Optimization of Voltage Unbalance Compensation by Smart Inverter
Abstract
1. Introduction
- (i)
- Development of a mathematical approach to elucidate the conventional voltage imbalance index and undetectable unbalance state.
- (ii)
- Detailed analysis on impact of RES causing undetectable unbalance (e.g., voltage unbalance) in the distribution system.
- (iii)
- Application of a heuristic optimization method based on particle swarm optimization (PSO) to balance voltage phase and magnitude unbalances.
- (iv)
- Analysis of big data to reduce the large volume of data and to extract essential features of data without deficiencies by using k-means clustering.
- (v)
- Advancing the application of the smart inverter, in particular for active and reactive power control, as a three-phase unbalanced compensation.
2. Unbalance Assessment
2.1. Voltage Magnitude Imbalance
2.2. Voltage Phase Imbalance
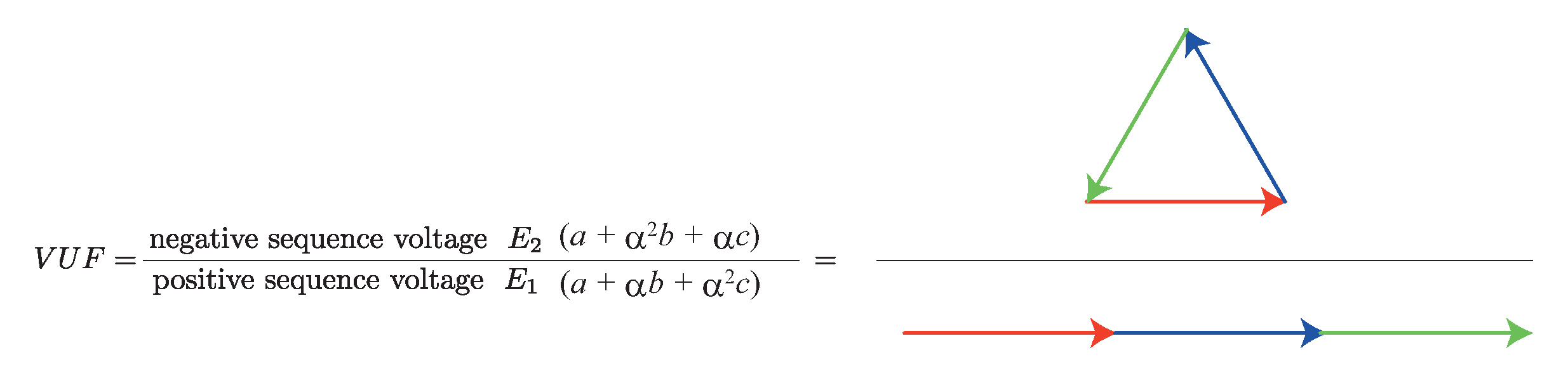
3. Symmetrical Component
3.1. Unbalanced Situations at Symmetrical Components
3.2. Unbalanced but Situations
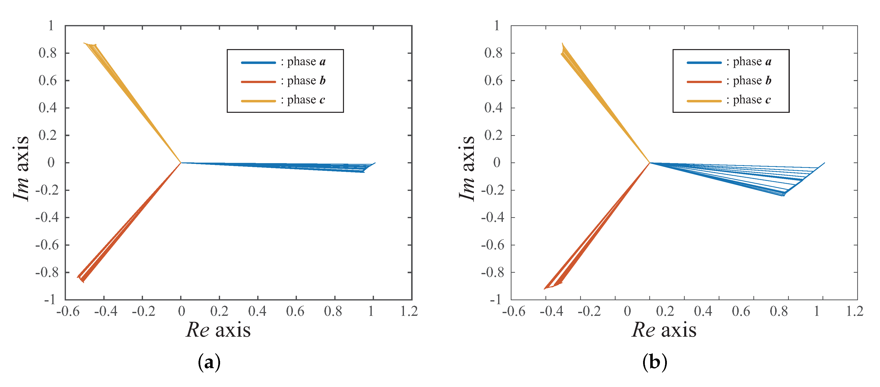
3.3. Undetectable Voltage Unbalanced Condition
4. Optimization of Voltage Unbalance Compensation
4.1. Formulation for Optimization
4.2. Optimization Method
5. A Big Data Approach for a Power System: Load Selection
5.1. Basic Theory of k-Means Clustering
5.2. An Approach of Determining the Number of k Clusters
- is sufficiently small and SSE changes are also small, even if the value of k is increased.
- value is not positive.
- Select valley point of .
6. Simulation Results
- Active power regulation by battery (Volt-Watt control).
- Operation planning for reactive power control (Volt-Var control).
- Active and reactive power control for voltage unbalance compensation.
6.1. Assessment for Voltage Unbalance and Unbalance Compensation
6.2. Case Study for Active and Reactive Power () Control
6.2.1. Active Power (P) Control for Voltage Unbalance
6.2.2. Reactive Power (Q) Control for Voltage Unbalance
6.2.3. Active and Reactive Power () Control for Voltage Unbalance
7. Conclusions
Author Contributions
Funding
Conflicts of Interest
References
- Nour, A.M. Review on voltage-violation mitigation techniques of distribution networks with distributed rooftop PV systems. IET Gener. Transm. Distrib. 2020, 14, 349–361. [Google Scholar] [CrossRef]
- Iioka, D.; Fujii, T.; Orihara, D.; Tanaka, T.; Harimoto, T.; Shimada, A.; Goto, T.; Kubuki, M. Voltage reduction due to reverse power flow in distribution feeder with photovoltaic system. Int. J. Electr. Power Energy Syst. 2019, 113, 411–418. [Google Scholar] [CrossRef]
- El-Hawary, M.E. Definitions of Voltage Unbalance. IEEE Power Eng. Rev. 2001, 21, 49–51. [Google Scholar]
- Zaheb, H.; Danish, M.S.S.; Senjyu, T.; Ahmadi, M.; Nazari, A.M.; Wali, M.; Khosravy, M.; Mandal, P. A Contemporary Novel Classification of Voltage Stability Indices. Appl. Sci. 2020, 10, 1639. [Google Scholar] [CrossRef]
- Ziadi, Z.; Oshiro, M.; Senjyu, T.; Yona, A.; Urasaki, N.; Funabashi, T.; Kim, C. Optimal Voltage Control Using Inverters Interfaced With PV Systems Considering Forecast Error in a Distribution System. IEEE Trans. Sustain. Energy 2014, 5, 682–690. [Google Scholar] [CrossRef]
- Dao, V.T.; Ishii, H.; Hayashi, Y. Optimal smart functions of large-scale PV inverters in distribution systems. In Proceedings of the 2017 IEEE Innovative Smart Grid Technologies-Asia (ISGT-Asia), Auckland, New Zealand, 4–7 December 2017; pp. 1–7. [Google Scholar]
- Adewuyi, O.B.; Ahmadi, M.; Olaniyi, I.O.; Senjyu, T.; Olowu, T.O.; Mandal, P. Voltage Security-Constrained Optimal Generation Rescheduling for Available Transfer Capacity Enhancement in Deregulated Electricity Markets. Energies 2019, 12, 4371. [Google Scholar] [CrossRef]
- Brown, R.E.; Pinkerton, R. Distribution Reliability Optimization Using Synthetic Feeders. Energies 2019, 12, 3510. [Google Scholar] [CrossRef]
- Lee, H.J.; Yoon, K.H.; Shin, J.W.; Kim, J.C.; Cho, S.M. Optimal Parameters of Volt–Var Function in Smart Inverters for Improving System Performance. Energies 2020, 13, 2294. [Google Scholar] [CrossRef]
- Arbab-Zavar, B.; Palacios-Garcia, E.J.; Vasquez, J.C.; Guerrero, J.M. Smart Inverters for Microgrid Applications: A Review. Energies 2019, 12, 840. [Google Scholar] [CrossRef]
- Srinivasarangan Rangarajan, S.; Sharma, J.; Sundarabalan, C.K. Novel Exertion of Intelligent Static Compensator Based Smart Inverters for Ancillary Services in a Distribution Utility Network-Review. Electronics 2020, 9, 662. [Google Scholar] [CrossRef]
- Seguí-Chilet, S.; Gimeno-Sales, F.; Orts, S.; Garcerá, G.; Figueres, E.; Alcañiz, M.; Masot, R. Approach to unbalance power active compensation under linear load unbalances and fundamental voltage asymmetries. Int. J. Electr. Power Energy Syst. 2007, 29, 526–539. [Google Scholar] [CrossRef]
- Rodríguez Paz, M.C.; Ferraz, R.G.; Bretas, A.S.; Leborgne, R.C. System unbalance and fault impedance effect on faulted distribution networks. Comput. Math. Appl. 2010, 60, 1105–1114. [Google Scholar] [CrossRef]
- Jayatunga, U.; Perera, S.; Ciufo, P.; Agalgaonkar, A.P. Voltage Unbalance Emission Assessment in Interconnected Power Systems. IEEE Trans. Power Deliv. 2013, 28, 2383–2393. [Google Scholar] [CrossRef]
- Bollen, M.; Zhang, L. Different methods for classification of three-phase unbalanced voltage dips due to faults. Electr. Power Syst. Res. 2003, 66, 59–69. [Google Scholar] [CrossRef]
- Gnacinski, P. Windings Temperature and Loss of Life of an Induction Machine Under Voltage Unbalance Combined With Over or Undervoltages. IEEE Trans. Energy Convers. 2008, 23, 363–371. [Google Scholar] [CrossRef]
- Kerekes, T.; Liserre, M.; Mastromauro, R.; Dell’Aquila, A. A Single-Phase Voltage-Controlled Grid-Connected Photovoltaic System With Power Quality Conditioner Functionality. IEEE Trans. Ind. Electron. 2009, 56, 4436–4444. [Google Scholar] [CrossRef]
- Bonaldo, J.P.; Morales Paredes, H.K.; Pomilio, J.A. Control of Single-Phase Power Converters Connected to Low-Voltage Distorted Power Systems With Variable Compensation Objectives. IEEE Trans. Power Electron. 2016, 31, 2039–2052. [Google Scholar] [CrossRef]
- Fan, L.; Miao, Z.; Domijan, A. Impact of unbalanced grid conditions on PV systems. In Proceedings of the IEEE PES General Meeting, Providence, RI, USA, 25–29 July 2010; pp. 1–6. [Google Scholar] [CrossRef]
- Pou, J.; Boroyevich, D.; Pindado, R. Effects of imbalances and nonlinear loads on the voltage balance of a neutral-point-clamped inverter. IEEE Trans. Power Electron. 2005, 20, 123–131. [Google Scholar] [CrossRef]
- Li, Y.; Vilathgamuwa, D.M.; Loh, P.C. Microgrid power quality enhancement using a three-phase four-wire grid-interfacing compensator. IEEE Trans. Ind. Appl. 2005, 41, 1707–1719. [Google Scholar] [CrossRef]
- Li, Y.W.; Vilathgamuwa, D.M.; Loh, P.C. A grid-interfacing power quality compensator for three-phase three-wire microgrid applications. In Proceedings of the 2004 IEEE 35th Annual Power Electronics Specialists Conference (IEEE Cat. No.04CH37551), Aachen, Germany, 20–25 June 2004; Volume 3, pp. 2011–2017. [Google Scholar] [CrossRef]
- George, S.; Agarwal, V. A DSP Based Optimal Algorithm for Shunt Active Filter Under Nonsinusoidal Supply and Unbalanced Load Conditions. IEEE Trans. Power Electron. 2007, 22, 593–601. [Google Scholar] [CrossRef]
- Luo, A.; Peng, S.; Wu, C.; Wu, J.; Shuai, Z. Power Electronic Hybrid System for Load Balancing Compensation and Frequency-Selective Harmonic Suppression. IEEE Trans. Ind. Electron. 2012, 59, 723–732. [Google Scholar] [CrossRef]
- Garcia-Cerrada, A.; Pinzon-Ardila, O.; Feliu-Batlle, V.; Roncero-Sanchez, P.; Garcia-Gonzalez, P. Application of a Repetitive Controller for a Three-Phase Active Power Filter. IEEE Trans. Power Electron. 2007, 22, 237–246. [Google Scholar] [CrossRef]
- He, J.; Li, Y.W.; Munir, M.S. A Flexible Harmonic Control Approach Through Voltage-Controlled DG-Grid Interfacing Converters. IEEE Trans. Ind. Electron. 2012, 59, 444–455. [Google Scholar] [CrossRef]
- Graovac, D.; Katic, V.; Rufer, A. Power Quality Problems Compensation With Universal Power Quality Conditioning System. IEEE Trans. Power Deliv. 2007, 22, 968–976. [Google Scholar] [CrossRef]
- Lin, F.; Tan, K.; Lai, Y.; Luo, W. Intelligent PV Power System with Unbalanced Current Compensation Using CFNN-AMF. IEEE Trans. Power Electron. 2018. [Google Scholar] [CrossRef]
- Yamane, K.; Orihara, D.; Iioka, D.; Aoto, Y.; Hashimoto, J.; Goda, T. Determination method of Volt-Var and Volt-Watt curve for smart inverters applying optimization of active/reactive power allocation for each inverter. Electr. Eng. Jpn. 2019, 209, 10–19. [Google Scholar] [CrossRef]
- Smith, J.; Sunderman, W.; Dugan, R.; Seal, B. Smart inverter volt/var control functions for high penetration of PV on distribution systems. In Proceedings of the 2011 IEEE/PES Power Systems Conference and Exposition (PSCE), Phoenix, AZ, USA, 20–23 March 2011; pp. 1–6. [Google Scholar] [CrossRef]
- Dao, V.T.; Ishii, H.; Takenobu, Y.; Yoshizawa, S.; Hayashi, Y. Home Energy Management Systems under Effects of Solar-Battery Smart Inverter Functions. IEEJ Trans. Electr. Electron. Eng. 2020, 15, 692–703. [Google Scholar] [CrossRef]
- Jouanne, A.; Banerjee, B. Assessment of Voltage Unbalance. IEEE Trans. Power Deliv. 2001, 16, 782–790. [Google Scholar] [CrossRef]
- Shigenobu, R.; Kinjo, M.; Mandal, P.; Howlader, A.M.; Senjyu, T. Optimal Operation Method for Distribution Systems Considering Distributed Generators Imparted with Reactive Power Incentive. Appl. Sci. 2018, 8, 1411. [Google Scholar] [CrossRef]
- Building Characteristicsfor Residential Hourly Load Data. Available online: https://openei.org/doe-opendata/dataset/commercial-and-residential-hourly-load-profiles-for-all-tmy3-locations-in-the-united-states/resource/cd6704ba-3f53-4632-8d08-c9597842fde3 (accessed on 17 June 2020).
- github/loads-clustering. Available online: https://github.com/gianlucahmd/loads_clustering (accessed on 17 June 2020).
- Thorndike, R.L. Who belongs in the family? Psychometrika 1953, 18, 267–276. [Google Scholar] [CrossRef]
- Kersting, W.H. Radial distribution test feeders. In Proceedings of the 2001 IEEE Power Engineering Society Winter Meeting. Conference Proceedings (Cat. No.01CH37194), Columbus, OH, USA, 28 January–1 February 2001; Volume 2, pp. 908–912. [Google Scholar]


























| Conditions | Sum of | |
|---|---|---|
| Initial case | 0.02 | 0.2231 |
| Heavy load | 0.05 | 0.5896 |
| Including RES generation | 0.02 | 0.2221 |
| Compensated voltage (optimized) | less than 0.01 | 0.098 |
| Commercial | Residential | PV | |
|---|---|---|---|
| All data size | 14,976 (building, one day) | 3045 (house, one day) | 365 (day) |
| cluster number k | 9 | 9 | 10 |
| Phase a | max 45 (kW) | max 30 (kW) | max 40 (kW) |
| Phase b | 30 (kW) | max 20 (kW) | max 60 (kW) |
| Phase c | 20 (kW) | max 20 (kW) | max 60 (kW) |
| P | Q | (Proposed) | |||||||
|---|---|---|---|---|---|---|---|---|---|
| only | Proposed | only | Proposed | only | Proposed | ||||
| max | 8.80(%) | 2.51 (%) | 4.90 (%) | 1.65 (%) | 0.87 (%) | 0.89 (%) | |||
| Sum of | 16.24 | 6.03 | 14.24 | 7.67 | 3.93 | 5.00 | |||
| max ave. | 2.61 (%) | 0.80 (%) | 1.68 (%) | 0.48 (%) | 0.30 (%) | 0.30 (%) | |||
| (12:00) | (16:00) | (10:00) | (14:00) | (12:00) | (10:00) | ||||
| ave. | 0.55 (%) | 0.20 (%) | 0.48 (%) | 0.26(%) | 0.13 (%) | 0.17 (%) | |||
| max | 28.11 (%) | 7.57 (%) | 6.69 (%) | 3.82 (%) | 2.30 (%) | 2.07 (%) | |||
| Sum of | 47.76 | 22.51 | 19.70 | 9.65 | 14.90 | 14.02 | |||
| max ave. | 8.64 (%) | 2.51 (%) | 1.88 (%) | 1.05 (%) | 0.74 (%) | 0.74 (%) | |||
| (12:00) | (16:00) | (9:00) | (14:00) | (14:00) | (24:00) | ||||
| ave. | 1.60 (%) | 0.76 (%) | 0.66 (%) | 0.32 (%) | 0.50 (%) | 0.47 (%) | |||
| max | 37.43(%) | 9.10 (%) | 14.68 (%) | 5.64 (%) | 3.76 (%) | 3.55 (%) | |||
| Sum of | 89.44 | 45.91 | 44.4 | 35.20 | 30.70 | 29.62 | |||
| max ave. | 15.24 (%) | 3.89 (%) | 5.83 (%) | 2.55 (%) | 1.73 (%) | 1.78 (%) | |||
| (12:00) | (16:00) | (10:00) | (19:00) | (8:00) | (24:00) | ||||
| ave. | 3.01 (%) | 1.54 (%) | 1.49 (%) | 1.18(%) | 1.03 (%) | 1.00 (%) | |||
© 2020 by the authors. Licensee MDPI, Basel, Switzerland. This article is an open access article distributed under the terms and conditions of the Creative Commons Attribution (CC BY) license (http://creativecommons.org/licenses/by/4.0/).
Share and Cite
Shigenobu, R.; Nakadomari, A.; Hong, Y.-Y.; Mandal, P.; Takahashi, H.; Senjyu, T. Optimization of Voltage Unbalance Compensation by Smart Inverter. Energies 2020, 13, 4623. https://doi.org/10.3390/en13184623
Shigenobu R, Nakadomari A, Hong Y-Y, Mandal P, Takahashi H, Senjyu T. Optimization of Voltage Unbalance Compensation by Smart Inverter. Energies. 2020; 13(18):4623. https://doi.org/10.3390/en13184623
Chicago/Turabian StyleShigenobu, Ryuto, Akito Nakadomari, Ying-Yi Hong, Paras Mandal, Hiroshi Takahashi, and Tomonobu Senjyu. 2020. "Optimization of Voltage Unbalance Compensation by Smart Inverter" Energies 13, no. 18: 4623. https://doi.org/10.3390/en13184623
APA StyleShigenobu, R., Nakadomari, A., Hong, Y.-Y., Mandal, P., Takahashi, H., & Senjyu, T. (2020). Optimization of Voltage Unbalance Compensation by Smart Inverter. Energies, 13(18), 4623. https://doi.org/10.3390/en13184623

