Experimental and Numerical Study on Energy Piles with Phase Change Materials
Abstract
1. Introduction
2. Experimental Setup
2.1. Experimental Description
2.2. Experimental Procedure
3. Uncertainty Analysis
4. Numerical Model Description
4.1. Governing Equations
4.2. Initial and Boundary Conditions
4.3. Mesh Independence Analysis
5. Results and Discussion
5.1. Outlet Water Temperature Profile
5.2. Phase Change Materials Meting and Solidification
5.3. Effect of the PCM on the Concrete’s Temperature Distributions
5.4. Thermal Maps
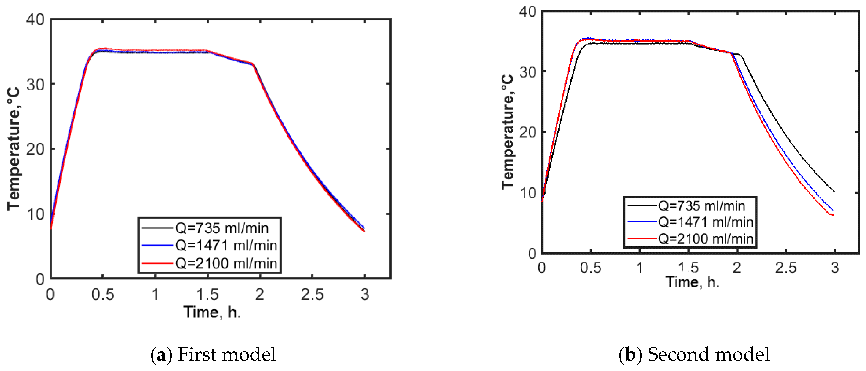
5.5. Effect of Different Flow Rates
5.6. Effect of PCM on Energy Storage Capacity
6. Conclusions
- The numerical predictions of both models showed a good agreement with the experimental measurements, in terms of the concrete’s thermal response and the outlet water temperatures.
- The presence of the macro-encapsulated PCM decreased the temperature increase and decrease slope during the charging and discharging processes, respectively, of the second model than that of the first model, which would enhance the heat transfer from the HEX tubes to the concrete then to the underground soil during charging, and vice versa during the discharging process.
- Increasing the flow rate increased both the amount of heat stored and extracted for each sample, and the storage efficiency. For the flow rate of 735, 1471, and 2100 mL/min, the heat rejection to the first model was 16.5, 16.8, and 17.1 kJ/ kg of the concrete weight, respectively, and the heat rejection for the PCM model was 28.7, 29.2 and 29.5 kJ/kg for the same flow rates. The heat extraction from the first model at the aforementioned flow rates was 12.5, 12.9, 14.1 kJ/kg, respectively, and heat extraction from the second model was 23, 24.7, and 27.4 kJ/kg.
- The presence of PCM increased the amount of heat stored and extracted for the same flow rate, as well as storage efficiency. For the flow rate of 735 mL/min the storage efficiency increased from 75% to 80%; for 1471 mL/min the storage efficiency increased from 76% to 84%; and for 2100 mL/min it increased from 82% to 98%.
7. Future Work
Author Contributions
Funding
Acknowledgments
Conflicts of Interest
Nomenclature
| Nomenclature | Greek symbols | ||
| A | Area (m2) | ρ | Density (kg/m3) |
| Cp | Specific heat (J/kg.°C) | Dynamic viscosity (Pa.s) | |
| d | Diameter (m) | Standard deviation | |
| f | Fanning friction factor | δ | Uncertainty |
| k | Thermal conductivity (W/m.K) | Subscripts | |
| Nu | Nusselt number | s | Solid |
| Pr | Prandtl number | l | Liquid |
| Q | Volumetric flow rate (mL/min) | Abbreviations | |
| q | Heat transfer rate (w) | CFD | Computational fluid dynamics |
| Re | Reynolds number | COP | Coefficient of performance |
| T | Temperature () | Exp | Experimental |
| t | Time (s) | GHG | Greenhouse gases |
| U | Velocity fields vector (m/s) | GSHP | Ground source heat pump |
| V | Average velocity (m/s) | HDPE | High-density polyethylene |
| Best value | HEX | Heat exchanger | |
| Num | Numerical | HP | Heat pump |
| PCM | Phase change materials | PVC | Polyvinyl chloride |
References
- Mustafa Omer, A. Ground-source heat pumps systems and applications. Renew. Sustain. Energy Rev. 2008, 12, 344–371. [Google Scholar] [CrossRef]
- Ozyurt, O.; Ekinci, D.A. Experimental study of vertical ground-source heat pump performance evaluation for cold climate in Turkey. Appl. Energy 2011, 88, 1257–1265. [Google Scholar] [CrossRef]
- Bayer, P.; Saner, D.; Bolay, S.; Rybach, L.; Blum, P. Greenhouse gas emission savings of ground source heat pump systems in Europe: A review. Renew. Sustain. Energy Rev. 2012, 16, 1256–1267. [Google Scholar] [CrossRef]
- Deng, Y.; Feng, Z.; Fang, J.; Cao, S.J. Impact of ventilation rates on indoor thermal comfort and energy efficiency of ground-source heat pump system. Sustain. Cities Soc. 2018, 37, 154–163. [Google Scholar] [CrossRef]
- Rybach, L.; Eugster, W.J. Sustainability aspects of geothermal heat pump operation, with experience from Switzerland. Geothermics 2010, 39, 365–369. [Google Scholar] [CrossRef]
- Zheng, X. Long-term effects of ground source heat pumps on underground temperature. In Proceedings of the 2013 COMSOL Conference, Newton, MA, USA, 9–11 October 2013. [Google Scholar]
- Hu, S.; Song, W.; Zhang, Y.; Pan, D.; Meng, D. Study of cold/hot stacking problem based on balance storage of ground source heat pump. In Proceedings of the 2010 2nd International Conference on Computer Engineering and Technology, Chengdu, China, 16–18 April 2010. [Google Scholar]
- Ahheng, B.C.; Dunbar, J.; Haufler, T. Impacts and Limitations of Residential Geothermal Heating Systems. Worcester Polytech. Inst. 2011. Available online: https://digitalcommons.wpi.edu/iqp-all/2977/?utm_source=digitalcommons.wpi.edu%2Fiqp-all%2F2977&utm_medium=PDF&utm_campaign=PDFCoverPages (accessed on 18 July 2020).
- Law, Y.L.E.; Dworkin, S.B. Characterization of the effects of borehole configuration and interference with long term ground temperature modelling of ground source heat pumps. Appl. Energy 2016, 179, 1032–1047. [Google Scholar] [CrossRef]
- Fadejev, J.; Kurnitski, J. Geothermal energy piles and boreholes design with heat pump in a whole building simulation software. Energy Build. 2015, 106, 23–34. [Google Scholar] [CrossRef]
- Fadejev, J.; Simson, R.; Kurnitski, J.; Haghighat, F. A review on energy piles design, sizing and modelling. Energy 2017, 122, 390–407. [Google Scholar] [CrossRef]
- Wu, W.; Wang, B.; You, T.; Shi, W.; Li, X. A potential solution for thermal imbalance of ground source heat pump systems in cold regions: Ground source absorption heat pump. Renew. Energy 2013, 59, 39–48. [Google Scholar] [CrossRef]
- Wu, W.; You, T.; Wang, B.; Shi, W.; Li, X. Simulation of a combined heating, cooling and domestic hot water system based on ground source absorption heat pump. Appl. Energy 2014, 126, 113–122. [Google Scholar] [CrossRef]
- Wang, H.; Qi, C. Performance study of underground thermal storage in a solar-ground coupled heat pump system for residential buildings. Energy Build. 2008, 40, 1278–1286. [Google Scholar] [CrossRef]
- Han, Z.; Zheng, M.; Kong, F.; Wang, F.; Li, Z.; Bai, T. Numerical simulation of solar assisted ground-source heat pump heating system with latent heat energy storage in severely cold area. Appl. Therm. Eng. 2008, 28, 1427–1436. [Google Scholar] [CrossRef]
- Wang, X.; Zheng, M.; Zhang, W.; Zhang, S.; Yang, T. Experimental study of a solar-assisted ground-coupled heat pump system with solar seasonal thermal storage in severe cold areas. Energy Build. 2010, 42, 2104–2110. [Google Scholar] [CrossRef]
- Akeiber, H.; Nejat, P.; Majid, M.Z.A.; Wahid, M.A.; Jomehzadeh, F.; Zeynali Famileh, I.; Calautit, J.K.; Hughes, B.R.; Zaki, S.A. A review on phase change material (PCM) for sustainable passive cooling in building envelopes. Renew. Sustain. Energy Rev. 2016, 60, 1470–1497. [Google Scholar] [CrossRef]
- Chandel, S.S.; Agarwal, T. Review of current state of research on energy storage, toxicity, health hazards and commercialization of phase changing materials. Renew. Sustain. Energy Rev. 2017, 67, 581–596. [Google Scholar] [CrossRef]
- Zhou, D.; Zhao, C.Y.; Tian, Y. Review on thermal energy storage with phase change materials (PCMs) in building applications. Appl. Energy 2012, 92, 593–605. [Google Scholar] [CrossRef]
- Anisur, M.R.; Mahfuz, M.H.; Kibria, M.A.; Saidur, R.; Metselaar, I.H.S.C.; Mahlia, T.M.I. Curbing global warming with phase change materials for energy storage. Renew. Sustain. Energy Rev. 2013, 18, 23–30. [Google Scholar] [CrossRef]
- Cao, L.; Su, D.; Tang, Y.; Fang, G.; Tang, F. Properties evaluation and applications of thermal energystorage materials in buildings. Renew. Sustain. Energy Rev. 2015, 48, 500–522. [Google Scholar] [CrossRef]
- Sharma, A.; Tyagi, V.V.; Chen, C.R.; Buddhi, D. Review on thermal energy storage with phase change materials and applications. Renew. Sustain. Energy Rev. 2009, 13, 318–345. [Google Scholar] [CrossRef]
- Soares, N.; Costa, J.J.; Gaspar, A.R.; Santos, P. Review of passive PCM latent heat thermal energy storage systems towards buildings’ energy efficiency. Energy Build. 2013, 59, 82–103. [Google Scholar] [CrossRef]
- Paris, J.; Falardeau, M.; Villeneuve, C. Thermal storage by latent heat: A viable option for energy conservation in buildings. Energy Sources 1993, 15, 85–93. [Google Scholar] [CrossRef]
- Liu, Z.; Yu, Z.; Yang, T.; Qin, D.; Li, S.; Zhang, G.; Haghighat, F.; Joybari, M.M. A review on macro-encapsulated phase change material for building envelope applications. Build. Environ. 2018, 144, 281–294. [Google Scholar] [CrossRef]
- Abhat, A. Low temperature latent heat thermal energy storage: Heat storage materials. Sol. Energy 1983, 30, 313–332. [Google Scholar] [CrossRef]
- Memon, S.A. Phase change materials integrated in building walls: A state of the art review. Renew. Sustain. Energy Rev. 2014, 31, 870–906. [Google Scholar] [CrossRef]
- Waqas, A.; Ud Din, Z. Phase change material (PCM) storage for free cooling of buildings—A review. Renew. Sustain. Energy Rev. 2013, 18, 607–625. [Google Scholar] [CrossRef]
- Kuznik, F.; David, D.; Johannes, K.; Roux, J.J. A review on phase change materials integrated in building walls. Renew. Sustain. Energy Rev. 2011, 15, 379–391. [Google Scholar] [CrossRef]
- Khudhair, A.M.; Farid, M.M. A review on energy conservation in building applications with thermal storage by latent heat using phase change materials. Energy Convers. Manag. 2004, 45, 263–275. [Google Scholar] [CrossRef]
- Konuklu, Y.; Ostry, M.; Paksoy, H.O.; Charvat, P. Review on using microencapsulated phase change materials (PCM) in building applications. Energy Build. 2015, 106, 134–155. [Google Scholar] [CrossRef]
- Wahid, M.A.; Hosseini, S.E.; Hussen, H.M.; Akeiber, H.J.; Saud, S.N.; Mohammad, A.T. An overview of phase change materials for construction architecture thermal management in hot and dry climate region. Appl. Therm. Eng. 2017, 112, 1240–1259. [Google Scholar] [CrossRef]
- Salunkhe, P.B.; Shembekar, P.S. A review on effect of phase change material encapsulation on the thermal performance of a system. Renew. Sustain. Energy Rev. 2012, 16, 5603–5616. [Google Scholar] [CrossRef]
- Sari, A. Form-stable paraffin/high density polyethylene composites as solid-liquid phase change material for thermal energy storage: Preparation and thermal properties. Energy Convers. Manag. 2004, 45, 2033–2042. [Google Scholar] [CrossRef]
- Xiao, M.; Feng, B.; Gong, K. Preparation and performance of shape stabilized phase change thermal storage materials with high thermal conductivity. Energy Convers. Manag. 2002, 43, 103–108. [Google Scholar] [CrossRef]
- Medina, M.A.; King, J.B.; Zhang, M. On the heat transfer rate reduction of structural insulated panels (SIPs) outfitted with phase change materials (PCMs). Energy 2008, 33, 667–678. [Google Scholar] [CrossRef]
- Voelker, C.; Kornadt, O.; Ostry, M. Temperature reduction due to the application of phase change materials. Energy Build. 2008, 40, 937–944. [Google Scholar] [CrossRef]
- Zhang, M.; Medina, M.A.; King, J.B. Development of a thermally enhanced frame wall with phase-change materials for on-peak air conditioning demand reduction and energy savings in residential buildings. Int. J. Energy Res. 2005, 29, 795–809. [Google Scholar] [CrossRef]
- Güçeri, S.I.; Faunce, S.F. Modeling of a thermal wall panel using phase change materials. Energy 1979, 4, 695–699. [Google Scholar] [CrossRef]
- Memon, S.A.; Cui, H.Z.; Zhang, H.; Xing, F. Utilization of macro encapsulated phase change materials for the development of thermal energy storage and structural lightweight aggregate concrete. Appl. Energy 2015, 139, 43–55. [Google Scholar] [CrossRef]
- Ye, H.; Long, L.; Zhang, H.; Zou, R. The performance evaluation of shape-stabilized phase change materials in building applications using energy saving index. Appl. Energy 2014, 113, 1118–1126. [Google Scholar] [CrossRef]
- Kong, X.; Lu, S.; Li, Y.; Huang, J.; Liu, S. Numerical study on the thermal performance of building wall and roof incorporating phase change material panel for passive cooling application. Energy Build. 2014, 81, 404–415. [Google Scholar] [CrossRef]
- Biswas, K.; Abhari, R. Low-cost phase change material as an energy storage medium in building envelopes: Experimental and numerical analyses. Energy Convers. Manag. 2014, 88, 1020–1031. [Google Scholar] [CrossRef]
- Barreneche, C.; Navarro, L.; de Gracia, A.; Fernández, A.I.; Cabeza, L.F. In situ thermal and acoustic performance and environmental impact of the introduction of a shape-stabilized PCM layer for building applications. Renew. Energy 2016, 85, 281–286. [Google Scholar] [CrossRef]
- Sage-Lauck, J.S.; Sailor, D.J. Evaluation of phase change materials for improving thermal comfort in a super-insulated residential building. Energy Build. 2014, 79, 32–40. [Google Scholar] [CrossRef]
- Biswas, K.; Lu, J.; Soroushian, P.; Shrestha, S. Combined experimental and numerical evaluation of a prototype nano-PCM enhanced wallboard. Appl. Energy 2014, 131, 517–529. [Google Scholar] [CrossRef]
- Royon, L.; Karim, L.; Bontemps, A. Optimization of PCM embedded in a floor panel developed for thermal management of the lightweight envelope of buildings. Energy Build. 2014, 82, 385–390. [Google Scholar] [CrossRef]
- Karim, L.; Barbeon, F.; Gegout, P.; Bontemps, A.; Royon, L. New phase-change material components for thermal management of the light weight envelope of buildings. Energy Build. 2014, 68, 703–706. [Google Scholar] [CrossRef]
- Li, D.; Zheng, Y.; Liu, C.; Wu, G. Numerical analysis on thermal performance of roof contained PCM of a single residential building. Energy Convers. Manag. 2015, 100, 147–156. [Google Scholar] [CrossRef]
- Jaworski, M.; Łapka, P.; Furmański, P. Numerical modelling and experimental studies of thermal behaviour of building integrated thermal energy storage unit in a form of a ceiling panel. Appl. Energy 2014, 113, 548–557. [Google Scholar] [CrossRef]
- Williams, G.P.; Gold, L.W. Ground Temperatures. Available online: https://nrc-publications.canada.ca/eng/view/object/?id=386ddf88-fe8d-45dd-aabb-0a55be826f3f (accessed on 1 June 2020).
- Ground-Source Heat Pumps Earth-Energy Systems. Available online: https://www.nrcan.gc.ca/energy/publications/efficiency/heating-heat-pump/6833 (accessed on 1 June 2020).
- Taylor, J.R. An Introduction to Error Analysis: The Study of Uncertainties in Physical Measurments; University Science Books: New York, NY, USA, 1997. [Google Scholar]
- COMSOL Multiphysics. Available online: http://www.comsol.com/comsol-multiphysics (accessed on 1 March 2015).
- Meyer, J.P.; Everts, M.; Coetzee, N.; Grote, K.; Steyn, M. Heat transfer coefficients of laminar, transitional, quasi-turbulent and turbulent flow in circular tubes. Int. Commun. Heat Mass Transf. 2019, 105, 84–106. [Google Scholar] [CrossRef]

















| Organic | Inorganic | Eutectics | |
|---|---|---|---|
| Compounds |
|
|
|
| Merits |
|
|
|
| Demerits |
|
|
|
| Environmental effect | Paraffin wax | Salt hydrates | Eutectics |
|
|
| |
| Fatty acids | |||
|
| Thermodynamics Properties | Kinetics Properties | Chemical Properties | Economics Properties |
|---|---|---|---|
|
|
|
|
| First Model | Second Model | ||||
|---|---|---|---|---|---|
| Th# | Radius (mm)/Function | Max Uncertainty | Percentage of Reading | Max Uncertainty | Percentage of Reading |
| Th1 | 0 | 0.364 | 1.0% | 0.356 | 1.0% |
| Th2 | 28 | 0.424 | 1.2% | 0.394 | 1.1% |
| Th3 | 0 | 0.355 | 1.0% | - | - |
| Th4 | 28 | 0.417 | 1.2% | 0.395 | 1.2% |
| Th5 | Inlet | 0.464 | 1.3% | 0.382 | 1.0 % |
| Th6 | Outlet | 0.436 | 1.2% | 0.381 | 1.0% |
| Th7 | Surface | 0.436 | 3.1% | 0.51 | 2.0% |
| Th8 | Ambient | 0.811 | 3.3% | 0.687 | 2.8% |
| Th9 | PCM | - | - | 0.504 | 1.5% |
| Material | Thermal Conductivity (W/m.K) | Density (kg/m3) | Specific Heat (kJ/kg.K) |
|---|---|---|---|
| Cement paste | 0.7 | 1500 | 0.7 |
| Rebar steel | 44.5 | 7850 | 0.457 |
| PVC | 0.19 | 1380 | 1 |
| Foam insulation | 0.024 | 35 | 1.45 |
| heavy-duty cardboard | 0.21 | 900 | 1.88 |
| Copper | 401 | 8960 | 0.385 |
| PCM solid phase | 0.24 | 921 | 1.4 |
| PCM liquid phase | 0.15 | 857 | 1.9 |
| Volumetric Flow Rate [mL/min] | 735 | 1471 | 2100 | 735 | 1471 | 2100 |
|---|---|---|---|---|---|---|
| Model | First Model | Second Model | ||||
| Initial average temperature () | 8.69 | 8.68 | 8.66 | 8.69 | 8.75 | 8.81 |
| Volumetric flow rate percentage increase | - | 100 | 185.7 | - | 100 | 185.7 |
| Initial concrete’s total internal energy (J/kg) | −7857.3 | −7857.3 | −7857.3 | −21,158 | −21,158 | −21,158 |
| Concrete’s total internal energy at the end of charging (J/kg) | 8702 | 9002.5 | 9298.8 | 7605 | 8042.6 | 8372.6 |
| Final concrete’s total internal energy (J/kg) | −3832.3 | −3922.7 | −4868.6 | −15,431 | −16,666 | −19,171 |
| Total energy stored (J/kg) | 16,559.3 | 16,859.8 | 17,156.1 | 28,763 | 29,200.6 | 29,530.6 |
| Total energy extracted (J/kg) | 12,534.3 | 12,925.2 | 14,167.4 | 23,036 | 24,708.6 | 27,479.6 |
| Storage efficiency | 0.75 | 0.76 | 0.82 | 0.80 | 0.84 | 0.93 |
© 2020 by the authors. Licensee MDPI, Basel, Switzerland. This article is an open access article distributed under the terms and conditions of the Creative Commons Attribution (CC BY) license (http://creativecommons.org/licenses/by/4.0/).
Share and Cite
Mousa, M.M.; Bayomy, A.M.; Saghir, M.Z. Experimental and Numerical Study on Energy Piles with Phase Change Materials. Energies 2020, 13, 4699. https://doi.org/10.3390/en13184699
Mousa MM, Bayomy AM, Saghir MZ. Experimental and Numerical Study on Energy Piles with Phase Change Materials. Energies. 2020; 13(18):4699. https://doi.org/10.3390/en13184699
Chicago/Turabian StyleMousa, M. M., A. M. Bayomy, and M. Z. Saghir. 2020. "Experimental and Numerical Study on Energy Piles with Phase Change Materials" Energies 13, no. 18: 4699. https://doi.org/10.3390/en13184699
APA StyleMousa, M. M., Bayomy, A. M., & Saghir, M. Z. (2020). Experimental and Numerical Study on Energy Piles with Phase Change Materials. Energies, 13(18), 4699. https://doi.org/10.3390/en13184699

