Small-Signal Modeling and Parameter Optimization Design for Photovoltaic Virtual Synchronous Generator
Abstract
1. Introduction
2. Small-Signal Model of a PV-VSG Integrated Power System
2.1. PV Cell Model
2.2. DC Link Model
2.3. Inverter and Controller Model
2.4. The Linearization Model
3. Global Optimization Design Method for Controller Parameters of PV-VSG
3.1. Analysis of Eigenvalues of PV-VSG Systems
3.2. Optimization Method for Controller Parameters of PV-VSG
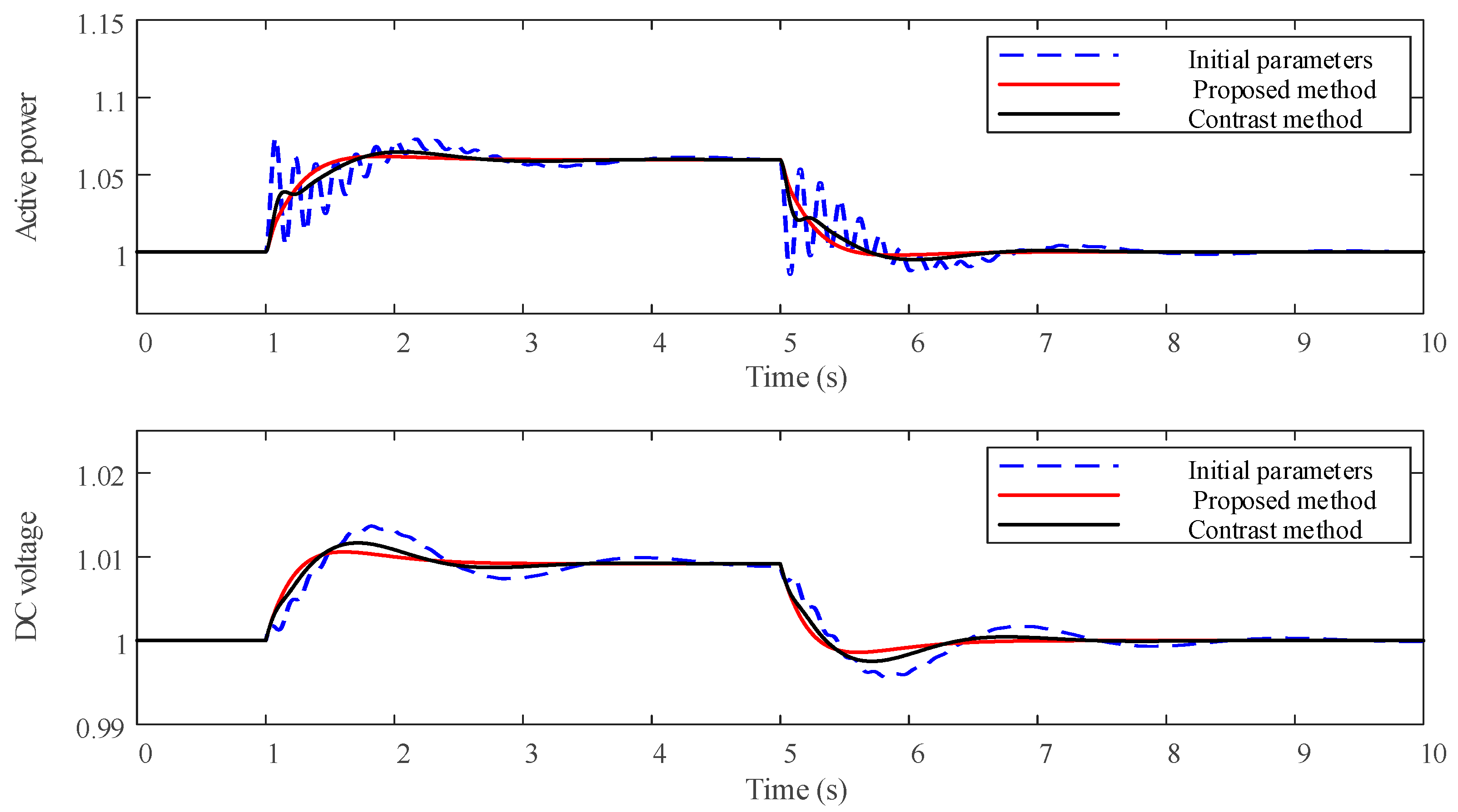
4. Simulation and Results
5. Conclusions
Author Contributions
Funding
Acknowledgments
Conflicts of Interest
References
- Foresi, J.; Babej, A.; Han, R.; Liao, T.; Wang, C.; King, D.L. Suncore’s CPV power plant deployment in western China. In Proceedings of the 2014 IEEE 40th Photovoltaic Specialists Conference, Denver, CO, USA, 8–13 June 2014; pp. 3282–3286. [Google Scholar]
- Wang, D.; Yuan, X.; Zhao, M.; Qian, Y. Impact of large-scale photovoltaic generation integration structure on static voltage stability in China’s Qinghai province network. J. Eng. 2017, 2017, 671–675. [Google Scholar] [CrossRef]
- Tamimi, B.; Canizares, C.A.; Bhattacharya, K. System Stability Impact of Large-Scale and Distributed Solar Photovoltaic Generation: The Case of Ontario, Canada. IEEE Trans. Sustain. Energy 2013, 4, 680–688. [Google Scholar] [CrossRef]
- Maslo, K. Impact of Photovoltaics on Frequency Stability of Power System During Solar Eclipse. IEEE Trans. Power Syst. 2016, 31, 3648–3655. [Google Scholar] [CrossRef]
- Sinder, R.L.; Assis, T.M.L.; Taranto, G.N. Impact of photovoltaic systems on voltage stability in islanded distribution networks. J. Eng. 2019, 2019, 5023–5027. [Google Scholar] [CrossRef]
- Nguyen, N.; Mitra, J. An Analysis of the Effects and Dependency of Wind Power Penetration on System Frequency Regulation. IEEE Trans. Sustain. Energy 2016, 7, 354–363. [Google Scholar] [CrossRef]
- Bevrani, H.; Ghosh, A.; Ledwich, G. Renewable energy sources and frequency regulation: Survey and new perspectives. IET Renew. Power Gener. 2010, 4, 438–457. [Google Scholar] [CrossRef]
- David, N.; Wang, Z. Physical rotor inertia of DFIG wind turbines for short-term frequency regulation in low-inertia grids. In Proceedings of the 2017 IEEE Power & Energy Society General Meeting, Chicago, IL, USA, 16–20 July 2017. [Google Scholar]
- Zhong, Q.; Weiss, G. Synchronverters: Inverters That Mimic Synchronous Generators. IEEE Trans. Ind. Electron. 2011, 58, 1259–1267. [Google Scholar] [CrossRef]
- Beck, H.P.; Hesse, R. In Virtual synchronous machine. In Proceedings of the 2007 9th International Conference on Electrical Power Quality and Utilisation, Barcelona, Spain, 9–11 October 2007; pp. 1–6. [Google Scholar]
- Bevrani, H.; Ise, T.; Miura, Y. Virtual synchronous generators: A survey and new perspectives. Int. J. Electr. Power Energy Syst. 2014, 54, 244–254. [Google Scholar] [CrossRef]
- Zhong, Q.; Nguyen, P.; Ma, Z.; Sheng, W. Self-Synchronized Synchronverters: Inverters Without a Dedicated Synchronization Unit. IEEE Trans. Power Electron. 2014, 29, 617–630. [Google Scholar] [CrossRef]
- Driesen, J.; Visscher, K. Virtual synchronous generators. In Proceedings of the 2008 IEEE Power and Energy Society General Meeting-Conversion and Delivery of Electrical Energy in the 21st Century, Pittsburgh, PA, USA, 20–24 July 2008. [Google Scholar]
- Hirase, Y.; Abe, K.; Sugimoto, K.; Shindo, Y. Energy, A Grid Connected Inverter with Virtual Synchronous Generator Model of Algebraic Type. IEEJ Trans. Power Energy 2012, 132, 371–380. [Google Scholar] [CrossRef]
- Mahmud, M.A.; Pota, H.R.; Hossain, M.J. Dynamic Stability of Three-Phase Grid-Connected Photovoltaic System Using Zero Dynamic Design Approach. IEEE J. Photovolt. 2012, 2, 564–571. [Google Scholar] [CrossRef]
- Eftekharnejad, S.; Vittal, V.; Heydt, G.T.; Keel, B.; Loehr, J. Small Signal Stability Assessment of Power Systems with Increased Penetration of Photovoltaic Generation: A Case Study. IEEE Trans. Sustain. Energy 2013, 4, 960–967. [Google Scholar] [CrossRef]
- Li, C. Unstable Operation of Photovoltaic Inverter from Field Experiences. IEEE Trans. Power Deliv. 2018, 33, 1013–1015. [Google Scholar] [CrossRef]
- Yang, L.; Gan, J.; Xia, C.; Hu, Z.; Gao, B.; Qu, L. Research on the Frequency Regulation Strategy of Virtual Synchronous Generator Based Photovoltaic Power Plant. In Proceedings of the 2018 IEEE 8th International Conference on Cyber Technology in Automation Control and Intelligent Systems, Tianjin, China, 19–23 July 2018. [Google Scholar]
- Guo, Y.; Chen, L.; Li, K.; Zheng, T.; Mei, S. A novel control strategy for stand-alone Photovoltaic system based on Virtual Synchronous Generator. In Proceedings of the 2016 IEEE Power and Energy Society General Meeting, Boston, MA, USA, 17–21 July 2016; pp. 1–5. [Google Scholar]
- Mao, M.; Cheng, Q.; Yong, D. Applications, Decentralized Coordination Power Control for Islanding Microgrid Based on PV/BES-VSG. CPSS Trans. Power Electron. 2018, 3, 14–24. [Google Scholar]
- Yu, Y.; Hu, X. Active Disturbance Rejection Control Strategy for Grid-Connected Photovoltaic Inverter Based on Virtual Synchronous Generator. IEEE Access 2019, 7, 17328–17336. [Google Scholar] [CrossRef]
- Mei, S.; Zheng, T.; Chen, L.; Li, C.; Si, Y.; Guo, Y. A comprehensive consensus-based distributed control strategy for grid-connected PV-VSG. In Proceedings of the 2016 35th Chinese Control Conference, Chengdu, China, 27–29 July 2016; pp. 10029–10034. [Google Scholar]
- Du, W.; Fu, Q.; Wang, H. Power System Small-Signal Angular Stability Affected by Virtual Synchronous Generators. IEEE Trans. Power Syst. 2019, 34, 3209–3219. [Google Scholar] [CrossRef]
- Li, Z.; Jia, X. An Improved VSG Control Strategy Based on the Amplitude-frequency Characteristics of Virtual Power. IEEE Access 2019, 7, 101096–101105. [Google Scholar] [CrossRef]
- Wu, H.; Ruan, X.; Yang, D.; Chen, X.; Zhao, W.; Lv, Z.; Zhong, Q. Small-Signal Modeling and Parameters Design for Virtual Synchronous Generators. IEEE Trans. Ind. Electron. 2016, 63, 4292–4303. [Google Scholar] [CrossRef]









| Parameter | Values | Parameter | Values |
|---|---|---|---|
| UB/kV | 10.5 | Battery serial number | 22 |
| SB/MVA | 5000 | Battery parallel number | 16 |
| Im0/A | 49.5 | J/pu | 1 |
| Um0/V | 283.2 | D/pu | 2 |
| Isc0/A | 52.9 | Dq/pu | 10 |
| Usc0/V | 353.6 | K/pu | 0.02 |
| Cdc/pu | 1 | Kpv | 1 |
| Xf/pu | 0.2 | Kiv/s | 10 |
| Xg/pu | 0.2 | Vref/pu | 1.05 |
| Mode | Eigenvalue | Frequency/Hz | Damping Ratio |
|---|---|---|---|
| λ1 | −413.08 | 0 | 1 |
| λ2,3 | −0.50286 ± 28.645i | 4.5589 | 0.017552 |
| λ4,5 | −0.37825 ± 3.1616i | 0.50318 | 0.11879 |
| Parameter | ||||||
|---|---|---|---|---|---|---|
| Value | 20.02485 | 0.32767 | 0.36674 | 0.06198 | 5.73908 | 9.55272 |
| Frequency/Hz | Damping Ratio | |
|---|---|---|
| Initial parameters | 0 | 1 |
| 4.55891 | 0.017552 | |
| 0.50318 | 0.11879 | |
| Optimized parameters | 0 | 1 |
| 6.27238 | 0.73046 | |
| 0.20751 | 0.9282 |
© 2020 by the authors. Licensee MDPI, Basel, Switzerland. This article is an open access article distributed under the terms and conditions of the Creative Commons Attribution (CC BY) license (http://creativecommons.org/licenses/by/4.0/).
Share and Cite
Deng, J.; Xia, N.; Yin, J.; Jin, J.; Peng, S.; Wang, T. Small-Signal Modeling and Parameter Optimization Design for Photovoltaic Virtual Synchronous Generator. Energies 2020, 13, 398. https://doi.org/10.3390/en13020398
Deng J, Xia N, Yin J, Jin J, Peng S, Wang T. Small-Signal Modeling and Parameter Optimization Design for Photovoltaic Virtual Synchronous Generator. Energies. 2020; 13(2):398. https://doi.org/10.3390/en13020398
Chicago/Turabian StyleDeng, Jun, Nan Xia, Jungang Yin, Jiliang Jin, Shutao Peng, and Tong Wang. 2020. "Small-Signal Modeling and Parameter Optimization Design for Photovoltaic Virtual Synchronous Generator" Energies 13, no. 2: 398. https://doi.org/10.3390/en13020398
APA StyleDeng, J., Xia, N., Yin, J., Jin, J., Peng, S., & Wang, T. (2020). Small-Signal Modeling and Parameter Optimization Design for Photovoltaic Virtual Synchronous Generator. Energies, 13(2), 398. https://doi.org/10.3390/en13020398

