett. 2019, 19, 5496–5505. [Google Scholar] [CrossRef]
- Liu, B.; Baimova, J.A.; Reddy, C.D.; Law, A.W.K.; Dmitriev, S.V.; Wu, H.; Zhou, K. Interfacial Thermal Conductance of a Silicene/Graphene Bilayer Heterostructure and the Effect of Hydrogenation. ACS Appl. Mater. Interfaces 2014, 6, 18180–18188. [Google Scholar] [CrossRef]
- Yan, R.S.; Simpson, J.R.; Bertolazzi, S.; Brivio, J.; Watson, M.; Wu, X.F.; Kis, A.; Luo, T.F.; Walker, A.R.H.; Xing, H.G. Thermal Conductivity of Monolayer Molybdenum Disulfide Obtained from Temperature-Dependent Raman Spectroscopy. ACS Nano 2014, 8, 986–993. [Google Scholar] [CrossRef]
- Ghosh, S.; Calizo, I.; Teweldebrhan, D.; Pokatilov, E.P.; Nika, D.L.; Balandin, A.A.; Bao, W.; Miao, F.; Lau, C.N. Extremely high thermal conductivity of graphene: Prospects for thermal management applications in nanoelectronic circuits. Appl. Phys. Lett. 2008, 92, 151911. [Google Scholar] [CrossRef]
- Srinivasan, S.; Balasubramanian, G. Reduced Thermal Transport in the Graphene/MoS2/Graphene Heterostructure: A Comparison with Freestanding Monolayers. Langmuir 2018, 34, 3326–3335. [Google Scholar] [CrossRef]
- Chen, Y.; Zhang, Y.Y.; Cai, K.; Jiang, J.W.; Zheng, J.C.; Zhao, J.H.; Wei, N. Interfacial thermal conductance in graphene/black phosphorus heterogeneous structures. Carbon 2017, 117, 399–410. [Google Scholar] [CrossRef]
- Liu, Y.; Ong, Z.Y.; Wu, J.; Zhao, Y.S.; Watanabe, K.; Taniguchi, T.; Chi, D.Z.; Zhang, G.; Thong, J.T.L.; Qiu, C.W.; et al. Thermal Conductance of the 2D MoS2/h-BN and graphene/h-BN Interfaces. Sci Rep. 2017, 7, 8. [Google Scholar] [CrossRef] [PubMed]
- Yu, Y.F.; Minhaj, T.; Huang, L.J.; Yu, Y.L.; Cao, L.Y. In-Plane and Interfacial Thermal Conduction of Two-Dimensional Transition-Metal Dichalcogenides. Phys. Rev. Appl. 2020, 13, 034059. [Google Scholar] [CrossRef]
- Rahman, M.; Shahzadeh, M.; Pisana, S. Simultaneous measurement of anisotropic thermal conductivity and thermal boundary conductance of 2-dimensional materials. J. Appl. Phys. 2019, 126, 205103. [Google Scholar] [CrossRef]
- Wu, Y.J.; Lan, Y.W.; Hsu, S.C.; Yeh, C.H.; Ku, Y.S.; Jiang, J.C.; Xu, Y.B. Tuning Interfacial Thermal and Electrical Conductance across a Metal/MoS2 Monolayer through N-Methyl-2-pyrrolidone Wet Cleaning. Adv. Mater. Interfaces 2020, 2000364. [Google Scholar] [CrossRef]
- Aiyiti, A.; Bai, X.; Wu, J.; Xu, X.F.; Li, B.W. Measuring the thermal conductivity and interfacial thermal resistance of suspended MoS2 using electron beam self-heating technique. Sci. Bull. 2018, 63, 452–458. [Google Scholar] [CrossRef]
- Zheng, X.Z.; Zhao, C.Y.; Gu, X.K. Thermal conductivity of MoS2/MoSe2 heterostructures: The role of lattice mismatch, interlayer rotation and species intermixing. Int. J. Heat Mass Transf. 2019, 143, 118583. [Google Scholar] [CrossRef]
- Hong, Y.; Ju, M.G.; Zhang, J.C.; Zeng, X.C. Phonon thermal transport in a graphene/MoSe2 van der Waals heterobilayer. Phys. Chem. Chem. Phys. 2018, 20, 2637–2645. [Google Scholar] [CrossRef]
- Liu, B.; Meng, F.M.; Reddy, C.D.; Baimova, J.A.; Srikanth, N.; Dmitriev, S.V.; Zhou, K. Thermal transport in a graphene-MoS2 bilayer heterostructure: A molecular dynamics study. RSC Adv. 2015, 5, 29193–29200. [Google Scholar] [CrossRef]
- Casimir, H.B.G. Note on the Conduction of Heat in Crystals. Physica 1938, 5, 495–500. [Google Scholar] [CrossRef]
- Zhang, C.; Wang, C.X.; Rabczuk, T. Thermal conductivity of single-layer MoS2: A comparative study between 1H and 1T′ phases. Physica E 2018, 103, 294–299. [Google Scholar] [CrossRef]
- Cao, A.J.; Qu, J.M. Kapitza conductance of symmetric tilt grain boundaries in graphene. J. Appl. Phys. 2012, 111, 053529. [Google Scholar] [CrossRef]
- Pop, E.; Varshney, V.; Roy, A.K. Thermal properties of graphene: Fundamentals and applications. MRS Bull. 2012, 37, 1273–1281. [Google Scholar] [CrossRef]
- Haskins, J.; Kinaci, A.; Sevik, C.; Sevincli, H.; Cuniberti, G.; Cagin, T. Control of Thermal and Electronic Transport in Defect-Engineered Graphene Nanoribbons. ACS Nano 2011, 5, 3779–3787. [Google Scholar] [CrossRef]
- Zhang, X.; Sun, D.Z.; Li, Y.L.; Lee, G.H.; Cui, X.; Chenet, D.; You, Y.M.; Heinz, T.F.; Hone, J.C. Measurement of Lateral and Interfacial Thermal Conductivity of Single- and Bilayer MoS2 and MoSe2 Using Refined Optothermal Raman Technique. ACS Appl. Mater. Interfaces 2015, 7, 25923–25929. [Google Scholar] [CrossRef] [PubMed]
- Gale, J.D.; Rohl, A.L. The General Utility Lattice Program (GULP). Mol. Simul. 2003, 29, 291–341. [Google Scholar] [CrossRef]









| Ref. | Materials | Method | Lattice Constant a (Å) |
|---|---|---|---|
| Ma et al. [23] | Monolayer graphene | First-principles | a = 2.45 |
| Monolayer MoS2 | a = 3.12 | ||
| Qin et al. [24] | Monolayer graphene | First-principles | a = 2.47 |
| Monolayer MoS2 | a = 3.16 | ||
| Ding et al. [25] | Monolayer graphene | First-principles | a = 2.49 |
| Monolayer MoS2 | a = 3.12 | ||
| Nakamura [26] | Graphene beneath WSe2 | Experiment | a = 2.4575 ± 0.0007 |
| Tornatzky [27] | Multilayer MoS2 | Experiment | a = 3.161 |
| Bilayer MoS2 | First-principles | a = 3.158 | |
| Naumov [28] | Multilayer MoS2 | Experiment | a = 3.16 |
| Schumann [29] | Bilayer graphene | Experiment | a = 2.467 |
| Monolayer graphene/Bilayer graphene | a = 2.456/2.463 | ||
| This work | Monolayer graphene | First-principles | a = 2.45/2.47 |
| Monolayer MoS2 | a = 3.12/3.16 |
| Ref. | Materials | Method | Temperature (K) | K (W/m K) | G (MW/m2 K) |
|---|---|---|---|---|---|
| Srinivasan et al. [40] | graphene/MoS2/graphene | MD | 300 | 17–65 | 0.76–0.9 |
| Chen et al. [41] | BP/graphene | MD | 100–350 | 25.33–56.34 | |
| Liu et al. [42] | MoS2/h-BN graphene/h-BN | Experiment | Room temperature | 17 ± 0.4 52.2 ± 2.1 | |
| Yu et al. [43] | MoS2/SiO2 | Experiment | Room temperature | 32.5 ± 3.4 | 18.6 |
| Rahuman et al. [44] | graphene/SiO2 MoS2/SiO2 | Experiment | Room temperature | 636 ± 140 63 ± 22 | |
| Wu et al. [45] | Au/MoS2 | Experiment | Room temperature | 5.12 | |
| Aiyiti et al. [46] | MoS2/pt | Experiment | Room temperature | 30 | 0.5 |
| Zheng et al. [47] | MoS2/MoSe2 | MD | 300 | 17.48 | |
| Hong et al. [48] | graphene/MoSe2 | MD | 300 | 138.24 | 5.26 |
| Liu et al. [49] | graphene/MoS2 | MD | 350 | 31.74 | 5.81 |
Publisher’s Note: MDPI stays neutral with regard to jurisdictional claims in published maps and institutional affiliations. |
© 2020 by the authors. Licensee MDPI, Basel, Switzerland. This article is an open access article distributed under the terms and conditions of the Creative Commons Attribution (CC BY) license (http://creativecommons.org/licenses/by/4.0/).
Share and Cite
Wu, S.; Wang, J.; Xie, H.; Guo, Z. Interfacial Thermal Conductance across Graphene/MoS2 van der Waals Heterostructures. Energies 2020, 13, 5851. https://doi.org/10.3390/en13215851
Wu S, Wang J, Xie H, Guo Z. Interfacial Thermal Conductance across Graphene/MoS2 van der Waals Heterostructures. Energies. 2020; 13(21):5851. https://doi.org/10.3390/en13215851
Chicago/Turabian StyleWu, Shuang, Jifen Wang, Huaqing Xie, and Zhixiong Guo. 2020. "Interfacial Thermal Conductance across Graphene/MoS2 van der Waals Heterostructures" Energies 13, no. 21: 5851. https://doi.org/10.3390/en13215851
APA StyleWu, S., Wang, J., Xie, H., & Guo, Z. (2020). Interfacial Thermal Conductance across Graphene/MoS2 van der Waals Heterostructures. Energies, 13(21), 5851. https://doi.org/10.3390/en13215851

