Analysis and Implementation of Inverter Wide-Range Soft Switching in WPT System Based on Class E Inverter
Abstract
1. Introduction
2. Analysis of the Operating Characteristics of the System
2.1. Parameter Design Method of the Class E Inverter
- (1)
- (2)
- The choke is purely inductive, the inductance value is sufficiently large, the input current is approximately constant DC, no ripple.
- (3)
- The parasitic capacitance of the switch is linear and incorporated into the parallel capacitance.
- (4)
- The time required for the switch turn ON and OFF is idealized to zero, and the conduction impedance is ignored.
- (5)
- The quality factor Q of the series resonant circuit is large enough, and the output waveform is approximately ideal sinusoidal.
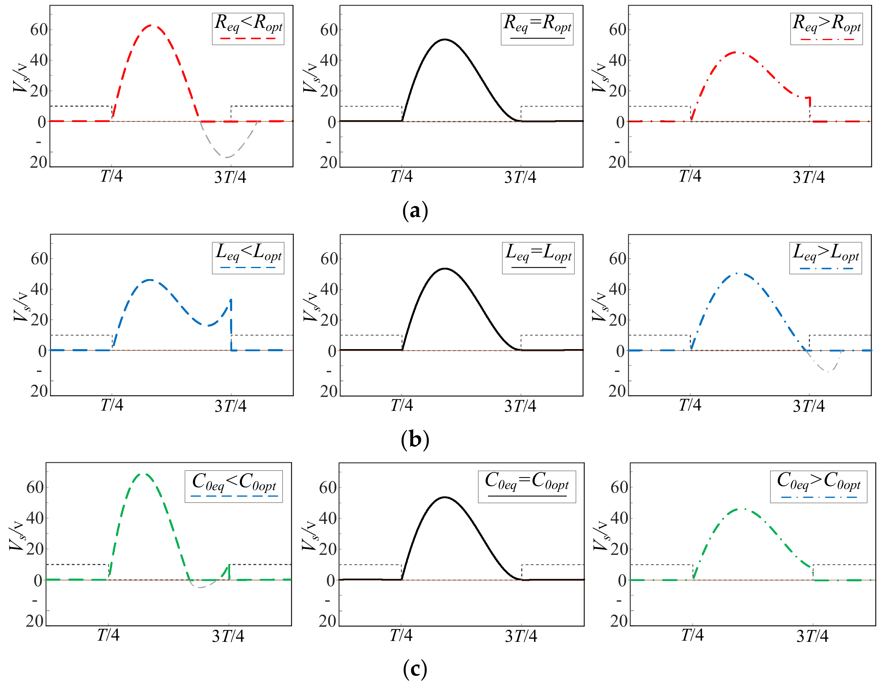
2.2. Influence of Inverter Side Parameters on the Soft-Switching Waveform
2.3. Effect of the Coupling Coefficient on Load Characteristics
3. Design and Analysis of the Self/Mutual Inductance Adjusting Coil
3.1. Influence of Self/Mutual Inductance Change on Load Characteristics
- (1)
- When Req is too large, the soft-switching margin can be increased by adjusting C0 and L1.
- (2)
- Similarly, when the switch is in the hard-switching state, reducing the coupling coefficient k between the source coils of the WPT system can reduce the Req and achieve the soft switching.
- (1)
- The direction of the magnetic field of the adjusted coil is reversed, and the coupling coefficient k changes accordingly.
- (2)
- Due to the change of the magnetic field direction of the coil, the self-inductance L1 of the transmitting coil is affected by the change of the self-inductance between the sub-coils.
3.2. Analysis of the Multi-Coil Series Theory Model
3.3. Actual Coil Design
4. Simulation and Experimental Results
5. Conclusions
Supplementary Materials
Author Contributions
Funding
Conflicts of Interest
References
- Liping, L.; Jian, Z.; Qi, W.; Zhao, Y.; Yizhe, W.; Ying, L. Theoretical calculation and evaluation of the line losses on UHV AC demonstration project. In Proceedings of the 2015 IEEE International Conference on Cyber Technology in Automation, Control, and Intelligent Systems (CYBER), Institute of Electrical and Electronics Engineers (IEEE), Shenyang, China, 8–12 June 2015; pp. 1299–1303. [Google Scholar]
- Fan, Y.; Jun, L.; Bingbing, L. Design and application of integrated distribution network line loss analysis system. In Proceedings of the 2016 China International Conference on Electricity Distribution (CICED), Xi’an, China, 10–13 August 2016; pp. 1–4. [Google Scholar]
- Chen, B.; Xiang, K.; Yang, L.; Su, Q.; Huang, D.; Huang, T. Theoretical Line Loss Calculation of Distribution Network Based on the Integrated Electricity and Line Loss Management System. In Proceedings of the 2018 China International Conference on Electricity Distribution (CICED), Xi’an, China, 17–19 September 2018; pp. 2531–2535. [Google Scholar]
- Ni, L.; Yao, L.; Wang, Z.; Zhang, J.; Yuan, J.; Zhou, Y. A Review of Line Loss Analysis of the Low-Voltage Distribution System. In Proceedings of the 2019 IEEE 3rd International Conference on Circuits, Systems and Devices (ICCSD), Chengdu, China, 23–25 August 2019; pp. 111–114. [Google Scholar]
- Wei, X.; Wang, Z.; Dai, H.; Duong, T.P.; Lee, J.-W.; Nair, V.V.; Choi, J.R.; Jiang, C.; Chau, K.T.; Liu, C.; et al. A Critical Review of Wireless Power Transfer via Strongly Coupled Magnetic Resonances. Energies 2014, 7, 4316–4341. [Google Scholar] [CrossRef]
- Duong, T.P.; Lee, J.-W. A Dynamically Adaptable Impedance-Matching System for Midrange Wireless Power Transfer with Misalignment. Energies 2015, 8, 7593–7617. [Google Scholar] [CrossRef]
- Jiang, C.-Q.; Chau, K.-T.; Liu, C.; Lee, C.H.T. An Overview of Resonant Circuits for Wireless Power Transfer. Energies 2017, 10, 894. [Google Scholar] [CrossRef]
- Nair, V.V.; Choi, J.R. An Efficiency Enhancement Technique for a Wireless Power Transmission System Based on a Multiple Coil Switching Technique. Energies 2016, 9, 156. [Google Scholar] [CrossRef]
- Liu, C.; Hu, A.P.; Nair, N.-K.C. Modelling and analysis of a capacitively coupled contactless power transfer system. IET Power Electron. 2011, 4, 808. [Google Scholar] [CrossRef]
- Whittingham, M.S. History, evolution, and future status of energy storage. Proc. IEEE 2012, 100, 1518–1534. [Google Scholar] [CrossRef]
- Chen, J. Recent progress in advanced materials for lithium ion batteries. Materials 2013, 6, 156–183. [Google Scholar] [CrossRef] [PubMed]
- Chen, J.; Thangadurai, V. Frontiers of energy storage and conversion. Inorganics 2014, 2, 537–539. [Google Scholar] [CrossRef]
- Fu, M.; Yin, H.; Liu, M.; Ma, C. Loading and Power Control for a High-Efficiency Class E PA-Driven Megahertz WPT System. IEEE Trans. Ind. Electron. 2016, 63, 6867–6876. [Google Scholar] [CrossRef]
- Liu, M.; Fu, M.; Ma, C. Parameter Design for a 6.78-MHz Wireless Power Transfer System Based on Analytical Derivation of Class E Current-Driven Rectifier. IEEE Trans. Power Electron. 2015, 31, 4280–4291. [Google Scholar] [CrossRef]
- Yeh, C.; Lin, Y.; Kuo, C.; Huang, C.; Xie, C.; Lu, S.; Yang, W.; Chen, K.; Liu, K.; Lin, Y. A 70 W and 90% GaN-based class-E wireless-power-transfer system with automatic-matching-point-search control for zero-voltage switching and zero-voltage-derivative switching. In Proceedings of the 2018 IEEE International Solid—State Circuits Conference—(ISSCC), San Francisco, CA, USA, 11–15 February 2018; pp. 138–140. [Google Scholar]
- Kazimierczuk, M.; Bui, X. Class E DC/DC converters with an inductive impedance inverter. IEEE Trans. Power Electron. 1989, 4, 124–135. [Google Scholar] [CrossRef]
- Huang, X.; Chen, W. WPT topology scheme with dual parallel-circuit class E inverters and integrated inductor. In Proceedings of the 2014 International Power Electronics and Application Conference and Exposition, Shanghai, China, 5–8 November 2014; pp. 635–638. [Google Scholar]
- Aldhaher, S.; Luk, P.C.-K.; Whidborne, J.F. Tuning Class E Inverters Applied in Inductive Links Using Saturable Reactors. IEEE Trans. Power Electron. 2013, 29, 2969–2978. [Google Scholar] [CrossRef]
- Ayachit, A.; Corti, F.; Reatti, A.; Kazimierczuk, M.K. Zero-Voltage Switching Operation of Transformer Class-E Inverter at Any Coupling Coefficient. IEEE Trans. Ind. Electron. 2018, 66, 1809–1819. [Google Scholar] [CrossRef]
- Aldhaher, S.; Yates, D.C.; Mitcheson, P.D. Load-Independent Class E/EF Inverters and Rectifiers for MHz-Switching Applications. IEEE Trans. Power Electron. 2018, 33, 8270–8287. [Google Scholar] [CrossRef]
- Roslaniec, L.; Jurkov, A.; Al Bastami, A.; Perreault, D.J. Design of Single-Switch Inverters for Variable Resistance/Load Modulation Operation. IEEE Trans. Power Electron. 2014, 30, 3200–3214. [Google Scholar] [CrossRef]
- Suetsugu, T.; Kazimierczuk, M. Design procedure of class-E amplifier for off-nominal operation at 50% duty ratio. IEEE Trans. Circuits Syst. I: Regul. Pap. 2006, 53, 1468–1476. [Google Scholar] [CrossRef]















| Parameter | Udc | C0 | L1 | C1 | LX |
|---|---|---|---|---|---|
| Equation |
| Mode | A | B | ΔM |
|---|---|---|---|
| 1 | S1-S8 | ||
| 2 | S1-S8 | ||
| 3 | S5-S8 | S1-S4 | |
| 4 | S1-S4 | S5-S8 |
| Modes | Effective Coupling Coefficient | Equivalent Load | Compensation Range |
|---|---|---|---|
| Mode 2 | 0.78k | 0.61Req | 2.5Ropt < Req < 3.3Ropt |
| Mode 3 | 0.90k | 0.81Req | Ropt < Req < 1.8Ropt |
| Mode 4 | 0.81k | 0.66Req | 1.8Ropt < 2.5Ropt |
| Parameter/Unit | Value | Parameter/Unit | Value |
|---|---|---|---|
| Udc/V | 15 | LD/μH | 71.68 |
| f/kHz | 100 | r1,r2/Ω | 0.47/0.21 |
| C0/nF | 29.30 | C1/nF | 17.30 |
| C01/nF | 20.13 | L2/μH | 8.415 |
| LA/μH | 95.60 | C2/nF | 301.1 |
| LB/μH | 9.56 | Ropt/Ω | 10 |
| LC/μH | 4.78 | Rload/Ω | 5.017 |
| Type | Reference [16] | Reference [17] | Proposed Self/Mutual inductance Compensation Method |
|---|---|---|---|
| Effect | Compatibility range of load network parameter deviation has been improved | ||
| Method | Reduce loaded quality factor and magnetic integration | Add saturated reactor | Self/mutual inductance compensation of transmitting coil |
| Control parameters | None | Reactance value of saturated reactor | Resonant inductance L1 and coupling coefficient k |
| Pros and cons | 1. Complex circuit structure 2. High cost 3. No need to control | 1. Complex circuit structure 2. Need for additional devices and controls | 1. Simple circuit structure 2. No need for additional compensation components 3. Simple control |
© 2020 by the authors. Licensee MDPI, Basel, Switzerland. This article is an open access article distributed under the terms and conditions of the Creative Commons Attribution (CC BY) license (http://creativecommons.org/licenses/by/4.0/).
Share and Cite
Zhang, S.; Zhao, J.; Wu, Y.; Mao, L.; Xu, J.; Chen, J. Analysis and Implementation of Inverter Wide-Range Soft Switching in WPT System Based on Class E Inverter. Energies 2020, 13, 5187. https://doi.org/10.3390/en13195187
Zhang S, Zhao J, Wu Y, Mao L, Xu J, Chen J. Analysis and Implementation of Inverter Wide-Range Soft Switching in WPT System Based on Class E Inverter. Energies. 2020; 13(19):5187. https://doi.org/10.3390/en13195187
Chicago/Turabian StyleZhang, Shaoteng, Jinbin Zhao, Yuebao Wu, Ling Mao, Jiongyuan Xu, and Jiajun Chen. 2020. "Analysis and Implementation of Inverter Wide-Range Soft Switching in WPT System Based on Class E Inverter" Energies 13, no. 19: 5187. https://doi.org/10.3390/en13195187
APA StyleZhang, S., Zhao, J., Wu, Y., Mao, L., Xu, J., & Chen, J. (2020). Analysis and Implementation of Inverter Wide-Range Soft Switching in WPT System Based on Class E Inverter. Energies, 13(19), 5187. https://doi.org/10.3390/en13195187

