Abstract
Polymeric surfactant flooding is an effective method to improve oil recovery, and the stability of the emulsion is closely related to the effect of surfactant flooding. The preparation method for a surfactant-stabilized emulsion is relatively simple, and the emulsion produced by the existing device cannot simulate the real formation conditions. To better simulate the emulsification of polymeric surfactant during formation and to study the influencing factors of emulsion stability, a new sieve plate rotary emulsification device was used to prepare emulsions instead of the traditional high-speed shear emulsifier, and the stability of emulsions prepared by different methods was compared. The parameters of the device were optimized by determining the water content, particle size, and Turbiscan Stability Index TSI (stability parameter) of the emulsion. The factors affecting the stability of the emulsion were studied by using the optimized experimental device. The results showed that the optimized parameters of the sieve plate rotary emulsification device were 5 sieve plates, diameter of 1 mm, and emulsification time of 60 min. The stability of the emulsion prepared by the new device was better than that of the emulsion prepared by the traditional high-speed stirrer, which can be attributed to the more abundant contact and mix of oil and surfactant solution. Meanwhile, as the polymeric surfactant concentration, salinity, and water–oil ratio increased, the stability of the polymeric surfactant emulsion increased. The results of this study provide a theoretical basis and guidance for better simulation of polymeric surfactant migration and emulsification during formation.
1. Introduction
Polymer and surfactant flooding are commonly applied technologies to enhance oil recovery (EOR) [1,2,3,4,5,6]. However, both of them have certain drawbacks. Generally speaking, polymers can increase the swept volume by increasing the viscosity of the injected fluid, but conventional polymers are not reactive. Although surfactants are active, they are prone to fingering and channeling due to the lack of viscosity-thickening ability. Therefore, the two methods have a limited effect on enhancing oil recovery. In order to improve the EOR technology, polymeric surfactants, which are surfactants with high molecular weight and simultaneously contain a hydrophilic group and a hydrophobic group in their molecular chain, have been developed rapidly [7,8,9,10]. Polymeric surfactants generally have an good thickening ability and properties such as strong shear resistance, salt resistance, and temperature resistance [11,12]. Moreover, the presence of hydrophobic groups contributes to the interfacial tension reduction and good emulsification effect for crude oil [13,14,15,16,17,18]. The emulsification of polymeric surfactant can play an important role in enhancing recovery and can not only improve the washing efficiency but also increase the swept volume due to the Jamin effect of emulsion droplets. Therefore, many studies have been carried out at home and abroad, and this approach is widely used in tertiary oil recovery production [19,20,21,22].
Betaine polymeric surfactant is a new type of polymeric surfactant that was developed based on ionic polymeric surfactant [23,24,25,26,27]. The introduction of betaine-type ionic groups into the comonomer allows the aqueous solution to produce a reverse polyelectrolyte effect. Meanwhile, the association between hydrophobic groups enhances the properties of the solution. Studies have shown that betaine polymeric surfactants are potential oil displacement agents that can be applied to high-salinity oil reservoirs. At present, research on betaine-type polymeric surfactants is still relatively limited compared to research on other types and has mainly focused on the synthesis of new molecules and the study of their solution properties, and less research has focused on the emulsification properties of polymeric surfactants.
The emulsification performance of polymeric surfactants can be affected by various aspects, such as the molecular structure, molecular weight, repeating units, concentration, formation water salinity, and formation temperature. Zhang et al. studied the emulsification characteristics of polymeric surfactant used for chemical flooding on site in the Daqing Oilfield [28]. From the experimental results, it can be seen that as the concentration of polymeric surfactant increases, the stability of the emulsion increases. There are two main reasons why polymeric surfactant can stabilize emulsions. One reason is that the molecules of the polymeric surfactant are active at the oil–water interface and can be adsorbed at the interface to reduce their interfacial tension. Another reason is that polymeric surfactant can form a network structure in aqueous solution to enclose oil droplets, which reduces the chance of collision between oil droplets and prevents their coalescence. Zhu et al. found that the addition of counter electrolyte ions can increase the thickening capability and emulsifying properties of polymeric surfactants [27,29]. Therefore, it is very important to study the factors that affect the emulsifying properties of betaine-type polymeric surfactants.
However, the preparation method for emulsions stabilized by polymeric surfactants is relatively simple in current laboratory experiments. The most commonly used instruments are high-speed stirrers, agitators, and so on. Although these devices are easy to operate, the prepared emulsion has poor homogeneity, and air is easily mixed into the system. Another commonly used instrument is the ultrasonic disperser, but this method results in a low degree of oil–water contact, which leads to poor dispersibility of the emulsion [30,31,32]. In addition, some studies have focused on homogenizers which combine the functions of mechanical agitation and an ultrasound. The emulsions prepared by homogenizers have high dispersion and good homogeneity [33,34]. Yao et al. adopted a new double-spiral belt stirring rotor based on the three-blade paddle stirring rotor. The results showed that under the condition of the same stirring time, the stability of the emulsion produced by the double spiral belt rotor was better than that of the general three-blade stirring rotor and was similar to the performance of the on-site-produced liquid [35]. It can be seen from the above research that the current method of preparing emulsions is mainly to improve the high-speed stirrer and enhance the properties of the emulsion. However, the emulsification in the formation is more complicated, not just the combination of mechanical stirring and ultrasound, and there are few studies on how to better simulate the formation conditions of emulsions. Therefore, it is necessary to design a new type of emulsification device to simulate the formation conditions.
In our previous work, a sieve plate rotary emulsification device was designed and manufactured that can simulate the formation conditions of emulsions. In this work, an emulsion stabilized by a betaine polymeric surfactant was prepared by the new sieve plate rotary emulsification device. By measuring the water release rate, particle size distribution, and the TSI value, the stability of the emulsion was evaluated. The effects of the salinity, concentration, oil–water ratio, emulsification time, and sieve plate parameters (sieve plate number and pore size) on the stability of the emulsion were also studied. This research provides a theoretical basis and plays a guiding role for better simulation of the migration and emulsification characteristics of polymeric surfactants during formation.
2. Materials and Methods
2.1. Materials
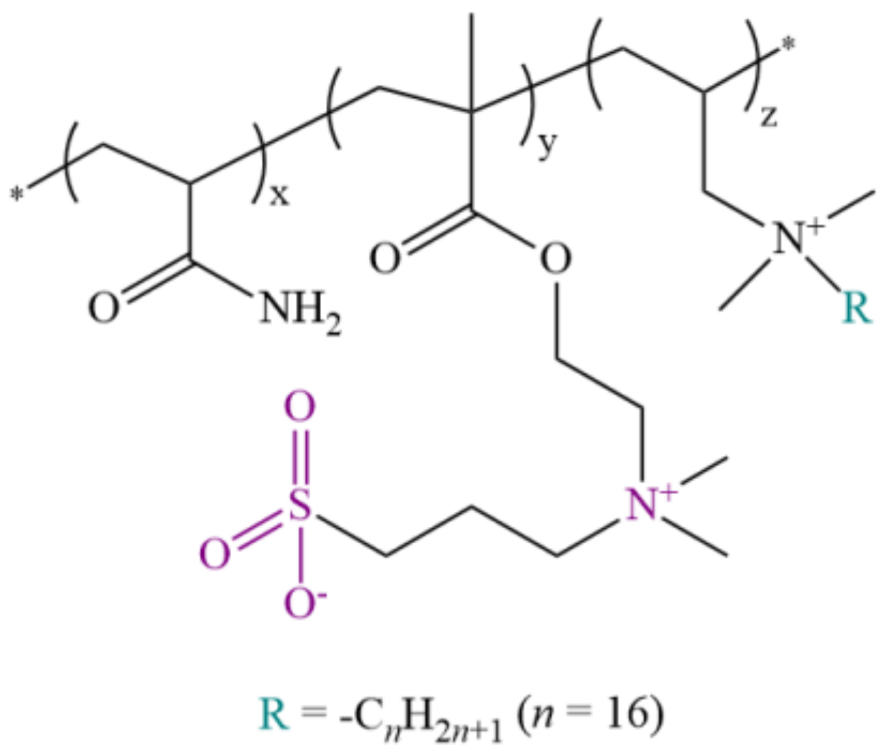
The surfactant used in this work was a kind of betaine polymeric surfactant, HAP, the molecular structure of which is shown in Figure 1. The molecular weight of HAP is about 6 × 106. Inorganic salts, including NaCl, MgCl2, and CaCl2, were purchased from China National Pharmaceutical Group Corporation. All the reagents were of analytical grade and used without further treatment.
Figure 1.
Molecular structure of the polymeric surfactant HAP.
Crude oil was obtained from the CQ Oilfield in China, and the properties of the oil are shown in Table 1. The salinity of the simulation formation water was 32,868 mg/L, and the composition of the water is shown in Table 2.
Table 1.
Properties of the crude oil obtained from the CQ Oilfield.
Table 2.
Composition of the simulated formation water from the CQ Oilfield.
2.2. Methods
2.2.1. Preparation of the Emulsion by the Sieve Plate Rotary Emulsification Device
The sieve plate rotary emulsification device is shown in Figure 2. There are many circular holes on the sieve plate. The sieve plates are placed on the bearing rod of the emulsification generator and undergo reciprocated motion. The surfactant solution and crude oil were injected simultaneously at the same injection speed (5 mL/min) by two constant flow pumps to ensure the same oil and water concentrations. Through reciprocating motion, the oil and water could pass through the circular holes on the sieve plates simultaneously and be fully emulsified to obtain an emulsion with good stability and uniformity. The emulsification time, number of sieve plates, and diameter of the sieve holes could be set to different values to optimize the parameters of the device.
Figure 2.
Physical map and schematic diagram of the sieve plate rotary emulsification device.
2.2.2. Determination of the Water Separation Rate
The emulsion was transferred into a test tube to observe the water separation rate over time, which can be calculated by Equation (1). Oil–water separation occurs after emulsion is demulsified. A lower Vw/Vo represents less water phase separated from the emulsion, which proves that the emulsion has good stability. The experiment was conducted under room temperature.
where, ϕ is the water separation rate, %, Vw is the volume of water precipitated at a certain time, L, and Vo is the total volume of the water phase in the emulsion, L.
2.2.3. Measurement of Particle Size
The emulsion was first diluted, and an XSJ-2 optical microscope (Beijing Hongchang Technology Co. Ltd., Beijing, China) was used to observe the particle size of the droplets. The ImageJ software was used to measure the particle size of 300 droplets in the emulsion, and then, the particle size distribution of the emulsion was obtained.
2.2.4. Stability Analysis of the Emulsion
The TURBISCAN Lab Expert stability analyzer (Beijing LDS Technology Co. Ltd., Beijing, China) can be used to analyze the optical dispersion of a fluid through a pulsed near-infrared light source. The instrument was equipped with a pulsed near-infrared light source (the wavelength of the incident light was 880 nm). The transmitted light (T) and backscattered light (BS) of the infrared light through the emulsion system were measured by two synchronous optical detectors, and therefore, the relationship between the light intensity and the height of the sample could be obtained to analyze the microscopic characteristics of droplet growth or migration in the emulsion, as shown in Figure 3.
Figure 3.
Physical map and schematic diagram of the TURBISCAN Lab Expert stability analyzer.
The TURBISCAN Lab Expert stability analyzer was used to test the stability of the emulsion prepared with the polymeric surfactant. The prepared emulsion sample was packed in a test bottle. The stability analyzer applied a pulsed near-infrared light source with a wavelength of 880 nm, and two synchronized optical detectors were used to detect the transmitted light and the light reflected by the emulsion. The optical detector in the instrument scans the sample from the top to the bottom, and data were collected every 1 min. By collecting the back-reflection light data, the stability parameter TSI value as a function of time can be obtained [35]. TSI value is the standard deviation of backscattered light intensity fluctuation. An increase in the TSI value indicates the increase in the deviation of light intensity. This is caused by the gradual accumulation of the droplets. Therefore, lower TSI indicates higher emulsion stability. The method of calculating the TSI value is shown in Equation (2):
where Xi represents the average intensity of backscattered light for each scanning, cd, XBS represents the average value of Xi, cd, n represents the number of scans, and TSI represents the parameter of system stability.
3. Results and Discussion
3.1. Parameter Optimization of the Sieve Plate Rotary Emulsification Device
3.1.1. Number of Sieve Plates
Figure 4 shows the effect of different sieve plate numbers on the water separation rate of the emulsion. It can be seen that oil–water separation has occurred in the emulsion, water separation rate increases as a function of time, and the oil droplets gradually assemble in the upper layer. According to the microscope images, the particle size of the emulsion droplets become larger due to the accumulation, which is consistent with the macro phenomenon. Moreover, as the number of sieve plates increased, the water separation rate of the emulsion decreased, which illustrated the enhanced stability of the emulsion by increasing the number of sieve plates. This was because as the number of sieve plates increased, the emulsification distance of the mixed solution in the emulsification generator increased. Therefore, the emulsification frequency increased, and an emulsion with better stability could be obtained.
Figure 4.
Relationship between the emulsion water separation rate and the sieve plate number.
3.1.2. Diameter of Sieve Pores
Similarly, Figure 5 shows that the size of the sieve pores also had an impact on the stability of the emulsion. As the pore diameter increased, the water separation rate of the emulsion increased continuously, which suggested the poor stability of the emulsion. Therefore, the increase of the sieve pore diameter led to the decrease of the emulsion stability, which can be attributed to the reduction of the emulsification efficiency by the increase of the pore size. This is because when passing through a smaller pore size, the shear rate becomes larger, therefore, more uniform emulsion with a smaller particle size can be obtained, thus improving the stability of the emulsion.
Figure 5.
Relationship between the emulsion water separation rate and the diameter of the sieve pores (new device).
3.1.3. Emulsification Time
The relationship between the emulsification time and the water separation rate of the emulsion is shown in Figure 6. It can be seen that as the emulsification time increased, the water separation rate of the emulsion was gradually reduced, which better exhibited the stability of the emulsion with the increase of the emulsification time. This is because the rotating sieve plate can improve the contact between the oil and the water to a certain extent. However, when the emulsification time was more than 60 min, the water separation rate of the emulsion basically remained constant. Therefore, further increases in the emulsification time had little effect on improving the emulsion stability.
Figure 6.
Relationship between the water separation rate and different emulsification times.
In summary, the number of sieve plates, the pore size of the sieve holes, and the emulsification time can all affect the stability of the emulsion. The parameters of the device were optimized as follows: the number of sieve plates was 5, the diameter of the sieve hole was 1 mm, and the emulsification time was 60 min.
3.2. Comparison of Emulsions Prepared by Different Devices
Figure 7 shows the water separation rate of emulsions prepared by two kinds of emulsification devices under the same stirring speed and time. It can be seen that, compared to the emulsion prepared by the high-speed stirrer, the water separation rate of the emulsion prepared by the new sieve plate rotary emulsification device increased more slowly. The final water separation rate obtained by the new device was approximately 25% lower than that obtained by the traditional high-speed stirrer, which illustrates the better stability of the emulsion prepared by the new device. This is because the rotating sieve plate can stir the oil and water as evenly as possible, which increases the emulsification efficiency compared with the high-speed shear emulsifier.
Figure 7.
Water separation rate of emulsions prepared by different devices (stirring speed of 300 r/min).
3.3. Influencing Factors of the Stability of the Emulsion Prepared with the Polymeric Surfactant
3.3.1. Effect of the Surfactant Concentration on Emulsion Stability
To investigate the relationship between the polymeric surfactant concentration and the stability of the emulsion, the water separation rate, particle size, and TSI were analyzed. The relationship between the water separation rate and the concentration of HAP is shown in Figure 8. It can be found that as the concentration of the polymeric surfactant solution increased, the water separation rate of the emulsion decreased, which indicated that the stability of the emulsion system increased as the polymeric surfactant concentration increased. With the increase of surfactant concentration, the adsorption amounts of molecules on the oil–water interface increases, which can produce more oil–water interfaces. Therefore, the size becomes smaller with the increased surfactant concentration.
Figure 8.
Relationship between the water separation rate and different concentrations.
The particle size of the emulsion droplets was further investigated to illustrate the stability of the emulsion, as shown in Figure 9. It can be seen that as the surfactant concentration increased, the value of the particle size shifted from right to left and the peak size decreased from 8 to 4 μm, which showed that as the concentration increased, the particle size of the emulsion became more concentrated and smaller.
Figure 9.
Relationship between the emulsion size distribution and the surfactant concentration.
Furthermore, the TURBISCAN Lab Expert stability analyzer was used to determine the stability of emulsions with different concentrations, and the TSI values are shown in Figure 10. It can be seen that the TSI value decreased as the concentration increased, which indicated that the stability of the emulsion improved as the surfactant concentration increased. This can be attributed to the strong thickening ability of the polymeric surfactant HAP, which can form aggregations and spatial networks in solution. The emulsified oil droplets are trapped in the “mesh” of this structure to stabilize the oil-in water emulsion (O/W emulsion). Therefore, as the concentration increased, the viscosity of the external phase of the emulsion increased, so the dispersed oil droplets did not easily coalesce.
Figure 10.
Relationship between the TSI value and the surfactant concentration.
3.3.2. Effect of Salinity on the Emulsion Stability
Figure 11 shows the relationship between the water separation rate of the emulsion with different salinity values of the polymeric surfactant solution. There were obvious differences among the water separation rates of emulsions with different salinity values. As the salinity increased, the water separation rate of the emulsion gradually decreased, which indicated the better stability of the emulsion with high salinity.
Figure 11.
Change of the water release rate with different salinity values.
The particle size of the emulsion was measured, and the distribution of the particle size is shown in Figure 12. It can be seen from Figure 12 that the peak of the particle size changed from 9 to 3 μm. In addition, when the salinity was 10,000 mg/L, there were approximately 90 particles with a size of 9 μm, and when the salinity was 50,000 mg/L, there were approximately 140 particles with a size of 3 μm. As the salinity increased, the particle size of the emulsion tended to decline, and the distribution of the particle size was more concentrated. Furthermore, the minimum value of the particle size of the emulsion was 2 μm. The size of droplets could not be reduced further, which can be attributed to the limitation of the sieve hole diameter of the selected sieve plate.
Figure 12.
Relationship between the emulsion size distribution and salinity.
Moreover, the TSI values of different emulsions were obtained, and the results are shown in Figure 13. It can be seen that the TSI value decreased as the salinity increased, which indicated that the stability of the emulsion was improved as the salinity increased.
Figure 13.
Relationship between TSI and salinity.
The mechanism can be analyzed by the state change of the internal salt bond of the group on the polymeric surfactant HAP. The addition of inorganic salt can shield the internal salt bond formed between the quaternary ammonium salt group and the sulfonic acid group in the betaine unit of the molecule, so that the molecule becomes more stretched in the mineralized water, thereby increasing the hydromechanics radius and the viscosity of solution. Within a certain range, the greater the ionic strength of the salt, the stronger the ability to shield the inner salt bond. Meanwhile, the increasing viscosity of the dispersion medium contributes to a slower migration process and a more stable emulsion.
3.3.3. Effect of the Oil–Water Ratio on the Emulsion Stability
Figure 14 shows the relationship between the water separation rate and the oil–water ratio of the emulsion. It can be seen that as the oil–water ratio increased, the rate of water separation gradually increased, which illustrated the decreasing stability of the emulsion.
Figure 14.
Change of the water release rate with the oil–water ratio.
The particle sizes of three emulsion systems are shown in Figure 15. It can be found that as the oil–water ratio increased, the change of the particle size distribution was not particularly obvious, and the particle size peaks of the three systems were all distributed in the range of 5–7 μm, indicating that when the external parameters of the emulsion device were determined, the particle size range of the emulsion could be roughly determined.
Figure 15.
Relationship between the emulsion size distribution and the oil–water ratio.
Finally, the TSI values of different systems were obtained, as shown in Figure 16. It can be seen that the TSI value increased as the oil–water ratio increased, which showed the poor stability of the emulsion with the increase of the oil–water ratio. Due to the increase in the proportion of oil, a certain amount of surfactant solution cannot completely emulsify the excessive oil. The excessive oil will flocculate rapidly, resulting in a decrease in the stability of the emulsion. However, the oil–water ratio had little effect on the particle size of the emulsion prepared with polymeric surfactant. This is because when the parameters of the device were selected and the physical properties of oil/water were unchanged, the particle size of the emulsion prepared by the sieve holes was also determined.
Figure 16.
Relationship between TSI and the oil–water ratio.
4. Conclusions
In this paper, a new sieve plate rotary emulsification device was used to evaluate the factors influencing the stability of an emulsion prepared by the betaine-type polymeric surfactant HAP. First, the parameters of the device were optimized. The stability of the emulsion was best when the number of sieve plates was 5, the diameter of the sieve holes was 1 mm, and the emulsification time was 60 min. In addition, the polymeric surfactant HAP has good emulsification properties. The stability of the emulsion prepared by the new device was better than that of the emulsion prepared by a traditional high-speed stirrer. Moreover, as the surfactant concentration, salinity, and water–oil ratio increased, the stability of the polymeric surfactant emulsion increased. The application of this emulsification device can better simulate the shearing conditions during formation in the preparation of polymeric surfactant emulsions and thereby, provide guidance for the application of the emulsification function of polymeric surfactant in enhanced oil recovery.
Author Contributions
Data curation, Y.W.; Formal analysis, Y.W. and Y.X.; Investigation, Y.W., Y.X., B.G. and H.Y.; Methodology, Y.W., Y.X. and B.G.; Supervision, Y.X.; Writing—original draft, Y.W.; Writing—review and editing, Y.W., Y.X., B.G. and H.Y. All authors have read and agreed to the published version of the manuscript.
Funding
This research received no external funding.
Conflicts of Interest
The authors declare that they have no conflicts of interest.
References
- Shiran, B.S.; Skauge, A. Enhanced oil recovery (EOR) by combined low salinity water/polymer flooding. Energy Fuels 2013, 27, 1223–1235. [Google Scholar] [CrossRef]
- Urbissinova, T.S.; Trivedi, J.J.; Kuru, E. Effect of elasticity during viscoelastic polymer flooding: A possible mechanism of increasing the sweep efficiency. J. Can. Pet. Technol. 2010, 49, 49–56. [Google Scholar] [CrossRef]
- Jamaloei, B.Y.; Kharrat, R.; Torabi, F. Analysis and correlations of viscous fingering in low-tension polymer flooding in heavy oil reservoirs. Energy Fuels 2010, 24, 6384–6392. [Google Scholar] [CrossRef]
- Yang, H.; Zhang, H.; Zheng, W.; Zhou, B.; Zhao, H.; Li, X.; Zhang, L.; Zhu, Z.; Kang, W.; Ketova, Y.A.; et al. Effect of hydrophobic group content on the properties of betaine-type binary amphiphilic polymer. J. Mol. Liq. 2020, 311, 113358–113365. [Google Scholar] [CrossRef]
- Wang, D.; Cheng, J.; Wu, J.; Wang, G. Application of polymer flooding technology in Daqing Oilfield. Acta Pet. Sin. 2005, 26, 74–78. [Google Scholar] [CrossRef]
- Seright, R.S.; Zhang, G.; Akanni, O.O.; Wang, D. A comparison of polymer flooding with in-depth profile modification. J. Can. Pet. Technol. 2012, 51, 393–402. [Google Scholar] [CrossRef]
- Akiyama, E.; Kashimoto, A.; Hotta, H.; Kitsuki, T. Mechanism of oil-in-water emulsification using a water-soluble amphiphilic polymer and lipophilic surfactant. J. Colloid Interface Sci. 2006, 300, 141–148. [Google Scholar] [CrossRef]
- Raffa, P.; Broekhuis, A.A.; Picchioni, F. Polymeric surfactants for enhanced oil recovery: A review. J. Pet. Sci. Eng. 2016, 145, 723–733. [Google Scholar] [CrossRef]
- Qiang, T.; Zhang, G.; Wang, X. Research developments on amphiphilic hyperbranched polymers. Chem. Ind. Eng. Prog. 2013, 32, 666–670. [Google Scholar] [CrossRef]
- Wei, D.; Song, Y.; Jin, Y.; Sun, J. Research Progress in Amphiphilic Polymer Used for Enhanced Oil Recovery. Fine Chem. 2004, 21, 662–666. [Google Scholar] [CrossRef]
- Lu, Y.; Wu, H.; Meng, Z.; Jiang, J.; Jin, Y.; Deng, Z.; Su, W.; Li, Z.; Kang, W. Salt effect on hydrophobically modified polyacrylamide-containing crude oil emulsions: Stability and rheology study. Colloid Polym. Sci. 2018, 296, 515–527. [Google Scholar] [CrossRef]
- Aman, Z.M.; Dieker, L.E.; Aspenes, G.; Sum, A.K. Influence of model oil with surfactants and amphiphilic polymers on cyclopentane hydrate adhesion forces. Energy Fuels 2010, 24, 5441–5445. [Google Scholar] [CrossRef]
- Qiu, J. Stability of the oil-water emulsion formed during amphiphilic polymer flooding. Pet. Sci. Technol. 2013, 31, 142–147. [Google Scholar] [CrossRef]
- Kinsinger, M.I.; Sun, B.; Abbott, N.L.; Lynn, D.M. Reversible control of ordering transitions at aqueous/liquid crystal interfaces using functional amphiphilic polymers. Adv. Mater. 2007, 19, 4208–4212. [Google Scholar] [CrossRef]
- Hevus, I.; Kohut, A.; Voronov, A. Interfacial micellar phase transfer using amphiphilic invertible polymers. Polym. Chem. 2011, 2, 2767–2770. [Google Scholar] [CrossRef]
- Kang, W.; Wei, S.; Ji, Y.; Zhao, H.; Zhao, J.; Yang, R. Characterization of amphiphilic polymer O/W emulsion through porous media. Polym. Mater. Sci. Eng. 2014, 30, 76–80. [Google Scholar] [CrossRef]
- Sarkar, B.; Venugopal, V.; Bodratti, A.M.; Tsianou, M. Nanoparticle surface modification by amphiphilic polymers in aqueous media: Role of polar organic solvents. J. Colloid Interface Sci. 2013, 397, 1–8. [Google Scholar] [CrossRef]
- Zhang, X.; Yang, H.; Zhu, Z.; Wang, P.; Yin, X.; Cao, C.; Guo, S.; Kang, W. Effect of different molecular weight amphiphilic polymers on emulsifying behavior. Pet. Sci. Technol. 2018, 36, 1544–1551. [Google Scholar] [CrossRef]
- Sun, J.; Xu, X.; Wang, J.; Zhang, W.; Yang, H.; Jing, X.; Shi, X. Synthesis and emulsification properties of an amphiphilic polymer for enhanced oil recovery. J. Dispers. Sci. Technol. 2010, 31, 931–935. [Google Scholar] [CrossRef]
- Yang, G.; Zhang, F.; Kang, X.; Zhao, J.; Cui, Y.; Zhao, W. Experimental study of heavy oil percolation in porous medium by amphiphilic polymer flooding. China Offshore Oil Gas 2016, 28, 61–65. [Google Scholar] [CrossRef]
- Zhao, Y.; Ke, Y.; Hu, X.; Peng, F. Synthesis, characterization and emulsification properties of an amphiphilic copolymer for enhanced oil recovery. In Proceedings of the 2nd International Conference on Frontiers of Materials Synthesis and Processing, Sanya, China, 10–11 November 2018. [Google Scholar] [CrossRef]
- Yang, H.; Shao, S.; Zhu, T.; Chen, C.; Liu, S.; Zhou, B.; Hou, X.; Zhang, Y.; Kang, W. Shear resistance performance of low elastic polymer microspheres used for conformance control treatment. J. Ind. Eng. Chem. 2019, 79, 295–306. [Google Scholar] [CrossRef]
- Sawada, H.; Umedo, M.; Kawase, T.; Tomita, T. Synthesis and properties of fluoroalkylated end-capped betaine polymers. Eur. Polym. J. 1999, 35, 1611–1617. [Google Scholar] [CrossRef]
- Favresse, P.; Laschewsky, A.; Emmermann, C.; Gros, L. Synthesis and free radical copolymerization of new zwitterionic monomers: Amphiphilic carbobetaines based on isobutylene. Eur. Polym. J. 2001, 37, 877–885. [Google Scholar] [CrossRef]
- Murugaboopathy, S.; Matsuoka, H. Salt-dependent surface activity and micellization behaviour of zwitterionic amphiphilic diblock copolymers having carboxybetaine. Colloid Polym. Sci. 2015, 293, 1317–1328. [Google Scholar] [CrossRef]
- Picco, A.S.; Silbestri, G.F.; Dario Falcone, R.; Azzaroni, O.; Ceolin, M.; Mariano Correa, N. Probing the microenvironment of unimicelles constituted of amphiphilic hyperbranched polyethyleneimine using 1-methyl-8-oxyquinolinium betaine. Phys. Chem. Chem. Phys. 2014, 16, 13458–13464. [Google Scholar] [CrossRef]
- Zhu, Z.; Kang, W.; Yang, H.; Wang, P.; Zhang, X.; Yin, X.; Lashari, Z.A. Study on salt thickening mechanism of the amphiphilic polymer with betaine zwitterionic group by beta-cyclodextrin inclusion method. Colloid Polym. Sci. 2017, 295, 1887–1895. [Google Scholar] [CrossRef]
- Zhang, H.; Kang, W.; Meng, L.; Wang, Y.; Guo, L. Emulsion Characteristics of the Hydrophobically Associating Polyacrylamid Used for Oilflooding. Acta Pet. Sin. Pet. Process. Sect. 2010, 26, 628–634. [Google Scholar] [CrossRef]
- Zhu, Z.; Kang, W.; Sarsenbekuly, B.; Yang, H.; Dai, C.; Yang, R.; Fan, H. Preparation and solution performance for the amphiphilic polymers with different hydrophobic groups. J. Appl. Polym. Sci. 2017, 134. [Google Scholar] [CrossRef]
- Hao, H.; Wu, X.; Sun, j.; Guo, D. Mixing Charactistiss of Liquid-Liquid Dispersions in a Central Tornado Flow Stirring Vessel. Petrochem. Technol. 2003, 32, 33–36. [Google Scholar] [CrossRef]
- Tolosa, L.-I.; Forgiarini, A.; Moreno, P.; Salager, J.-L. Combined effects of formulation and stirring on emulsion drop size in the vicinity of three-phase behavior of surfactant-oil water systems. Ind. Eng. Chem. Res. 2006, 45, 3810–3814. [Google Scholar] [CrossRef]
- Diftis, N.; Kiosseoglou, V. Stability against heat-induced aggregation of emulsions prepared with a dry-heated soy protein isolate-dextran mixture. Food Hydrocoll. 2006, 20, 787–792. [Google Scholar] [CrossRef]
- Yang, H.; Kang, W.; Wu, H.; Yu, Y.; Zhu, Z.; Wang, P.; Zhang, X.; Sarsenbekuly, B. Stability, rheological property and oil-displacement mechanism of a dispersed low-elastic microsphere system for enhanced oil recovery. RSC Adv. 2017, 7, 8118–8130. [Google Scholar] [CrossRef]
- Yang, H.; Kang, W.; Yu, Y.; Yin, X.; Wang, P.; Zhang, X. A new approach to evaluate the particle growth and sedimentation of dispersed polymer microsphere profile control system based on multiple light scattering. Powder Technol. 2017, 315, 477–485. [Google Scholar] [CrossRef]
- Yao, H. Improvement of the crude oil emulsion preparation method. Oil-Gas Field Surf. Eng. 2017, 36, 27–31. [Google Scholar] [CrossRef]
© 2020 by the authors. Licensee MDPI, Basel, Switzerland. This article is an open access article distributed under the terms and conditions of the Creative Commons Attribution (CC BY) license (http://creativecommons.org/licenses/by/4.0/).















