Abstract
Currently, scientists are still looking for new polymeric materials characterized by improved mechanical, thermal as well as dielectric properties. Moreover, it should be stressed that new composites should be environmentally friendly. For this reason, the aim of this work is to establish the influence of natural fillers in the form of diatomaceous biosilica (B) and talc (T) on the properties of dielectric elastomer (DE)-based composites. The dielectric elastomer-based materials have been tested taking into account their morphology, thermal and mechanical properties. Moreover, the dielectric constant of the obtained materials was evaluated. Obtained results revealed that the presence of both diatomaceous biosilica and talc significantly increases dielectric properties while having no significant effect on the mechanical properties of the obtained composites. It should be stressed that the performed analyses constitute a valuable source of knowledge on the effective modification of the thermal and dielectric properties of newly obtained materials.
1. Introduction
Electroactive polymers (EAPs), which react by changing shape when exposed to electrical stimulation, appeared in the early 1990s and still inspire the creativity of many researchers. Dielectric elastomers (DE) constitute a special class of electroactive polymers. The elastomer-based transducer reduces its thickness and expands in a given area depending on the voltage applied. Due to the speed of reaction and their very good electromechanical properties, dielectric elastomers have been suggested as substrates in robotics inspired by biology, for example in the production of artificial muscles [1]. However, in aim to stimulate the dielectric elastomers high-intensity electric fields have to be used, what limits their use in certain areas of potential application. For this reason, different modifications of dielectric elastomers are the object of intense scrutiny. In the case of the discussed group of materials, particular attention should also be paid to increasing their dielectric permeability. In aim to obtain materials characterized by high dielectric constant values and without any detriment to mechanical properties, different types of conductive fillers [2,3,4] and ceramic fillers [5] were introduced into polydimethylsiloxane (PDMS) matrix. The hypothesis was that that the addition of these compounds would increase the dielectric constant of a given elastomer. One of the first studies into the modification of a dielectric elastomer showed that the addition of 7.3% vol. rutile (TiO2) to silicone rubber improved its dielectric properties while reducing Young’s modulus [6]. Romansata et al. [7] suggested an application of CaCu3Ti4O12 (CCTO) as a filler to dielectric elastomers because of its high dielectric constant (104), maintained regardless of temperature and frequency. The composite obtained on the base of CCTO and polydimethylsiloxane showed improvement in the Young’s modulus and a reduction in electric field required in order to achieve the same deformation compared to pure polymer matrix. In order to increase the resistance of dielectric elastomers to temperature, reduce their susceptibility to burning and give them adequate durability, silicate materials are used more often. The most widely recognizable layered silicates include montmorillonite (MMT), kaolinite, saponite, mica and talc. Kong et al. [8] synthesized silicone-rubber/clay nanocomposites using synthetic Fe-montmorillonite (Fe-MMT) and organically modified sodium montmorillonite. In Lewicki [9] work an increase in the thermodynamic stability of polydimethylsiloxane composite structure containing nanometric particles of organic montmorillonite was observed. Methyl vinyl silicone rubber (VMQ) nanocomposites displaying reduced flammability resulting from an addition of MMT was described in the work of Yang et al. [10]. El-Hag et al. [11] investigated the effect of a silica additive on the resistance of silicone-based composites to erosion. Based on the results obtained in the above review, this paper focuses on composites based on polydimethylsiloxane with the addition of talc and a unique representative of the silicate materials group, i.e., diatomaceous biosilica.
The idea of using diatomaceous biosilica in nanotechnology was first proposed by Gordon and Drum in 1994 [12]. It is well known that a diatomaceous biosilica is characterized by a perfectly ordered three-dimensional structure, thermal and mechanical stability, unique optical properties and biocompatibility [13,14,15]. Preparation and properties of diatomaceous biosilica was described by Sprynskyy [16]. Talc, on the other hand, has a high melting point, low electricity and heat conductivity [17,18,19]. Talc, once added to plastics, increases their chemical resistance, high temperature resistance and ensures high tensile strength [20]. The uniqueness of the undertaken research is determined by the use of diatomaceous biosilica and talc as fillers in polydimethylsiloxane. The properties displayed by diatomaceous biosilica when used as a filler clearly prove its phenomenal effect on the thermostability of the dielectric elastomer. The increase in thermostability of the obtained composites is associated with the morphology of diatomaceous shells and results from their perfectly preserved three-dimensional structure, as well as the ordered pore network, from nano- to micrometers. Talc, on the other hand, has a lamellar structure which causes an increase in the mechanical stability of the polymer matrix, increasing its tension strength up to 2.3 MPa.
2. Materials and Methods
2.1. Materials
The polymer matrix of the synthesized composites consisted of a polydimethylsiloxane named Sylgard 184 from Dow Corning Europe S.A. (Machelen, Belgium). It is a two-component elastomer including a liquid component A and a component B. The organic solvent was n-hexane-Chempur (Piekary Śląskie, Poland). Diatomaceous biosilica was obtained from diatomaceous biomass, which was cultured in laboratory conditions, according to the procedure described in the work of Sprynskyy et al. [16]. While talc was purchased from LeFarm Laboratory (Galenowe, Poland).
2.2. Formation of Composites
Initially, a dispersion of nanofiller in n-hexane was prepared. Consecutively, component A of Sylgard was introduced into the dispersed filler. In order to obtain a uniform distribution of biosilica or talc in the polymer, an ultrasound (2 × 240 W and 40 kHz) was used. The mixture prepared in this way was mixed (using a mechanical stirrer within 30 min). During the next stage, the Sylgard B component was introduced into the mixture and the ultrasonic mixing was continued. The weight ratio of component A to component B was 10:1. The content of diatomaceous biosilica as well as talc in composites was 1% and 3% by weight. The obtained mixture was poured (~6 g) on polystyrene Petri dishes (area ~58 cm2). The samples were left for about 48 h at room temperature for the solvent to evaporate.
2.3. Characterization Methods of Obtained Composites
In order to analyze the surface morphology of the obtained composites, the Quanta 3D FEG SEM/FIB scanning electron microscope with 1.2 nm resolution capability with SE signal detection was used. Before the analysis, the samples were covered with a nanometric layer of gold. The analysis was carried out in the variable vacuum mode.
An atomic force microscope was applied to study the morphology and structure of the obtained composites. For the analysis, a Veeco SPM (Digital Instrument) scanning probe was used. The components of the whole system were: NanoScopeIlla controller and Quadrex, MultiMode microscope, E type scanner. The sizes of scan area was 5 μm × 5 μm.
Thermal stability of the obtained composites was tested using the thermogravimetric method. For the analysis, the SDT 2960 Simultaneous TGA-DTA by TA Instruments was used. The analysis was performed in nitrogen atmosphere with a heating rate of 10 °C/min. The analysis was carried out in the temperature range from 20 °C to 700 °C.
The analyses of mechanical properties were performed in accordance with the PN EN ISO 527-1:2012 and PN EN ISO 527-2:2012 standards: The dimensions of the samples were determined using the ZKM 02-150 microscope, while the thickness of the samples was measured using the Mitutoyo electronic caliper (No. 08645781).
The measurements of dielectric properties were carried out at a specially prepared laboratory stand. The measuring electrodes were made of a 4.02 mm thick copper plate, which were then galvanically connected to the measuring leads in a non-interfering manner with the electrode working surface of 50.00 mm diameter. The dimensions of the electrodes were determined using a digital sensor for absolute measurement with a resolution of 0.01 mm from Mitutoyo and a digital micrometer with a resolution of 0.001 mm from Mahr.
The dielectric properties were measured, using the Dual Display LCR DE-5000 analyzer with an AC voltage of 600 mV and a frequency range of 102–105 Hz at room 23 °C temperature. Placing the tested sample between the electrodes, the capacitance of the resulting capacitor was measured with an accuracy of 0.01 pF.
3. Results and Discussion
3.1. Morphology of Obtained Composites Using SEM and AFM
In order to assess the surface of the obtained composite and to present the degree of filler dispersion in the polymer matrix, an analysis was carried out employing scanning electron microscopy (SEM). Figure 1 illustrates the structure of diatomaceous biosilica obtained from cultivated diatoms of the species Pseudostaurosira trainori.
Figure 1.
SEM images of the diatomaceous biosilica.
Diatomaceous shells are in the form of elliptical, flattened spheroids. Frustule sizes range from 2 to 10 µm [21]. The exact characterization of diatomaceous biosilica obtained from the diatomaceous species was presented previously by Sprynskyy et al. [16,22].
The morphology of talc is presented in Figure 2. It is visible that talc has a laminated, layered structure. According to literature [23] talc structure is characterized by an octahedral layer of gibbsite positioned between the tetrahedral tridymite grids, adjacent to them.
Figure 2.
SEM images of the talc.
The adjoining three-layer units are bound by weak Van der Waals interactions, causing a state of permanent alignment flux between planes. For this reason, the extraordinary delicacy and softness of this mineral, causes talc to break to smaller pieces, with even individual lamellas being present.
The structure and morphology of unmodified elastomer and its composites with the addition of selected silicate materials is presented in Figure 3 and Figure 4. The obtained SEM images show that the addition of both silicate fillers, at the level of 1% wt and 3% wt, does not significantly change the morphology of the composite in comparison with pure polymer matrix. The surface of the obtained composites is smooth, there are no scratches, cracks or pores. However, in the case of the composite containing 3% wt of talc the differentiation of the morphology and an increase in irregularities on the surface of the modified polymer can be observed (Figure 4). This suggests that some particles of talc are observed on the surface of material filled with 3% of talc. Therefore, a conclusion is justified that diatomaceous biosilica can easily be dispersed in the PDMS matrix in comparison to talc.
Figure 3.
SEM images of elastomer and elastomer based composites filled with diatomaceous biosilica.
Figure 4.
SEM images of elastomer and elastomer based composites filled with talc.
Comparing the cross-sections of the obtained composites (Figure 5) with the cross-sections of the pure polymer matrix it is apparent that their morphology is more varied
Figure 5.
Cross sections of Sylgard and obtained composites.
Figure 5 presents single diatomaceous biosilica shells, which indicates that the filler is evenly distributed in the polymer matrix. Taking into account the cross-section images of the studied composites containing talc, it can be concluded that the polymer matrix in the form of PDMS slightly modified the layered structure of the additive.
A similar result was obtained by Liu [24] during study on the polydimethylsiloxane/montmorillonite composite. However, it should be stressed that in the case of samples ST1 and ST3, large talc agglomerates, consisting of many tiles, which are typical of layered minerals, have not been observed [25]. It should also be noted that talc in the obtained composites occurs in the form of single flakes evenly distributed in the polymer matrix.
Apart from SEM microphotography, the surfaces of the obtained composites were inspected using atomic force microscopy (AFM). Figure 6 shows topographic AFM images of unfilled polymer matrix and its composites with the addition of diatomaceous biosilica and talc. In order to quantify the surface roughness of the studied materials, the values of three parameters: Ra, Rq and Rmax have been taken into account:
Figure 6.
Atomic force microscopy images of unfilled polymer matrix and its composites.
Ra, is the arithmetic mean of the absolute values of the ordinates Z(x) within the elementary segment. This parameter shows an amplitude character and, therefore, it does not provide information concerning the shape of the profile (1).
Rq describes the average deviation of the y profile in the elementary segment. Its value is influenced by high surface depressions or protrusions (2).
Rmax defines the maximum roughness, described by the distance between the highest and lowest value of the Z-t coordinate.
(l—number of made measurements);
Taking into account the obtained values of roughness parameters, it can be seen that composites containing diatomaceous biosilica and talc were characterized by higher roughness than the unfilled polymer matrix. Similar results were obtained by Kim et al. [26] by testing composites consisting of polydimethylsiloxane and silica nanoparticles. The addition of diatomaceous biosilica caused a slight increase in the roughness of the elastomer. The values of the parameters described above are summarized in Table 1.
Table 1.
Values of roughness parameters of pure Sylgard and its composites.
In the case of composites containing talc, an increase in the amount of filler caused significant changes in the values of roughness of the obtained composite (Table 1).
In the case of sample ST3, a 74% increase in the roughness in comparison with pure Sylgard can be clearly observed. These results confirm the conclusions drawn from the SEM analysis.
3.2. Determining Thermal Properties by Means of Thermogravimetric Analysis
It is well known that electroactive materials should be characterized by thermal resistance. Therefore, in order to determine the effect of the addition of diatomaceous biosilica and talc on the thermal stability of the obtained materials, TG analysis was performed. Thermogravimetric analysis was carried out for pure silicone elastomer (Sylgard 184) and for elastomer-based composites containing additives in the form of diatomaceous biosilica and talc. The effect the addition of fillers had on the thermostability of the obtained materials was analyzed on the basis of temperature values corresponding to 10%, 30% and 50% mass loss. The obtained values of particular temperatures are presented in Table 2.
Table 2.
TG data for pure Sylgard and its composites.
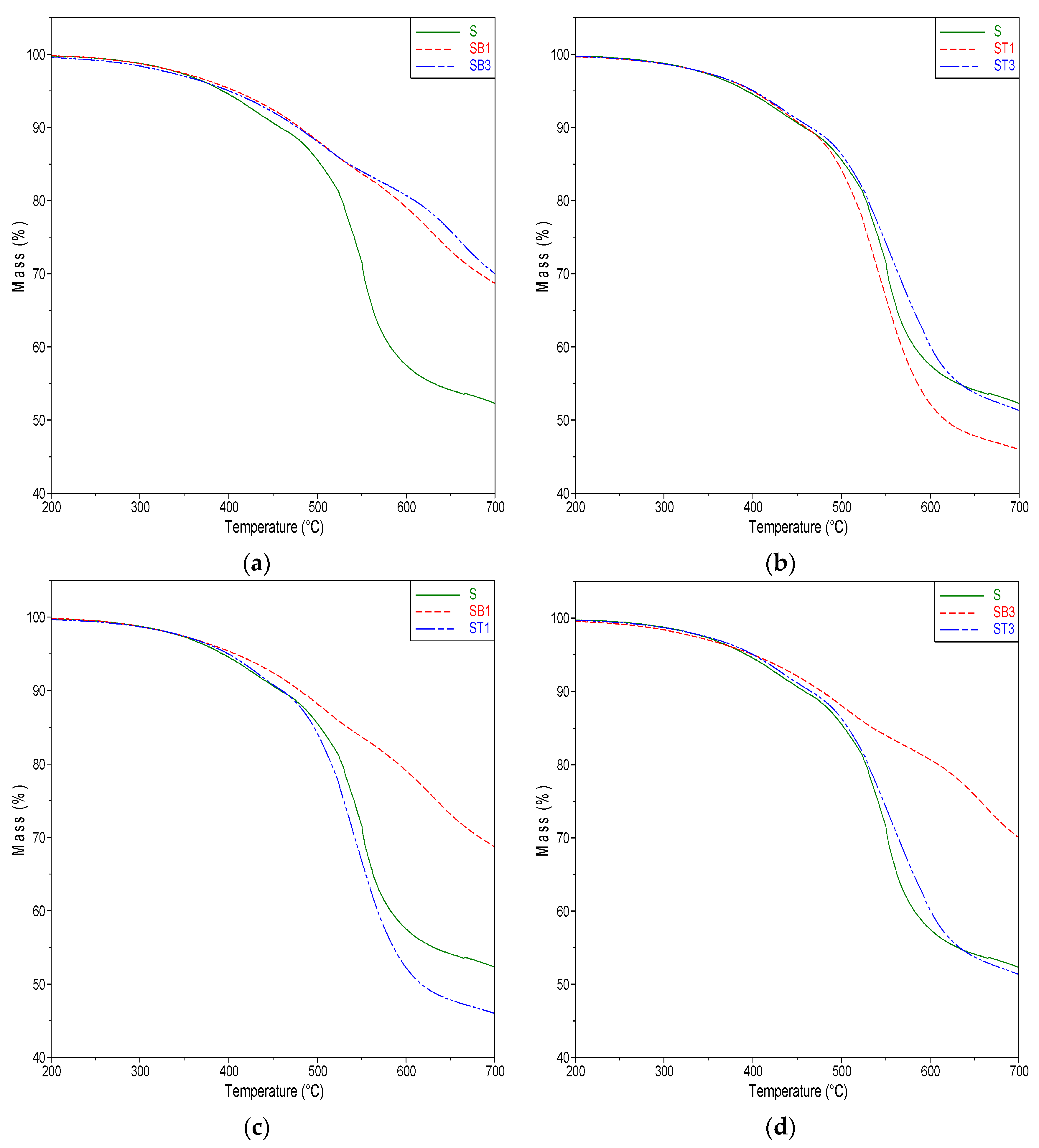
Thermogravimetric curves obtained for the polymer matrix and composites containing 1 and 3wt. % of an additive in the form of diatomaceous biosilica and talc are presented in Figure 7a–d. As can be seen, heating each sample up to 200 °C results in negligible changes in the mass sample and at 200 °C the mass of S, ST and SB is still ca. 100%. Thus, all tested samples are thermally stable at low temperatures. It was established that in the case of all studied composites, regardless of the amount of applied filler, temperature at 10% mass loss increased in comparison to pure polymer matrix.
Figure 7.
Thermogravimetric curves for unfilled polymeric matrix (S) and its composites filled with: (a) diatomaceous biosilica, (b) talk, (c) the 1% wt and (d) 3% wt of different fillers
The most significant increase in thermal stability was observed in relation materials containing biosilica. It is known that this type of compound, during the decomposition, can form char at the surface of the degraded composites. Formed char may constitute a barrier between the polymer medium and the superficial zone where combustion occurs and in this way can improve the thermal stability of composites [27]. The first stage of decomposition of Sylgard, as indicated by Johnson in his work [28], is directly correlated with the decomposition of [Si(CH3)2O]n groups and with certain desorption of H2O and/or dehydration of Sylgard. Available literature indicates that the loss mass of the composite ranging between 10 and 30% is caused by complete removal of volatile siloxanes, similarly to the PDMS/silica composite described in the Sulym research [29]. Figure 7a presents TG results of pure Sylgard and composites containing 1 and 3 wt. % of diatomaceous biosilica. Taking into account the presented results, it can be clearly seen that the thermostability of the above mentioned composites increases with an increasing amount of biosilica.
The increase in thermostability of composites containing diatomaceous biosilica is more perceptible at 10% weight loss, where thermostability of the composite changed by about 22 °C and 20 °C, respectively, for SB1 and SB3 samples, in comparison to Sylgard. The most significant increases in the decomposition temperature of samples containing 1 and 3 wt. % of diatomaceous biosilica were observed at 30% mass loss, reaching 131 °C and 148 °C for SB1 and SB3, respectively, when compared to neat Sylgard. In Figure 7b thermogravimetric curves of unfilled dielectric elastomer and composites containing 1 and 3 wt. % talc are shown. On analyzing the temperature values pertaining to particular weight losses (Table 2), it can be seen that the thermal decomposition of ST3 materials, represented by the values of temperatures at 10 and 30% mass loss, has shifted to a higher temperature range compared to pure Sylgard. In the case of the ST1 sample, only the temperature at a 30% weight loss is lower in relation to neat Sylgard, while at a 10% weight loss it is almost unchanged (ca. 2 °C difference). Thus, we can assume that talc added in low amounts has hardly any effect on the thermal stability of the polymeric matrix.
In Figure 7c,d, the influence of the same amount of different fillers on thermal stability of the obtained composites can be seen. Results support the conclusion that a more significant improvement in thermostability of PDMS-based composites is caused by the introduction of diatomaceous biosilica. The obtained increase in thermostability is related to the morphology of diatoms and results from their perfectly preserved three-dimensional structure, as well as an orderly network of pores, ranging from nano- to micrometers [16,30], which play the role of “scaffolding” in the composite.
Summarizing, in available literature, there is relatively little information devoted to the thermal stability of elastomers filled with silicate, which makes the issue of using silicates to improve the properties, in particular the thermal properties, of elastomer materials an extremely interesting and novel research problem.
3.3. Mechanical Properties
In the case of materials which can be used as artificial muscle, mechanical properties are essential. Most of the fillers used significantly influence the elasticity and strength of dielectric elastomers. In Figure 8 and Figure 9, the tensile strength and elongation at break are presented, respectively. In both cases, i.e., materials containing diatomaceous biosilica as well as materials consisting of dielectric matrix and talc, the increase in mechanical properties has been observed. However, in the case of a sample with a higher diatomaceous biosilica content (SB3) a more significant enhancement of the tensile strength in comparison with the talc-infused sample (ST3) has been observed.
Figure 8.
Tensile strength of Sylgard and its composites.
Figure 9.
Elongation at break of Sylgard and its composites.
An increase of approximately 5 MPa in tensile strength has been attained when the biosilica load reached 3.0 wt. % while the samples containing 3.0 wt. % talc displayed an increase of 3.5 MPa. The observed improvement in the tensile strength is most likely related to the homogeneous dispersion of the introduced filler. Moreover, in the case of diatomaceous biosilica, its shape and size have to be taken into account. The frustules of diatomaceous biosilica are mostly round or slightly elliptical with an average diameter of 4–5 μm and the pore size ranging between 150 and 200 nm [16]. The shape of frustules of diatomaceous biosilica is responsible for the remarkable reinforcement of the polymer matrix.
The elongation at break (Figure 9) followed a similar pattern as the tensile strength, as indicated by the results presented in Figure 8. The addition of filler in the form of a diatomaceous biosilica and talc increased the values of elongation at break.
However, in the case of the discussed parameters, the highest value of elongation at break was obtained in relation to materials consisting of polydimethylsiloxane and talc. With 1.0 wt. % of talc, the elongation at break increased to 124%, while after the addition of 3% of talc, elongation at break of the obtained sample achieved values reaching 135%. The effect of different types of clays and other nanofillers on the mechanical properties of polydimethylsiloxane was analyzed by other researchers [31,32,33]. Pure montmorillonite as well as modified, e.g., Cloisite 25A, GELMAX 400 or Viscogel ED, were introduced into the polydimethylsiloxane matrix [34,35,36]. Taking into account the results presented in literature, it needs to be stressed that in almost all of the discussed cases, the modification of MMT improved the tensile strength and elongation at the break of the obtained composites.
Based on the obtained results, it is reasonable to assume that the introduction of diatomaceous biosilica, as well as talc, acting as a filler, is an adequate procedure for fashioning dielectric composites with desirable physicochemical properties.
3.4. Dielectric Properties
To evaluate an effect of talc and diatomaceous biosilica incorporation into the DE poly(dimethylsiloxane) matrix on its dielectric properties, the electric charge that can be stored in a capacitor reflected by polymer capacity () was measured at a range of frequencies from 100 Hz to 10,000 Hz. Capacity values recalculated into dielectric constant () and dielectric loss are given in Table 3.
Table 3.
Dielectric properties of poly(dimethylsiloxane) and its composite derivatives.
As can be seen in each case, introduction of the filler results in an improved dielectric constant value, while dielectric loss stays relatively low and almost unaffected. Higher filler content results in a nonlinear increase in values.
It can be also observed that at higher frequencies, the capacitance, represented by values, decreases slightly for both pristine and talc or biosilica loaded samples. As can be seen, a reverse trend is noted only in the case of the SB3 sample. The observed decrease indicates a lag of the dipoles’ response. It is worth noting that the change in frequency from 102 to 105 Hz results in 6.74% decrease in for neat Sylgard (S). However, this same change in frequency causes only 0.62% and 2.23% decrease in dielectric constant, for ST1 and SB1 materials, respectively. A similar observation, regarding the frequency dependence of values, have already been made by Saad and Aziz [37] in relation to neat butyl rubber and butyl rubber loaded with talc and other fillers (e.g., kaolin, CaCO3). These authors noticed, however, that a decrease in dielectric constant along with an increasing frequency was filler-amount-dependent. Contrary to the observations made in the current study, Saad and Aziz [37] noticed a higher decrease in dielectric constant for fillers loaded with polymeric materials.
It should also be noted, that the improvement of dielectric properties is also dependent on the filler type. As can be seen at 1 kHz (Figure 10), 3 wt. % talc incorporation caused 58.6% increase, while an addition of biosilica resulted in a 47.0% increase in the same modification conditions.
Figure 10.
Comparison of dielectric constant for biosilica (SB) and talc (ST) modified poly(dimethylsiloxane) at 1 kHz.
These differences can be related to the nature of both fillers, even if both are regarded as ceramic ones [38]. Talc has a layered platy structure consisting of a magnesium hydroxide layer sandwiched between two silica layers [39], and belongs to the group of layered silicates. In theory, the dielectric properties of nanofillers should differ from the micrometer fillers and would not only depend on the nature and quantity of the used nanoparticle, but also on the nanofiller–polymer interfaces [40].
Following the results presented by Liu et al. [41], the dielectric constant of PDMS material modified with polydopamine/silicon dioxide/graphite oxide nanohybrid (PDA@SiO2@GO) filler increased from ca. 2.5 for neat PDMS to ca. 5 for 3 wt. % of filler content. Diatomaceous biosilica incorporation into PDMS matrix results in the changes within a similar range, as was found in relation to PDA@SiO2@GO. It is worth noting that Sarkarat et al. [42] detected a relaxation peak in dielectric loss along with an increase in dielectric permittivity at frequency < 100 Hz for silicone rubber incorporated with 2.5 wt. % of N-octadecylamine modified montmorillonite clay. Above 100 Hz, there were no significant differences in values between modified and unmodified rubber. Authors ascribed this phenomenon to the accumulation of the charge in the interface between clay agglomerated macroparticles and polymer matrix (Maxwell–Wagner–Sillars (MWS) polarization). It is therefore reasonable to assume that in the case of ST samples, filler is well distributed within the PDMS, and as can be seen in Table 3, the MWS does not take place. As a result, an improvement in was noted.
As the problem of dielectric elastomers modification can be related to the deterioration of the breakdown strength, it is worth nothing that in the case of the studied fillers, an improvement in the mechanical properties of poly(dimethylsiloxane) samples has been observed.
4. Conclusions
As a result of conducted research new dielectric elastomer-based composites with an addition of diatomaceous biosilica and talc at different weight percentages were obtained. It should be stressed the filler in the form diatomaceous biosilica was used for the first time in aim to obtain polydimethylsiloxane-based materials. Both of the used fillers were distributed evenly throughout the polymer matrix. Studied composites were characterized by improved thermal and mechanical properties. Moreover, it was noted that the dielectric constant of composites shifted towards higher values in comparison with pure DE.
Both of the additives used during the conducted research significantly improve the dielectric constant of the obtained composites which is crucial in the case of materials meant to be utilized in the formation of artificial muscles. Obtained results lead to the conclusion that both diatomaceous biosilica and talc can be used as compounds that can significantly improve the thermal, mechanical and dielectric properties of PDMS.
Author Contributions
Conceptualization, E.O.-K. and W.B.; formal analysis, E.O.-K., W.B., A.A.; investigation, E.O.-K., W.B., M.G., A.A.; methodology, E.O.-K., W.B., I.W., M.S.; supervision, E.O.-K., M.G. and W.B.; visualization, E.O.-K., W.B., M.G. and I.W.; writing—original draft, E.O.-K., W.B. and M.G.; writing—review and editing, E.O.-K., M.G., W.B., A.A. and M.S. All authors have read and agreed to the published version of the manuscript.
Funding
This research received no external funding.
Conflicts of Interest
The authors declare no conflict of interest.
References
- Bar-Cohen, Y.; Zhang, Q. Electroactive Polymer Actuators and Sensors. MRS Bull. 2016, 33, 173–181. [Google Scholar] [CrossRef]
- Jamal, E.M.A.; Joy, P.A.; Kurian, P.; Anantharaman, M.R. On the magnetic and dielectric properties of nickel-neoprene nanocomposites. Mater. Chem. Phys. 2010, 121, 154–160. [Google Scholar] [CrossRef]
- Yang, T.I.; Brown, R.N.C.; Kempel, L.C.; Kofinas, P. Controlled synthesis of core-shell iron-silica nanoparticles and their magneto-dielectric properties in polymer composites. Nanotechnology 2011, 22, 1–8. [Google Scholar] [CrossRef] [PubMed]
- Kofod, G.; Risse, S.; Stoyanov, H.; McCarthy, D.N.; Sokolov, S.; Kraehnert, R. Broad-spectrum enhancement of polymer composite dielectric constant at ultralow volume fractions of silica-supported copper nanoparticles. ACS Nano 2011, 5, 1623–1629. [Google Scholar] [CrossRef] [PubMed]
- Stiubianu, G.; Bele, A.; Cazacu, M.; Racles, C.; Vlad, S.; Ignat, M. Dielectric silicone elastomers with mixed ceramic nanoparticles. Mater. Res. Bull. 2015, 71, 67–74. [Google Scholar] [CrossRef]
- Carpi, F.; De Rossi, D. Improvement of electromechanical actuating performances of a silicone dielectric elastomer by dispersion of titanium dioxide powder. IEEE Trans. Dielectr. Electr. Insul. 2005, 12, 835–843. [Google Scholar] [CrossRef]
- Romasanta, L.J.; Leret, P.; Casaban, L.; Hernández, M.; De La Rubia, M.A.; Fernández, J.F.; Kenny, J.M.; Lopez-Manchado, M.A.; Verdejo, R. Towards materials with enhanced electro-mechanical response: CaCu 3Ti4O12-polydimethylsiloxane composites. J. Mater. Chem. 2012, 22, 24705–24712. [Google Scholar] [CrossRef]
- Zhang, A.Z.; Ohlan, P.; Saini, S.K. Study on the Thermal and Dielectric Properties of SrTiO3/Epoxy Nanocomposites. Energies 2017, 10, 692. [Google Scholar] [CrossRef]
- Lewicki, J.P.; Liggat, J.J.; Hayward, D.; Pethrick, R.A.; Patel, M. Degradative thermal analysis and dielectric spectroscopy studies of aging in polysiloxane nanocomposites. ACS Symp. Ser. 2009, 1004, 239–254. [Google Scholar] [CrossRef]
- Yang, L.; Hu, Y.; Lu, H.; Song, L. Morphology, thermal, and mechanical properties of flame-retardant silicone rubber/montmorillonite nanocomposites. J. Appl. Polym. Sci. 2006, 99, 3275–3280. [Google Scholar] [CrossRef]
- El-Hag, A.H.; Simon, L.C.; Jayaram, S.H.; Cherney, E.A. Physicochemical properties of silica filled silicone rubber nanocomposites. Annu. Rep. Conf. Electr. Insul. Dielectr. Phenomena CEIDP 2004, 1, 688–691. [Google Scholar] [CrossRef]
- Gordon, R.; Drum, R.W. The Chemical Basis of Diatom Morphogenesis. Int. Rev. Cytol. 1994, 150, 243–372. [Google Scholar] [CrossRef]
- Wang, J.K.; Seibert, M. Prospects for commercial production of diatoms. Biotechnol. Biofuels 2017, 10, 1–13. [Google Scholar] [CrossRef]
- Popovich, C.A.; Pistonesi, M.; Hegel, P.; Constenla, D.; Bielsa, G.B.; Martín, L.A.; Damiani, M.C.; Leonardi, P.I. Unconventional alternative biofuels: Quality assessment of biodiesel and its blends from marine diatom Navicula cincta. Algal Res. 2019, 39, 101438. [Google Scholar] [CrossRef]
- Fu, W.; Nelson, D.R.; Mystikou, A.; Daakour, S.; Salehi-Ashtiani, K. Advances in microalgal research and engineering development. Curr. Opin. Biotechnol. 2019, 59, 157–164. [Google Scholar] [CrossRef] [PubMed]
- Sprynskyy, M.; Pomastowski, P.; Hornowska, M.; Król, A.; Rafińska, K.; Buszewski, B. Naturally organic functionalized 3D biosilica from diatom microalgae. Mater. Des. 2017, 132, 22–29. [Google Scholar] [CrossRef]
- Wang, J.; Somasundaran, P. Adsorption and conformation of carboxymethyl cellulose at solid-liquid interfaces using spectroscopic, AFM and allied techniques. J. Colloid Interface Sci. 2005, 291, 75–83. [Google Scholar] [CrossRef]
- Choi, J.; Seo, J.; Kim, S.B.; Kim, W. Flotation Behavior of Malachite Using Hydrophobic Talc Nanoparticles as Collectors. Minerals 2020, 10, 756. [Google Scholar] [CrossRef]
- Kirak, A.; Yilmaz, H.; Güler, S.; Güler, Ç. Dielectric properties and electric conductivity of talc and doped talc. J. Phys. D. Appl. Phys. 1999, 32, 1919–1927. [Google Scholar] [CrossRef]
- Schöne, J.; Kotter, I.; Grellmann, W. Properties of Polypropylene Talc Compounds with different talc particle size and loading. J. Plast. Technol. 2012, 8, 231–251. [Google Scholar]
- Morales, E.A.; Edlund, M.B.; Spaulding, S.A. Description and ultrastructure of araphid diatom species (Bacillariophyceae) morphologically similar to Pseudostaurosira elliptica (Schumann) Edlund et al. Phycol. Res. 2010, 58, 97–107. [Google Scholar] [CrossRef]
- Nowak, A.P.; Sprynskyy, M.; Brzozowska, W.; Lisowska-Oleksiak, A. Electrochemical behavior of a composite material containing 3D-structured diatom biosilica. Algal Res. 2019, 41, 101538. [Google Scholar] [CrossRef]
- Charnay, C.; Lagerge, S.; Partyka, S. Assessment of the surface heterogeneity of talc materials. J. Colloid Interface Sci. 2001, 233, 250–258. [Google Scholar] [CrossRef]
- Liu, Q.; Kee, D. De Mass Transport Through PDMS/Clay Nanocomposite Membranes. Can. J. Chem. Eng. 2008, 85, 36–44. [Google Scholar] [CrossRef]
- Segad, M.; Jönsson, B.; Cabane, B. Tactoid formation in montmorillonite. J. Phys. Chem. C 2012, 116, 25425–25433. [Google Scholar] [CrossRef]
- Kim, H.; Kim, H.G.; Kim, S.; Kim, S.S. PDMS-silica composite membranes with silane coupling for propylene separation. J. Memb. Sci. 2009, 344, 211–218. [Google Scholar] [CrossRef]
- Olewnik, E.; Garman, K.; Piechota, G.; Czerwiński, W. Thermal properties of nanocomposites based on polyethylene and n-heptaquinolinum modified montmorillonite. J. Therm. Anal. Calorim. 2012, 110, 479–484. [Google Scholar] [CrossRef]
- Johnson, R.T.; Biefeld, R.M.; Sayre, J.A. High-temperature electrical conductivity and thermal decomposition of Sylgard® 184 and mixtures containing hollow microspherical fillers. Polym. Eng. Sci. 1984, 24, 435–441. [Google Scholar] [CrossRef]
- Sulym, I.; Klonos, P.; Borysenko, M.; Pissis, P.; Gun’ko, V.M. Dielectric and thermal studies of segmental dynamics in silica/PDMS and silica/titania/PDMS nanocomposites. J. Appl. Polym. Sci. 2014, 131, n/a-n/a. [Google Scholar] [CrossRef]
- Meng, N.; Zhou, N.L.; Zhang, S.Q.; Shen, J. Synthesis and antifungal activities of polymer/montmorillonite-terbinafine hydrochloride nanocomposite films. Appl. Clay Sci. 2009, 46, 136–140. [Google Scholar] [CrossRef]
- Kuram, E. Hybridization effect of talc/glass fiber as a filler in polycarbonate/acrylonitrile-butadiene-styrene composites. Compos. Part B Eng. 2019, 173, 106954. [Google Scholar] [CrossRef]
- Bele, A.; Cazacu, M.; Stiubianu, G.; Vlad, S.; Ignat, M. Polydimethylsiloxane-barium titanate composites: Preparation and evaluation of the morphology, moisture, thermal, mechanical and dielectric behavior. Compos. Part B Eng. 2015, 68, 237–245. [Google Scholar] [CrossRef]
- Meng, N.; Zhou, N.L. Synthesis and properties of PDMS/montmorillonite-cetyltrimethylammonium bromide-heparin films. Carbohydr. Polym. 2014, 105, 70–74. [Google Scholar] [CrossRef]
- Kim, E.S.; Shim, J.H.; Jung, S.H.; Joo, J.H.; Yoon, J.S.; Lee, S.H. Influence of clay modification on the reinforcement of vinyl-terminated polydimethylsiloxane networks. Polym. Int. 2010, 59, 479–485. [Google Scholar] [CrossRef]
- Kaneko, M.L.Q.A.; Romero, R.B.; do Gonçalves, M.C.; Yoshida, I.V.P. High molar mass silicone rubber reinforced with montmorillonite clay masterbatches: Morphology and mechanical properties. Eur. Polym. J. 2010, 46, 881–890. [Google Scholar] [CrossRef]
- Yang, Z.; Peng, H.; Wang, W.; Liu, T. Crystallization behavior of poly(ε-caprolactone)/layered double hydroxide nanocomposites. J. Appl. Polym. Sci. 2010, 116, 2658–2667. [Google Scholar] [CrossRef]
- Saad, A.L.G.; Aziz, A.W. Dielectric behaviour and ultrasonic absorption of aged butyl rubber loaded with white fillers. Polym. Degrad. Stab. 1993, 41, 31–35. [Google Scholar] [CrossRef]
- Romasanta, L.J.; Lopez-Manchado, M.A.; Verdejo, R. Increasing the performance of dielectric elastomer actuators: A review from the materials perspective. Prog. Polym. Sci. 2015, 51, 188–211. [Google Scholar] [CrossRef]
- Cheng, Y.; Yu, G.; Yu, B.; Zhang, X. The Research of Conductivity and Dielectric Properties of ZnO/LDPE Composites with Different Particles Size. Materials 2020, 13, 4136. [Google Scholar] [CrossRef]
- Lewis, T.J. Interfaces are the dominant feature of dielectrics at the nanometric level. IEEE Trans. Dielectr. Electr. Insul. 2004, 11, 739–753. [Google Scholar] [CrossRef]
- Liu, L.; Lei, Y.; Zhang, Z.; Liu, J.; Lv, S.; Guo, Z. Fabrication of PDA@SiO2@rGO/PDMS dielectric elastomer composites with good electromechanical properties. React. Funct. Polym. 2020, 154, 104656. [Google Scholar] [CrossRef]
- Sarkarat, M.; Lanagan, M.; Ghosh, D.; Lottes, A.; Budd, K.; Rajagopalan, R. High field dielectric properties of clay filled silicone rubber composites. Mater. Today Commun. 2020, 23. [Google Scholar] [CrossRef]
Publisher’s Note: MDPI stays neutral with regard to jurisdictional claims in published maps and institutional affiliations. |
© 2020 by the authors. Licensee MDPI, Basel, Switzerland. This article is an open access article distributed under the terms and conditions of the Creative Commons Attribution (CC BY) license (http://creativecommons.org/licenses/by/4.0/).









