Development and Results from Application of PCM-Based Storage Tanks in a Solar Thermal Comfort System of an Institutional Building—A Case Study
Abstract
1. Introduction
- the principle of operation of the solar heating and cooling system before modernization, which is located at the University of Almeria in Spain (project leader location),
- the selection of phase change material by a group from the University of Antofagasta in Chile,
- the calculation of the building’s energy, and the selection of the tank size and PCM material, which was carried out by a group from Wroclaw University of Science and Technology in Poland,
- the experimental research of the modernized system, which was carried out by the project leader group,
- the exergy analysis performed by the Bolivian Catholic University in Bolivia,
- a summary and conclusions from the conducted research.
2. Project Description
- WP1: Selection and enhancement of materials;
- WP2: Modelling of the melting and freezing transitions of single encapsulated PCM;
- WP3: Simulations of cold and hot storage tanks based on encapsulated PCMs units;
- WP4: Exploitation;
- WP5: Feasibility analysis and life cycle assessment.
Heating and Cooling System of the CIESOL Building before Changes
3. Materials and Methods
3.1. Strategy for Design and Selection of Material
3.2. Modelling of the Melting and Freezing Transitions of Single Encapsulated PCM
3.3. Building Needs Calculations and System Design
3.4. Mathematical Modelling of Heat Transfer Processes
4. Results
4.1. Final System Configuration
- Installation of two vertical cylinders with a volume of ca. 2000 L each and their thermal isolation—December 2018.
- Filling both tanks with cold and warm PCMs, as well as water—April 2019.
- Installation of three new three-way valves, two new temperature sensors per tank and SCADA connections for data collecting—May 2019.
4.2. Operation Characteristics of the Heating and Cooling System
5. Exergy Analysis
6. Conclusions
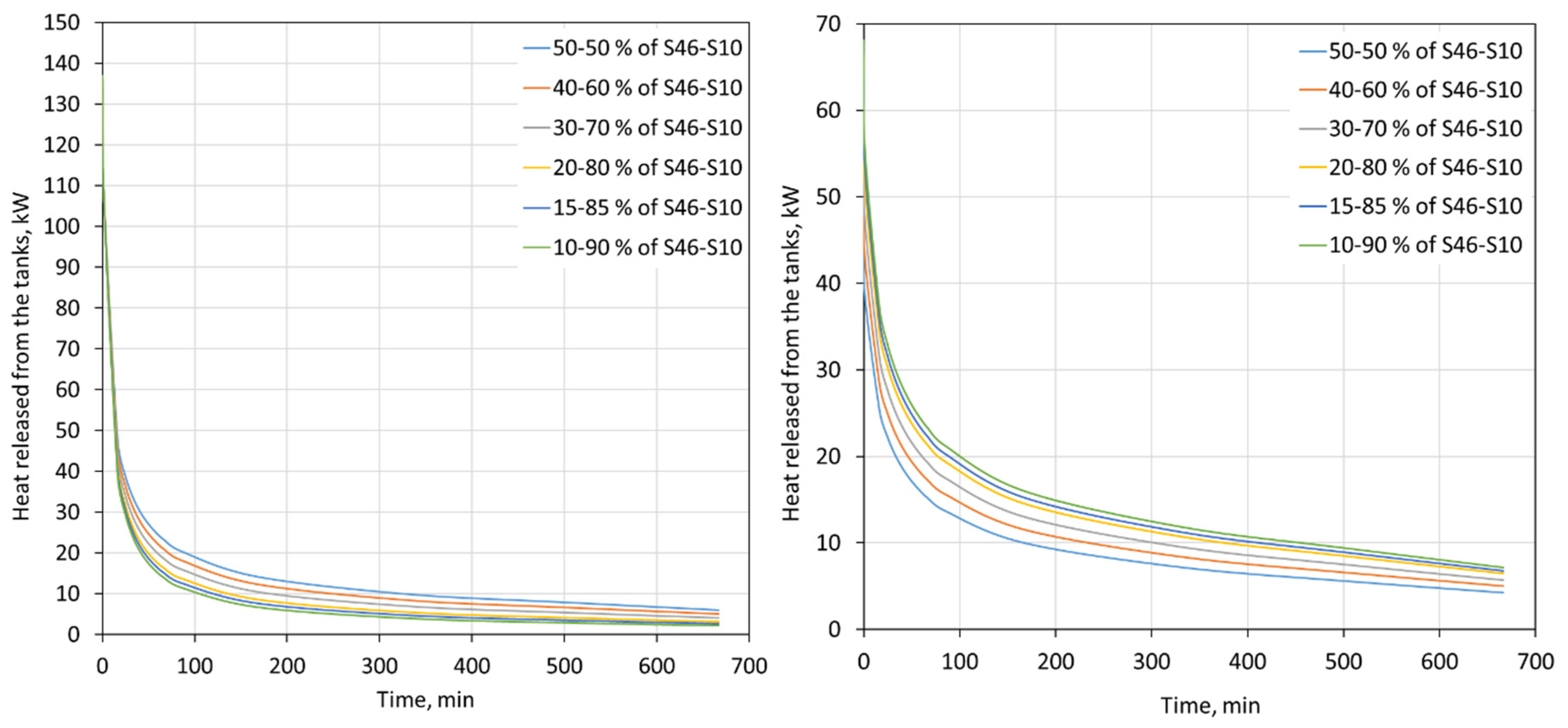
- During the initial design works, it was proposed to use two new phase change materials for the cooling system, and one, based on waste material (bischofite), for the heating system. The analysis of the building’s operation carried out during the year allows the real demands of the heating and cooling system to be determined. The average daily demand for cooling power in summer reaches 40 kW, while in winter the average demand for heating power does not exceed 10 kW. The presented results of the simulation of the process of discharging the tanks with the PCM showed that the heat stream that is transferred between the PCM and water quickly decreases during the discharging of the tank. This can cause problems with restoring all the heat accumulated in the PCM material if the power of the tanks will be lower than the heating demands.
- Finally, commercial S10 material was used for cooling. The PCM tanks can provide cooling for more than 11 h per day, with a high energy saving; only 14.5 kWh are consumed in this time interval. According to our records, cooling is required for almost 150 days per year, implying that energy saving when using the solar chiller with PCM tanks amounts to 15,000 kWh during the cooling season.
- S46 was used as the heat accumulating material. It was decided that only 15% of the PCM in the storage tanks has a melting temperature in the appropriate range for the heating application. The small amount of S46 is due to the small heating demands of the building. However, it should be remembered that heat is also accumulated in S10, in the form of sensible heat, as well as in water, which fills the free space in the tanks.
- The exergy analysis shows that it is very important to operate the solar collectors and the absorption chiller under the most favorable conditions in order to improve efficiency. The introduction of PCMs will lower the efficiency due to the fact that additional heat transfer operations are needed to charge and discharge the PCMs.
- In the present case it would be convenient to use S83 PCM to store heat as this allows to reduce significantly the storage volume and allows a higher flexibility given the mismatch between the intensity of cooling needs and the available solar radiation.
- The environmental trade-off weaknesses and the effects on the environment, either direct or indirect, will be studied with a life cycle assessment. This last WP will be finalized with the elaboration of a business model where the economic balance, in particular the payback period, is estimated in order to assess the viability of these kinds of applications.
Author Contributions
Funding
Conflicts of Interest
References
- Cunha, S.R.; Aguiar, J.L. Phase change materials and energy efficiency of buildings: A review of knowledge. J. Energy Storage 2020, 27, 101083. [Google Scholar] [CrossRef]
- Kalidasan, B.; Pandey, A.K.; Shahabuddin, S.; Samykano, M.; Thirugnanasambandam, M.; Saidur, R. Phase change materials integrated solar thermal energy systems: Global trends and current practices in experimental approaches. J. Energy Storage 2020, 27, 101118. [Google Scholar]
- Mofijur, M.; Mahlia, T.M.I.; Silitonga, A.S.; Ong, H.C.; Silakhori, M.; Hasan, M.H.; Putra, N.; Rahman, S.M.A. Phase Change Materials ( PCM ) for Solar Energy Usages and Storage: An Overview. Energies 2019, 12, 3167. [Google Scholar] [CrossRef]
- Huang, H.; Wang, Z.; Zhang, H.; Dou, B.; Huang, X.; Liang, H.; Goula, M.A. An experimental investigation on thermal stratification characteristics with PCMs in solar water tank. Sol. Energy 2019, 177, 8–21. [Google Scholar] [CrossRef]
- Wang, Z.; Zhang, H.; Dou, B.; Zhang, G.; Wu, W.; Zhou, L. An experimental study for the enhancement of stratification in heat-storage tank by equalizer and PCM module. J. Energy Storage 2020, 27, 101010. [Google Scholar] [CrossRef]
- Bazri, S.; Badruddin, I.A.; Naghavi, M.S.; Seng, O.K.; Wongwises, S. An analytical and comparative study of the charging and discharging processes in a latent heat thermal storage tank for solar water heater system. Sol. Energy 2019, 185, 424–438. [Google Scholar] [CrossRef]
- Zhao, J.; Ji, Y.; Yuan, Y.; Zhang, Z.; Lu, J. Energy-saving analysis of solar heating system with PCM storage tank. Energies 2018, 11, 237. [Google Scholar] [CrossRef]
- Stropnik, R.; Koželj, R.; Zavrl, E.; Stritih, U. Improved thermal energy storage for nearly zero energy buildings with PCM integration. Sol. Energy 2019, 190, 420–426. [Google Scholar] [CrossRef]
- Lu, S.; Zhang, T.; Chen, Y. Study on the performance of heat storage and heat release of water storage tank with PCMs. Energy Build. 2018, 158, 1770–1780. [Google Scholar] [CrossRef]
- Afshan, M.E.; Selvakumar, A.S.; Velraj, R.; Rajaraman, R. Effect of aspect ratio and dispersed PCM balls on the charging performance of a latent heat thermal storage unit for solar thermal applications. Renew. Energy 2020, 148, 876–888. [Google Scholar] [CrossRef]
- Lafri, D.; Semmar, D.; Hamid, A.; Ouzzane, M. Experimental investigation on combined sensible and latent heat storage in two different configurations of tank filled with PCM. Appl. Therm. Eng. 2019, 149, 625–632. [Google Scholar] [CrossRef]
- Abdelsalam, M.Y.; Teamah, H.M.; Lightstone, M.F.; Cotton, J.S. Hybrid thermal energy storage with phase change materials for solar domestic hot water applications: Direct versus indirect heat exchange systems. Renew. Energy 2020, 147, 77–88. [Google Scholar] [CrossRef]
- Senthil, R. Effect of uniform and variable fin height on charging and discharging of phase change material in a horizontal cylindrical thermal storage. Therm. Sci. 2019, 23, 1981–1988. [Google Scholar] [CrossRef]
- Lazzarin, R.; Noro, M.; Righetti, G.; Mancin, S. Application of hybrid PCM thermal energy storages with and without al foams in solar heating/cooling and ground source absorption heat pump plant: An energy and economic analysis. Appl. Sci. 2019, 9, 1005. [Google Scholar] [CrossRef]
- Dmitruk, A.; Naplocha, K.; Grzęda, J.; Kaczmar, J.W. Aluminum inserts for enhancing heat transfer in PCM accumulator. Materials 2020, 13, 415. [Google Scholar] [CrossRef]
- Prieto, C.; Cabeza, L.F. Thermal energy storage (TES) with phase change materials (PCM) in solar power plants (CSP). Concept and plant performance. Appl. Energy 2019, 254, 113646. [Google Scholar]
- Huang, H.; Xiao, Y.; Lin, J.; Zhou, T.; Liu, Y.; Zhao, Q. Improvement of the efficiency of solar thermal energy storage systems by cascading a PCM unit with a water tank. J. Clean. Prod. 2020, 245, 118864. [Google Scholar] [CrossRef]
- Lin, W.; Ma, Z.; McDowell, C.; Baghi, Y.; Banfield, B. Optimal design of a thermal energy storage system using phase change materials for a net-zero energy Solar Decathlon house. Energy Build. 2020, 208, 109626. [Google Scholar] [CrossRef]
- Henne, I.; Midttomme, K. Integrated Thermal Energy Storage Combining PCM Storage and borehole thermal energy storage—Western Norway University of Applied Sciences, Campus Kronstad, Bergen Norway. In Proceedings of the 14th International Conference on Energy Storage, Adana, Turkey, 25–28 April 2018. [Google Scholar]
- Jokiel, M.; Kauko, H.; Schlemminger, C.; Hafner, A.; Claussen, I.C. Phase change material thermal energy storage for a large scale ammonia chiller/heat pump system. In Proceedings of the 7th IIR Conference: Ammonia and CO2 Refrigeration Technologies, Ohrid, Macedonia, 11–13 May 2017. [Google Scholar]
- Englmair, G.; Kong, W.; Berg, J.B.; Furbo, S.; Fan, J. Demonstration of a solar combi-system utilizing stable supercooling of sodium acetate trihydrate for heat storage. Appl. Therm. Eng. 2020, 166, 114647. [Google Scholar] [CrossRef]
- Ushak, S.; Vega, M.; Lovera-Copa, J.A.; Pablo, S.; Lujan, M.; Grageda, M. Thermodynamic modeling and experimental verification of new eutectic salt mixtures as thermal energy storage materials. Sol. Energy Mater. Sol. Cells 2020, 209, 110475. [Google Scholar] [CrossRef]
- Lovera-Copa, J.A.; Ushak, S.; Reinaga, N.; Villalobos, I.; Martínez, F.R. Design of phase change materials based on salt hydrates for thermal energy storage in a range of 4–40 °C. J. Therm. Anal. Calorim. 2020, 139, 3701–3710. [Google Scholar] [CrossRef]
- Nagano, K.; Ogawa, K.; Mochida, T.; Hayashi, K.; Ogoshi, H. Thermal characteristics of magnesium nitrate hexahydrate and magnesium chloride hexahydrate mixture as a phase change material for effective utilization of urban waste heat. Appl. Therm. Eng. 2004, 24, 221–232. [Google Scholar] [CrossRef]
- Ushak, S.; Gutierrez, A.; Galleguillos, H.; Fernandez, A.G.; Cabeza, L.F.; Grágeda, M. Thermophysical characterization of a by-product from the non-metallic industry as inorganic PCM. Sol. Energy Mater. Sol. Cells 2015, 132, 385–391. [Google Scholar] [CrossRef]
- Gasia, J.; Gutierrez, A.; Peiró, G.; Miró, L.; Grageda, M.; Ushak, S.; Cabeza, L.F. Thermal performance evaluation of bischofite at pilot plant scale. Appl. Energy 2015, 155, 826–833. [Google Scholar] [CrossRef]
- Galazutdinova, Y.; Grágeda, M.; Cabeza, L.F.; Ushak, S. Novel inorganic binary mixture for low-temperature heat storage applications. Int. J. Energy Res. 2017, 41, 2356–2364. [Google Scholar] [CrossRef]
- Galazutdinova, Y.; Vega, M.; Grágeda, M.; Cabeza, L.F.; Ushak, S. Preparation and characterization of an inorganic magnesium chloride/nitrate/graphite composite for low temperature energy storage. Sol. Energy Mater. Sol. Cells 2018, 175, 60–70. [Google Scholar] [CrossRef]
- Romero-Cano, M.S.; Puertas, A.M.; Rosiek, S.; Batlles, F.J. Kinetics of freezing and melting of encapsulated phase change materials with effective convection: Experiments and simulations. Numer. Heat Transf. Part A Appl. 2019, 76, 909–924. [Google Scholar] [CrossRef]
- EN 12831-1:2017 Energy Performance of Buildings—Method for Calculation of the Design Heat Load—Part 1: Space Heating Load, Module M3-3; European Committee for Standardization CEN-CENELEC Management Centre: Brussels, Belgium, 2017.
- Rosiek, S.; Batlles, F.J. Renewable energy solutions for building cooling, heating and power system installed in an institutional building: Case study in southern Spain. Renew. Sustain. Energy Rev. 2013, 26, 147–168. [Google Scholar] [CrossRef]
- Gil, B.; Rosiek, S.; Kasperski, J.; Nemś, M.; Nemś, A. Analysis of heat gains in a real research building: The difference in the need of air conditioning systems for various locations around the world. In Proceedings of the 29th International Conference on Efficiency, Cost, Optimisation, Simulation and Environmental Impact of Energy Systems, Wrocław, Poland, 23–28 June 2020; Stanek, W., Gładysz, P., Werle, S., Adamczyk, W., Eds.; Institute of Thermal Technology, Silesian University of Technology: Gliwice, Poland, 2019; pp. 2557–2568. [Google Scholar]
- Nemś, A.; Nemś, M.; Rosiek, S.; Puertas, A.; Gil, B.; Kasperski, J.; Batlles, F.J. Modeling of the discharging process of a heat storage tank filled with PCM to cover the heat demand of a building. In Proceedings of the ISES Solar World Conference 2019 and the IEA SHC Solar Heating and Cooling Conference for Buildings and Industry, Santiago, Chile, 4–7 November 2019; Cardemil, J.M., Guthrie, K., Rüther, R., Eds.; International Solar Energy Society: Freiburg im Breisgau, Germany, 2019; pp. 1341–1352. [Google Scholar]
- Phase Change Material Products Limited. Available online: http://www.pcmproducts.net/ (accessed on 2 April 2020).
- Martínez-Paz, J.; Almansa, C.; Casasnovas, V.; Colino, J. Pooling Expert Opinion on Environmental Discounting: An International Delphi Survey. Conserv. Soc. 2016, 14, 243–253. [Google Scholar] [CrossRef]
- Wark, K.; Richards, D.E. Termodinámica, 6th ed.; McGraw-Hill: Madrid, Spain, 2001. [Google Scholar]
- Gouy, G. Sur l’énergie utilisable. J. Phys. Theor. Appl. 1889, 8, 501–518. [Google Scholar] [CrossRef]
- Photovoltaic Geographical Information System (PVGIS). Available online: http://re.jrc.ec.europa.eu/pvgis/ (accessed on 10 February 2018).




















| Mixture Components | Mass Ratio | Cp(s) | Cp(l) | ρ(s) | ρ(l) | η* | T m | ΔHm |
|---|---|---|---|---|---|---|---|---|
| kJ kg−1 K−1 | kJ kg−1 K−1 | kg m−3 | kg m−3 | cP | C° | kJ kg−1 | ||
| LiNO3⋅3H2O: NaNO3: Mn(NO3)2⋅6H2O | 24.2: 3.0: 72.8 | 1.535 (273 K) | 2.500 (290 K) | 1.753 (273 K) | 1.655 | 18.18 | 10.8 | 172.5 |
| LiNO3⋅3H2O: Mn(NO3)2⋅6H2O: Mg(NO3)2⋅6H2O | 22.9: 68.6: 8.5 | 1.250 (270 K) | 2.428 (305 K) | 1.679 (273 K) | 1.638 | 18.15 | 13.1 | 152.8 |
| PCM\Proportions, % | 50–50 | 40–60 | 30–70 | 20–80 | 15–85 | 10–90 |
|---|---|---|---|---|---|---|
| S46 | 90 | 72 | 54 | 36 | 27 | 18 |
| S10 | 90 | 108 | 126 | 144 | 153 | 162 |
| PCM | Tm | ρ | ΔH | Cp | λ (s) | Max Temp. |
|---|---|---|---|---|---|---|
| °C | g/cm3 | kJ/kg | kJ/(kg K) | W/m K | °C | |
| S10 | 10 | 1.47 | 170 | 1.90 | 0.43 | 60 |
| S46 | 46 | 1.59 | 210 | 2.41 | 0.45 | 60 |
| Component | Electric Consump. (kWh) | Operation Time |
|---|---|---|
| Solar cooling (SC) | 33.5 | 3 h 44′ |
| Pump (second. loop) | 14.5 | 11 h 9′ |
| Nocturnal conventional HVAC | 101.8 | 9 h 7′ |
| Total | 149.8 | 24 h |
| Conventional HVAC | 246.1 | 24 h |
| Component | Electric Consump. (kWh) | Operation Time |
|---|---|---|
| Solar heating (SH) | 10.5 | 2 h 59′ |
| PCM tanks | 14.3 | 21 h 1′ |
| Total | 24.8 | 24 h |
| Conventional HVAC | 99.93 | 24 h |
| Stage | Solar Collectors | Heat Storage | Chiller | Cold Storage | Overall |
|---|---|---|---|---|---|
| Efficiency | 5.42% | 89.0% | 35.2% | 88.9% | 1.51% |
© 2020 by the authors. Licensee MDPI, Basel, Switzerland. This article is an open access article distributed under the terms and conditions of the Creative Commons Attribution (CC BY) license (http://creativecommons.org/licenses/by/4.0/).
Share and Cite
Batlles, F.J.; Gil, B.; Ushak, S.; Kasperski, J.; Luján, M.; Maldonado, D.; Nemś, M.; Nemś, A.; Puertas, A.M.; Romero-Cano, M.S.; et al. Development and Results from Application of PCM-Based Storage Tanks in a Solar Thermal Comfort System of an Institutional Building—A Case Study. Energies 2020, 13, 3877. https://doi.org/10.3390/en13153877
Batlles FJ, Gil B, Ushak S, Kasperski J, Luján M, Maldonado D, Nemś M, Nemś A, Puertas AM, Romero-Cano MS, et al. Development and Results from Application of PCM-Based Storage Tanks in a Solar Thermal Comfort System of an Institutional Building—A Case Study. Energies. 2020; 13(15):3877. https://doi.org/10.3390/en13153877
Chicago/Turabian StyleBatlles, F. Javier, Bartosz Gil, Svetlana Ushak, Jacek Kasperski, Marcos Luján, Diana Maldonado, Magdalena Nemś, Artur Nemś, Antonio M. Puertas, Manuel S. Romero-Cano, and et al. 2020. "Development and Results from Application of PCM-Based Storage Tanks in a Solar Thermal Comfort System of an Institutional Building—A Case Study" Energies 13, no. 15: 3877. https://doi.org/10.3390/en13153877
APA StyleBatlles, F. J., Gil, B., Ushak, S., Kasperski, J., Luján, M., Maldonado, D., Nemś, M., Nemś, A., Puertas, A. M., Romero-Cano, M. S., Rosiek, S., & Grageda, M. (2020). Development and Results from Application of PCM-Based Storage Tanks in a Solar Thermal Comfort System of an Institutional Building—A Case Study. Energies, 13(15), 3877. https://doi.org/10.3390/en13153877

