Analysis of Model Predictive Current-Controlled Permanent Magnet Synchronous Motor Drives with Inaccurate DC Bus Voltage Measurement
Abstract
1. Introduction
2. Studied MPCC-PMSM Drive
- (1)
- The variations of both the electrical rotor position θe and the electrical angular speed ωe of PMSM can be neglected in one sampling period Ts;
- (2)
- The stator inductance Ls, the stator resistance Rs, and the permanent magnet flux ψpm remain unchanged during the entire operation.
2.1. Current Prediction
2.2. Cost Fucntion
3. Effect Analysis
- (1)
- Accurate measurement: ΔuDC = 0;
- (2)
- Under-voltage measurement: ΔuDC < 0;
- (3)
- Over-voltage measurement: ΔuDC > 0;
3.1. Simplification of Cost Function
3.2. Under-Voltage Measurement
3.3. Over-Voltage Measurement
3.4. Reliability Analysis
3.5. Effects of Sampling Period
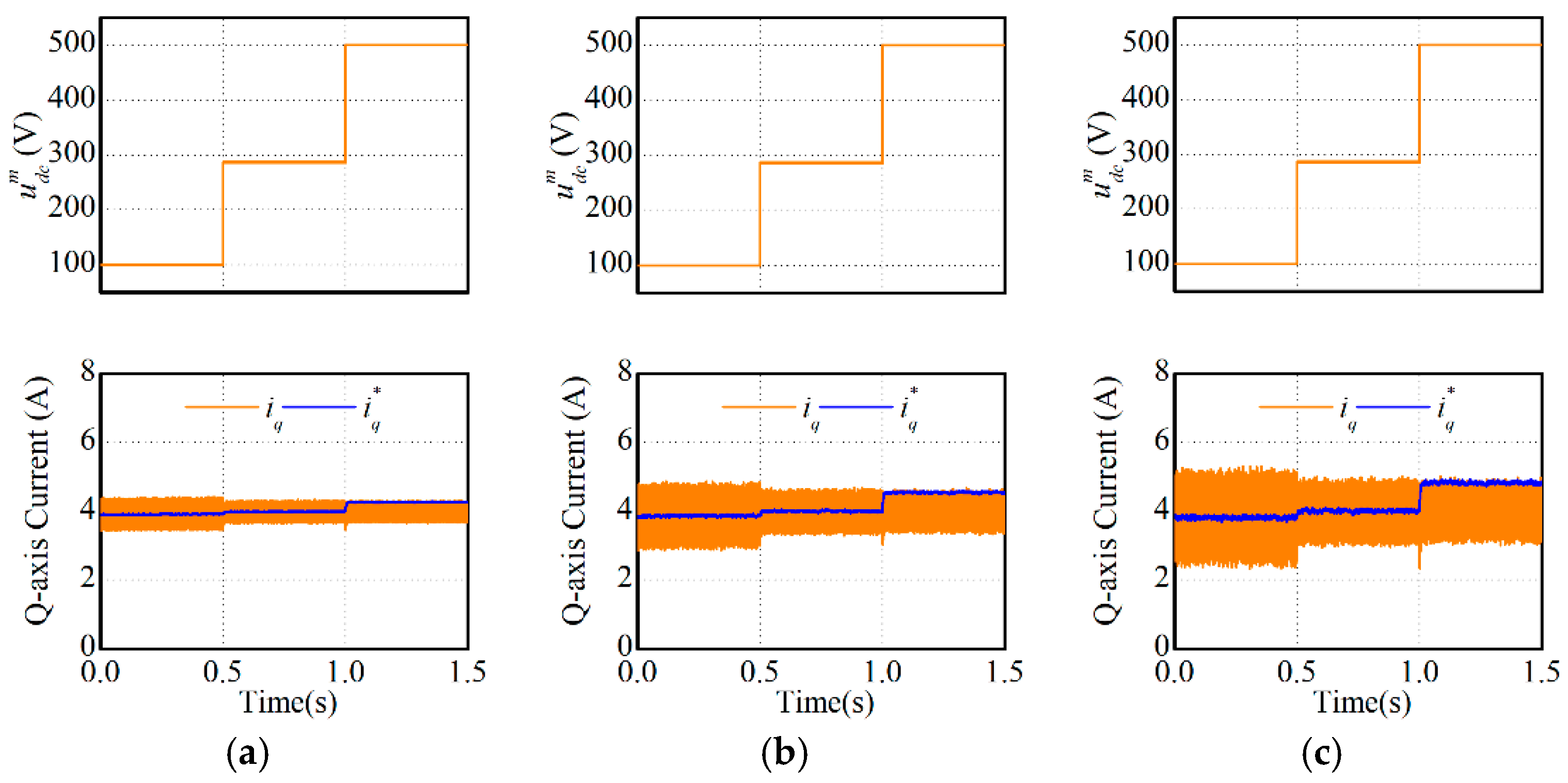
4. Experimental Validation
4.1. Steady-State Operation
4.2. Toruqe Response
4.3. Speed Response
5. Conclusions
- (1)
- With the under-voltage measurement, the actual q axis current is always larger than the reference one, and the MPCC-PMSM drive may be damaged by the over-current phenomenon.
- (2)
- With the over-voltage measurement, the actual q axis current is always smaller than the reference one, and the normal torque capacity cannot be utilized.
Author Contributions
Funding
Conflicts of Interest
References
- Cheng, M.; Hua, W.; Zhang, J.; Zhao, W. Overview of stator-permanent magnet brushless machines. IEEE Trans. Ind. Electron. 2011, 58, 5087–5101. [Google Scholar] [CrossRef]
- Chaoui, H.; Khayamy, M.; Okoye, O.; Gualous, H. Simplified speed control of permanent magnet synchronous motors using genetic algorithms. IEEE Trans. Power Electron. 2019, 34, 3563–3574. [Google Scholar] [CrossRef]
- Lu, H.; Li, J.; Qu, R.; Ye, D.; Lu, Y. Fault-tolerant predictive control of six-phase PMSM drives based on pulsewidth modulation. IEEE Trans. Ind. Electron. 2019, 66, 4992–5003. [Google Scholar] [CrossRef]
- Feng, G.; Lai, C.; Kar, N. A closed-loop fuzzy logic based current controller for PMSM torque ripple minimization using the magnitude of speed harmonic as the feedback control signal. IEEE Trans. Ind. Electron. 2017, 64, 2642–2653. [Google Scholar] [CrossRef]
- Wang, W.; Feng, Y.; Shi, Y.; Cheng, M.; Hua, W. Direct thrust force control of primary permanent-magnet linear motors with single DC-link current sensor for subway applications. IEEE Trans. Power Electron. 2020, 35, 1365–1376. [Google Scholar] [CrossRef]
- Pulvirenti, M.; Scarcella, G.; Scelba, G.; Testa, A.; Harbaugh, M. On-line stator resistance and permanent magnet flux linkage identification on open-end winding PMSM drives. IEEE Trans. Ind. Appl. 2019, 55, 504–515. [Google Scholar] [CrossRef]
- Yamazaki, K.; Togashi, Y.; Ikemi, T.; Ohki, S.; Mizokami, R. Reduction of inverter carrier harmonic losses in interior permanent magnet synchronous motors by optimizing rotor and stator shapes. IEEE Trans. Ind. Appl. 2019, 55, 306–315. [Google Scholar] [CrossRef]
- Wang, W.; Feng, Y.; Shi, Y.; Cheng, M.; Hua, W.; Wang, Z. Fault-tolerant control of primary permanent-magnet linear motors with single phase current sensor for subway applications. IEEE Trans. Power Electron. 2019, 34, 10546–10556. [Google Scholar] [CrossRef]
- Yan, L.; Dou, M.; Hua, Z.; Zhang, H.; Yang, J. Robustness improvement of FCS-MPTC for induction machine drives using disturbance feedforward compensation technique. IEEE Trans. Power Electron. 2019, 34, 2874–2886. [Google Scholar] [CrossRef]
- Sun, T.; Wang, J.; Griffo, A.; Sen, B. Active thermal management for interior permanent magnet synchronous machine (IPMSM) drives based on model predictive control. IEEE Trans. Ind. Appl. 2018, 54, 4506–4514. [Google Scholar] [CrossRef]
- Wang, W.; Lu, Z.; Hua, W.; Wang, Z.; Cheng, M. Simplified model predictive current control of primary permanent-magnet linear motor traction systems for subway applications. Energies 2019, 12, 4144. [Google Scholar] [CrossRef]
- Ram’ırez, R.; Espinoza, J.; Villarroel, F.; Maurelia, E. A novel hybrid finite control set model predictive control scheme with reduced switching. IEEE Trans. Ind. Electron. 2014, 61, 5912–5920. [Google Scholar] [CrossRef]
- Nguyen, H.; Jung, J. Finite control set model predictive control to guarantee stability and robustness for surface-mounted PM synchronous motors. IEEE Trans. Ind. Electron. 2018, 65, 8510–8519. [Google Scholar] [CrossRef]
- Nguyen, H.; Jung, J. Asymptotic stability constraints for direct horizon-one model predictive control of SPMSM drives. IEEE Trans. Power Electron. 2018, 33, 8213–8219. [Google Scholar] [CrossRef]
- Wang, W.; Zhang, J.; Cheng, M. Common model predictive control for permanent-magnet synchronous machine drives considering single-phase open-circuit fault. IEEE Trans. Power Electron. 2017, 32, 5862–5872. [Google Scholar] [CrossRef]
- Lim, C.; Rahim, N.; Hew, W.; Levi, E. Model predictive control of a two-motor drive with five-leg-inverter supply. IEEE Trans. Power Electron. 2013, 60, 54–65. [Google Scholar] [CrossRef]
- Wang, W.; Zhang, J.; Cheng, M.; Cao, R. Direct torque control of five-leg dual-PMSM drive systems for fault-tolerant purposes. J. Power Electron. 2017, 17, 161–171. [Google Scholar] [CrossRef]
- Wang, W.; Zhang, J.; Cheng, M. A dual-level hysteresis current control for one five-leg VSI to control two PMSMs. IEEE Trans. Power Electron. 2017, 32, 804–814. [Google Scholar] [CrossRef]
- Lim, C.; Levi, E.; Jones, M.; Rahim, N.; Hew, W. FCS-MPC-based current control of a five-phase induction motor and its comparison with PI-PWM control. IEEE Trans. Ind. Electron. 2014, 61, 149–163. [Google Scholar] [CrossRef]
- Lin-Shi, X.; Morel, F.; Llor, A.; Allard, B.; Retif, J. Implementation of hybrid control for motor drives. IEEE Trans. Ind. Electron. 2007, 54, 1946–1952. [Google Scholar] [CrossRef]
- Nyanteh, Y.; Edringtob, C.; Sricastava, S.; Cartes, D. Application of artificial intelligence to real-time fault detection in permanent-magnet synchronous machines. IEEE Trans. Ind. Appl. 2013, 49, 1205–1214. [Google Scholar] [CrossRef]
- Guo, Y.; Si, J.; Gao, C.; Feng, H.; Gan, C. Improved fuzzy-based Taguchi method for multi-objective optimization of direct-drive permanent magnet synchronous motors. IEEE Trans. Magn. 2019, 55, 1–4. [Google Scholar] [CrossRef]
- Soualhi, A.; Clerc, G.; Razik, H. Detection and diagnosis of faults in induction motor using an improved artificial ant clustering technique. IEEE Trans. Ind. Electron. 2013, 60, 4053–4062. [Google Scholar] [CrossRef]
- Zhang, X.; Zhang, L.; Zhang, Y. Model predictive current control for PMSM drives with parameter robustness improvement. IEEE Trans. Power Electron. 2019, 34, 1645–1657. [Google Scholar] [CrossRef]
- Zhou, Z.; Xia, C.; Yan, Y.; Wang, Z.; Shi, T. Torque ripple minimization of predictive torque control for PMSM with extended control set. IEEE Trans. Ind. Electron. 2017, 64, 6930–6939. [Google Scholar] [CrossRef]
- Zhang, C.; Wu, G.; Rong, F.; Feng, J.; Jia, L.; He, J.; Huang, S. Robust fault-tolerant predictive current control for permanent magnet synchronous motors considering demagnetization fault. IEEE Trans. Ind. Electron. 2018, 65, 5324–5334. [Google Scholar] [CrossRef]
- Karamanakos, P.; Geyer, T. Model predictive torque and flux control minimizing current distortions. IEEE Trans. Power Electron. 2019, 34, 2007–2012. [Google Scholar] [CrossRef]
- Zhang, K.; Jiang, B.; Yan, X.; Mao, Z. Incipient voltage sensor fault isolation for rectifier in railway electrical traction systems. IEEE Trans. Ind. Electron. 2017, 64, 6763–6774. [Google Scholar] [CrossRef]
- Wu, C.; Guo, C.; Xie, Z.; Ni, F.; Liu, H. A signal-based fault detection and tolerance control method of current sensor for PMSM drive. IEEE Trans. Ind. Electron. 2018, 65, 9646–9657. [Google Scholar] [CrossRef]
- Trinh, Q.; Wang, P.; Tang, Y. Compensation of DC offset and scaling errors in voltage and current measurements of three-phase AC/DC converters. IEEE Trans. Power Electron. 2018, 33, 5401–5414. [Google Scholar] [CrossRef]
- Trinh, Q.; Choo, F.; Tang, Y.; Wang, P. Control Strategy to Compensate for Current and Voltage Measurement Errors in Three-Phase PWM Rectifiers. IEEE Trans. Ind. Appl. 2019, 55, 2879–2889. [Google Scholar] [CrossRef]
- Dong, L.; Jatskevich, J.; Huang, Y.; Chapariha, M.; Liu, J. Fault diagnosis and signal reconstruction of hall sensors in brushless permanent magnet motor drives. IEEE Trans. Energy Convers. 2016, 31, 118–131. [Google Scholar] [CrossRef]
- Chakraborty, C.; Verma, V. Speed and current sensor fault detection and isolation technique for induction motor drive using axes transformation. IEEE Trans. Ind. Electron. 2015, 62, 1943–1954. [Google Scholar] [CrossRef]
- Scelba, G.; De Donato, G.; Pulvirenti, M.; Capponi, F.; Scarcella, G. Hall-effect sensor fault detection, identification, and compensation in brushless DC drives. IEEE Trans. Ind. Appl. 2016, 52, 1542–1554. [Google Scholar] [CrossRef]
- Diao, S.; Diallo, D.; Laboure, E. A nonlinear observer for DC bus voltage estimation and sensor diagnosis for a battery charger used in automotive systems. In Proceedings of the 2015 IEEE 24th International Symposium on Industrial Electronics (ISIE), Buzios, Brazil, 3–5 June 2015; pp. 438–443. [Google Scholar]
- Najafabadi, T.; Salmasi, F.; Jabehdar-Maralani, P. Detection and isolation of speed-, DC-link voltage-, and current-sensor faults based on an adaptive observer in induction-motor drives. IEEE Trans. Ind. Electron. 2011, 58, 1662–1672. [Google Scholar] [CrossRef]
- Kommuri, S.; Lee, S.; Veluvolu, K. Robust sensors-fault tolerance with sliding mode estimation and control for PMSM drives. IEEE/ASME Trans. Mechatron. 2018, 23, 17–28. [Google Scholar] [CrossRef]
- Salmasi, F.; Najafabadi, T.; Maralani, J. An adaptive flux observer with online estimation of DC-link voltage and rotor resistance for VSI-based induction motors. IEEE Trans. Power Electron. 2010, 25, 1310–1319. [Google Scholar] [CrossRef]
- Beng, G.; Zhang, X.; Vilathgamuwa, D. Sensor fault-Resilient control of interior permanent-magnet synchronous motor drives. IEEE/ASME Trans. Mechatron. 2015, 20, 855–864. [Google Scholar] [CrossRef]
- Teng, Q.; Tian, J.; Duan, J.; Cui, H.; Zhu, J.; Guo, Y. Sliding-mode MRA observer-based model predictive current control for PMSM drive system with DC-link voltage sensorless. In Proceedings of the 2017 20th International Conference on Electrical Machines and Systems (ICEMS), Sydney, Australia, 11–14 August 2017; pp. 1–6. [Google Scholar]













| SV | U0 | U1 | U2 | U3 | U4 | U5 | U6 | U7 |
|---|---|---|---|---|---|---|---|---|
| sa sb sc | 000 | 100 | 110 | 010 | 011 | 001 | 101 | 111 |
| SV | uα + juβ |
|---|---|
| U0 | 0 |
| U1 | 2/3 uDC |
| U2 | (1/3 + j/3) uDC |
| U3 | (−1/3 + j/3) uDC |
| U4 | −2/3 uDC |
| U5 | (−1/3 − j/3) uDC |
| U6 | (1/3 − j/3) uDC |
| U7 | 0 |
| Parameter | Value |
|---|---|
| Rated phase current | 10 A |
| Stator resistance Rs | 0.65 Ω |
| Stator inductance Ls | 7.9 mH |
| Permanent magnet flux ψPM | 0.41 Wb |
| Number of pole pairs Pn | 4 |
© 2020 by the authors. Licensee MDPI, Basel, Switzerland. This article is an open access article distributed under the terms and conditions of the Creative Commons Attribution (CC BY) license (http://creativecommons.org/licenses/by/4.0/).
Share and Cite
Wang, W.; Lu, Z. Analysis of Model Predictive Current-Controlled Permanent Magnet Synchronous Motor Drives with Inaccurate DC Bus Voltage Measurement. Energies 2020, 13, 353. https://doi.org/10.3390/en13020353
Wang W, Lu Z. Analysis of Model Predictive Current-Controlled Permanent Magnet Synchronous Motor Drives with Inaccurate DC Bus Voltage Measurement. Energies. 2020; 13(2):353. https://doi.org/10.3390/en13020353
Chicago/Turabian StyleWang, Wei, and Zhixiang Lu. 2020. "Analysis of Model Predictive Current-Controlled Permanent Magnet Synchronous Motor Drives with Inaccurate DC Bus Voltage Measurement" Energies 13, no. 2: 353. https://doi.org/10.3390/en13020353
APA StyleWang, W., & Lu, Z. (2020). Analysis of Model Predictive Current-Controlled Permanent Magnet Synchronous Motor Drives with Inaccurate DC Bus Voltage Measurement. Energies, 13(2), 353. https://doi.org/10.3390/en13020353

