Numerical Assessment of Heat Transfer and Entropy Generation of a Porous Metal Heat Sink for Electronic Cooling Applications
Abstract
1. Introduction
2. Problem Configuration and Assumption
- The flow is steady, laminar, incompressible, and fully developed from hydrodynamics and thermal aspects.
- Thermal resistance between the hot surface of the electronic device and the porous medium is neglected.
- The thermo-physical properties of the porous medium are constant.
- The porosity and pore density of the porous medium are varied parametrically in the range of and Part Per Inches (PPI).
- The porous medium is assumed rigid, isotropic, and homogeneous and completely saturated with fluid.
- Between the solid phase and the fluid phase of the porous medium, local thermal non-equilibrium conditions may exist.
3. Mathematical Formulation of the Problem
3.1. Steady Momentum and Energy Equations
- case A: The sum of the heat flux obtained from the solid phase and the fluid phase of the porous medium equals the imposed heat flux (null flux, for the case at hand).
- case B: it is assumed that the heat flux of the fluid phase and the solid phase are zero, respectively. In other words, the temperature gradient for the fluid and solid phase is zero [39].
3.2. Entropy Generation for LTNE Model
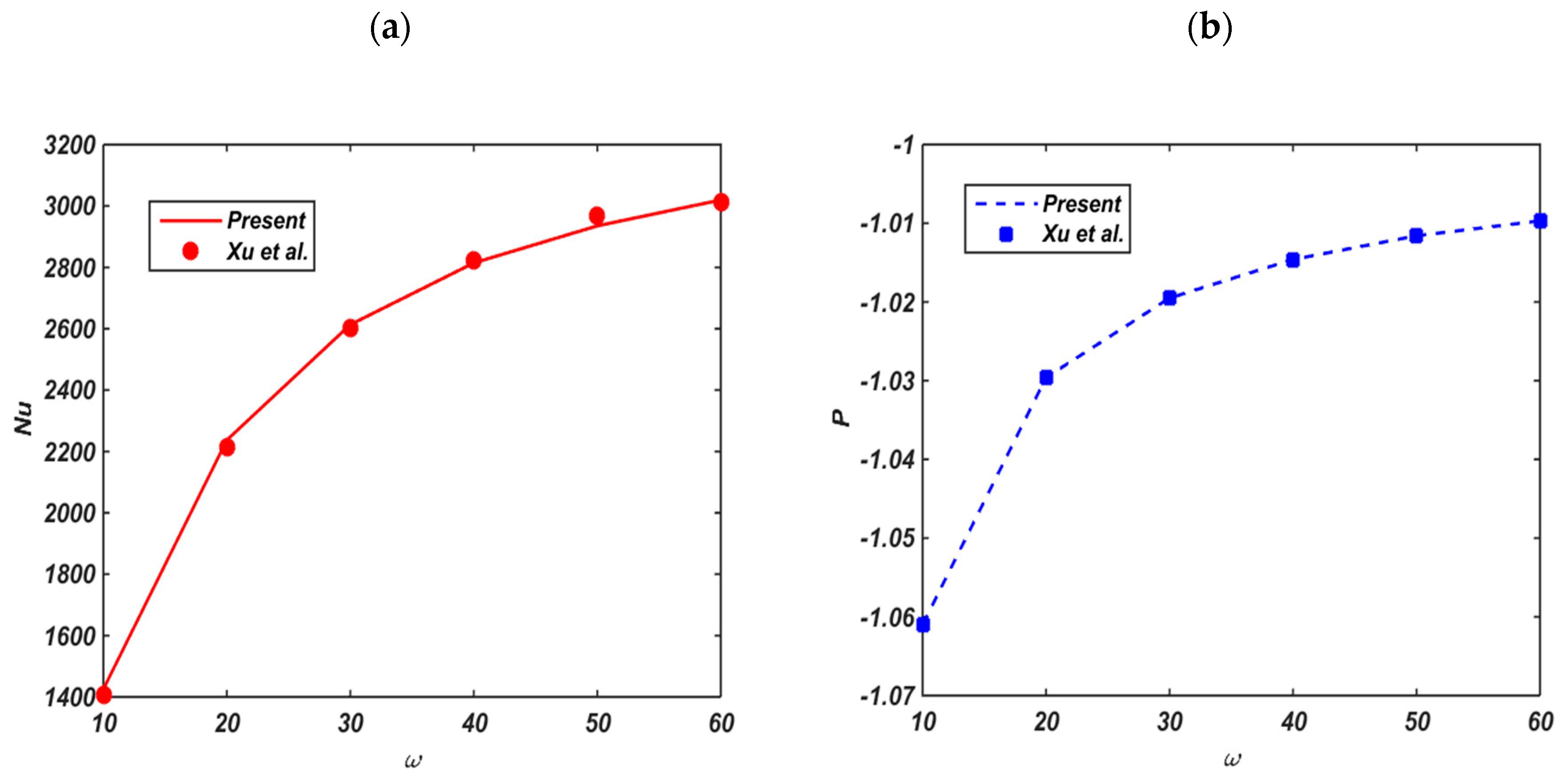
4. Numerical Model and Validation
5. Results and Discussion
5.1. Comparison of the LTNE Model and LTE Model
5.2. Velocity and Temperature Distribution
5.3. Entropy Generation Analysis
6. Conclusions
- When the temperature difference between solid and fluid phases are considerable, results stemming from the LTE model are accompanied by error, as employing the LTE model omits the entropy generation caused by heat transfer between the fluid and solid phases.
- When the fluid–solid-phase thermal conductivity ratio is equal to 1 or the Biot number has a large value, the difference between the temperature of the solid and the fluid phases decreases.
- Increasing the pore density and reducing the porosity increases the velocity gradient in the areas close to the walls and reduce the maximum velocity in the middle plane of the channel.
- The lower the porosity, the lower the thermal resistance and the closer the temperature profile to the temperature of the hot wall.
- Increasing the pore density and reducing porosity reduces the total irreversibility.
- Heat transfer irreversibility has a large contribution to the total irreversibility, thus, the Bejan number has values close to 1. In addition, increasing the pore density and reducing the porosity cause a decrease in the Bejan number.
Author Contributions
Funding
Conflicts of Interest
Nomenclature
| Surface area density of metal-foam | u | velocity (m/s) | |
| Bejan number | Specific velocity | ||
| Brinkman number | U | Dimensionless velocity | |
| Constant value | Dimensionless mean velocity | ||
| Specific heat (J/kg.K) | x, y | Cartesian coordinates (m) | |
| Da | Darcy number | Y | Dimensionless y coordinate |
| H | Channel height (m) | Greek Symbols | |
| porosity | |||
| K | Permeability (m2) | ω | Pore density (Pore Per Inch, PPI) |
| k | Thermal conductivity (W/m.K) | μ | Dynamic viscosity (Pa.s) |
| L | Channel length (m) | θ | Dimensionless temperature |
| Dimensionless heat transfer irreversibility | ρ | Density (kg/m3) | |
| Dimensionless fluid friction irreversibility | Ω | Constant value | |
| Dimensionless total irreversibility | Subscripts | ||
| p | Pressure (Pa) | e | Effective |
| P | Dimensionless pressure | f | Fluid phase |
| Pr | Prandtl number | s | Solid phase |
| Heat flux (W/ m2) | te | Thermal equilibrium | |
| Re | Reynolds number | T | Temperature (K) |
References
- Al-Rashed, M.H.; Dzido, G.; Korpyś, M.; Smołka, J.; Wójcik, J. Investigation on the CPU nanofluid cooling. Microelectron. Reliab. 2016, 63, 159–165. [Google Scholar] [CrossRef]
- Sahoo, S.K.; Das, M.K.; Rath, P. Application of TCE-PCM based heat sinks for cooling of electronic components: A review. Renew. Sustain. Energy Rev. 2016, 59, 550–582. [Google Scholar] [CrossRef]
- Izadi, A.; Abdipour, M.; Rasam, H. MHD forced convection of nanofluid flow in an open-cell metal foam heatsink under LTNE conditions. J. Therm. Anal. Calorim. 2020, 1–11. [Google Scholar] [CrossRef]
- Zhuang, D.; Yang, Y.; Ding, G.; Du, X.; Hu, Z. Optimization of Microchannel Heat Sink with Rhombus Fractal-like Units for Electronic Chip Cooling. Int. J. Refrig. 2020, 116, 108–118. [Google Scholar] [CrossRef]
- Ghasemi, S.E.; Ranjbar, A.; Hosseini, M. Experimental and numerical investigation of circular minichannel heat sinks with various hydraulic diameter for electronic cooling application. Microelectron. Reliab. 2017, 73, 97–105. [Google Scholar] [CrossRef]
- Okonkwo, E.C.; Wole-Osho, I.; Almanassra, I.W.; Abdullatif, Y.M.; Al-Ansari, T. An updated review of nanofluids in various heat transfer devices. J. Therm. Anal. Calorim. 2020, 1–56. [Google Scholar] [CrossRef]
- Fedorov, A.G.; Viskanta, R. Three-dimensional conjugate heat transfer in the microchannel heat sink for electronic packaging. Int. J. Heat Mass Transf. 2000, 43, 399–415. [Google Scholar] [CrossRef]
- Kumar, P.M.; Kumar, C.A. Numerical study on heat transfer performance using Al2O3/water nanofluids in six circular channel heat sink for electronic chip. Mater. Today Proc. 2020, 21, 194–201. [Google Scholar] [CrossRef]
- Sarafraz, M.; Arya, A.; Hormozi, F.; Nikkhah, V. On the convective thermal performance of a CPU cooler working with liquid gallium and CuO/water nanofluid: A comparative study. Appl. Therm. Eng. 2017, 112, 1373–1381. [Google Scholar] [CrossRef]
- Whelan, B.; Kempers, R.; Robinson, A. A liquid-based system for CPU cooling implementing a jet array impingement waterblock and a tube array remote heat exchanger. Appl. Therm. Eng. 2012, 39, 86–94. [Google Scholar] [CrossRef]
- Mohebbi, R.; Rasam, H. Numerical simulation of conjugate heat transfer in a square cavity consisting the conducting partitions by utilizing lattice Boltzmann method. Phys. A Stat. Mech. Its Appl. 2019, 546, 123050. [Google Scholar] [CrossRef]
- Izadi, A.; Siavashi, M.; Xiong, Q. Impingement jet hydrogen, air and CuH2O nanofluid cooling of a hot surface covered by porous media with non-uniform input jet velocity. Int. J. Hydrog. Energy 2019, 44, 15933–15948. [Google Scholar] [CrossRef]
- Moosaie, A.; Shekouhi, N.; Nouri, N.; Manhart, M. An algebraic closure model for the DNS of turbulent drag reduction by Brownian microfiber additives in a channel flow. J. Non-Newton. Fluid Mech. 2015, 226, 60–66. [Google Scholar] [CrossRef]
- Xu, H.; Gong, L.; Huang, S.; Xu, M. Non-equilibrium heat transfer in metal-foam solar collector with no-slip boundary condition. Int. J. Heat Mass Transf. 2014, 76, 357–365. [Google Scholar] [CrossRef]
- Xu, H.; Gong, L.; Zhao, C.; Yang, Y.; Xu, Z. Analytical considerations of local thermal non-equilibrium conditions for thermal transport in metal foams. Int. J. Therm. Sci. 2015, 95, 73–87. [Google Scholar] [CrossRef]
- Zhang, Y.; Long, E.; Zhang, M. Experimental study on heat sink with porous copper as conductive material for CPU cooling. Mater. Today Proc. 2018, 5, 15004–15009. [Google Scholar] [CrossRef]
- Bayomy, A.; Saghir, M.; Yousefi, T. Electronic cooling using water flow in aluminum metal foam heat sink: Experimental and numerical approach. Int. J. Therm. Sci. 2016, 109, 182–200. [Google Scholar] [CrossRef]
- Izadi, A.; Siavashi, M.; Rasam, H.; Xiong, Q. MHD enhanced nanofluid mediated heat transfer in porous metal for CPU cooling. Appl. Therm. Eng. 2020, 168, 114843. [Google Scholar] [CrossRef]
- Wang, L.C.; Wang, Y.L.; Wang, C.X. Analysis of factors influencing CPU heat dissipation of porous magnesium. In Materials Science Forum; Trans Tech Publications Ltd.: Stafa-Zurich, Switzerland, 2013; Volume 747, pp. 463–469. [Google Scholar]
- Wan, Z.; Liu, J.; Su, K.; Hu, X. Flow and heat transfer in porous micro heat sink for thermal management of high power LEDs. Microelectron. J. 2011, 42, 632–637. [Google Scholar] [CrossRef]
- Siavashi, M.; Rasam, H.; Izadi, A. Similarity solution of air and nanofluid impingement cooling of a cylindrical porous heat sink. J. Therm. Anal. Calorim. 2019, 135, 1399–1415. [Google Scholar] [CrossRef]
- Nield, D.A.; Bejan, A. Heat transfer through a porous medium. In Convection in Porous Media; Springer: Berlin/Heidelberg, Germany, 2013; pp. 31–46. [Google Scholar]
- Nield, D.A.; Bejan, A. Convection in Porous Media; Springer: Berlin/Heidelberg, Germany, 2006. [Google Scholar]
- Nield, D. The modeling of viscous dissipation in a saturated porous medium. J. Heat Transf. 2007, 129, 1459–1463. [Google Scholar] [CrossRef]
- Cai, Y.; Wang, W.-W.; Ding, W.-T.; Yang, G.-B.; Liu, D.; Zhao, F.-Y. Entropy generation minimization of thermoelectric systems applied for electronic cooling: Parametric investigations and operation optimization. Energy Convers. Manag. 2019, 186, 401–414. [Google Scholar] [CrossRef]
- Malik, S.; Nayak, A. MHD convection and entropy generation of nanofluid in a porous enclosure with sinusoidal heating. Int. J. Heat Mass Transf. 2017, 111, 329–345. [Google Scholar] [CrossRef]
- Torabi, M.; Zhang, K. Temperature distribution, local and total entropy generation analyses in MHD porous channels with thick walls. Energy 2015, 87, 540–554. [Google Scholar] [CrossRef]
- Bejan, A. General criterion for rating heat-exchanger performance. Int. J. Heat Mass Transf. 1978, 21, 655–658. [Google Scholar] [CrossRef]
- Bejan, A.; Kestin, J. Entropy generation through heat and fluid flow. J. Appl. Mech. 1983, 50, 475. [Google Scholar] [CrossRef]
- Buonomo, B.; Manca, O.; Lauriat, G. Forced convection in micro-channels filled with porous media in local thermal non-equilibrium conditions. Int. J. Therm. Sci. 2014, 77, 206–222. [Google Scholar] [CrossRef]
- Ting, T.W.; Hung, Y.M.; Guo, N. Entropy generation of viscous dissipative nanofluid flow in thermal non-equilibrium porous media embedded in microchannels. Int. J. Heat Mass Transf. 2015, 81, 862–877. [Google Scholar] [CrossRef]
- Ting, T.W.; Hung, Y.M.; Guo, N. Entropy generation of viscous dissipative nanofluid convection in asymmetrically heated porous microchannels with solid-phase heat generation. Energy Convers. Manag. 2015, 105, 731–745. [Google Scholar] [CrossRef]
- Singh, H.; Randhawa, H.S. Numerically Study on Heat Transfer Performance of Micro Channels Heat Sink with Different Shape by using N-Octane. Int. J. Innov. Res. Sci. Technol. 2015, 1, 63–67. [Google Scholar]
- Ting, T.W.; Hung, Y.M.; Guo, N. Viscous dissipative forced convection in thermal non-equilibrium nanofluid-saturated porous media embedded in microchannels. Int. Commun. Heat Mass Transf. 2014, 57, 309–318. [Google Scholar] [CrossRef]
- Torabi, M.; Zhang, K.; Yang, G.; Wang, J.; Wu, P. Heat transfer and entropy generation analyses in a channel partially filled with porous media using local thermal non-equilibrium model. Energy 2015, 82, 922–938. [Google Scholar] [CrossRef]
- Xu, H.; Qu, Z.; Tao, W. Analytical solution of forced convective heat transfer in tubes partially filled with metallic foam using the two-equation model. Int. J. Heat Mass Transf. 2011, 54, 3846–3855. [Google Scholar] [CrossRef]
- Qu, Z.; Xu, H.; Tao, W. Fully developed forced convective heat transfer in an annulus partially filled with metallic foams: An analytical solution. Int. J. Heat Mass Transf. 2012, 55, 7508–7519. [Google Scholar] [CrossRef]
- Yang, K.; You, X.; Wang, J.; Vafai, K. Analysis of two approaches for an adiabatic boundary condition in porous media. Int. J. Numer. Methods Heat Fluid Flow 2016, 26, 977–998. [Google Scholar] [CrossRef]
- Kim, S.; Kim, D.; Lee, D. On the local thermal equilibrium in microchannel heat sinks. Int. J. Heat Mass Transf. 2000, 43, 1735–1748. [Google Scholar] [CrossRef]
- Torabi, M.; Karimi, N.; Zhang, K. Heat transfer and second law analyses of forced convection in a channel partially filled by porous media and featuring internal heat sources. Energy 2015, 93, 106–127. [Google Scholar] [CrossRef]
- Hosseini, S.; Ghasemian, M.; Sheikholeslami, M.; Shafee, A.; Li, Z. Entropy analysis of nanofluid convection in a heated porous microchannel under MHD field considering solid heat generation. Powder Technol. 2019, 344, 914–925. [Google Scholar] [CrossRef]
- MATLAB. Mathwork. Available online: https://www.mathworks.com/help/matlab/ref/bvp4c.html (accessed on 20 June 2020).
- Xu, H.; Qu, Z.; Tao, W. Thermal transport analysis in parallel-plate channel filled with open-celled metallic foams. Int. Commun. Heat Mass Transf. 2011, 38, 868–873. [Google Scholar] [CrossRef]
- Salehpour, A.; Salehi, S.; Salehpour, S.; Ashjaee, M. Thermal and hydrodynamic performances of MHD ferrofluid flow inside a porous channel. Exp. Therm. Fluid Sci. 2018, 90, 1–13. [Google Scholar] [CrossRef]











| 1. Parameter | 2. Symbol | 3. Definition |
|---|---|---|
| 4. Biot number | 5. | 6. |
| 7. Brinkman number | 8. | 9. |
| 10. Darcy number | 11. | 12. |
| 13. Ratio of effective fluid thermal conductivity to that of solid | 14. | 15. |
| 16. Dimensionless velocity | 17. | 18. |
| 19. Dimensionless mean velocity | 20. | 21. |
| 22. Specific velocity | 23. | 24. |
| 25. Dimensionless x coordinate | 26. | 27. |
| 28. Dimensionless y coordinate | 29. | 30. |
| 31. Dimensionless temperature | 32. | 33. |
| ω | Nu (Ref. [43]) | Nu (Present) | Relative Error (%) | P (Ref. [43]) | P (Present) | Relative Error (%) |
|---|---|---|---|---|---|---|
| 10 | 1405.3 | 1425.3 | 1.4 | −1.0610 | −1.0610 | 0 |
| 20 | 2211.9 | 2237.2 | 1.1 | −1.0296 | −1.0296 | 0 |
| 30 | 2602.2 | 2613.4 | 0.4 | −1.0195 | −1.0195 | 0 |
| 40 | 2823.5 | 2814.5 | 0.3 | −1.0146 | −1.0146 | 0 |
| 50 | 2966.5 | 2935.2 | 1.0 | −1.0116 | −1.0116 | 0 |
| 60 | 3013.4 | 3019.7 | 0.2 | −1.0097 | −1.0097 | 0 |
| Parameters | Value |
|---|---|
| 997 | |
| 4179 | |
| 0.613 | |
| ks | 237 |
| (Pa.s) | |
| 0.88 | |
| (PPI) | 10 |
| H(m) | 0.005 |
| L/H | 30 |
| 104 | |
| Re | 150 |
© 2020 by the authors. Licensee MDPI, Basel, Switzerland. This article is an open access article distributed under the terms and conditions of the Creative Commons Attribution (CC BY) license (http://creativecommons.org/licenses/by/4.0/).
Share and Cite
Rasam, H.; Roy, P.; Savoldi, L.; Ghahremanian, S. Numerical Assessment of Heat Transfer and Entropy Generation of a Porous Metal Heat Sink for Electronic Cooling Applications. Energies 2020, 13, 3851. https://doi.org/10.3390/en13153851
Rasam H, Roy P, Savoldi L, Ghahremanian S. Numerical Assessment of Heat Transfer and Entropy Generation of a Porous Metal Heat Sink for Electronic Cooling Applications. Energies. 2020; 13(15):3851. https://doi.org/10.3390/en13153851
Chicago/Turabian StyleRasam, Hamed, Prosun Roy, Laura Savoldi, and Shabnam Ghahremanian. 2020. "Numerical Assessment of Heat Transfer and Entropy Generation of a Porous Metal Heat Sink for Electronic Cooling Applications" Energies 13, no. 15: 3851. https://doi.org/10.3390/en13153851
APA StyleRasam, H., Roy, P., Savoldi, L., & Ghahremanian, S. (2020). Numerical Assessment of Heat Transfer and Entropy Generation of a Porous Metal Heat Sink for Electronic Cooling Applications. Energies, 13(15), 3851. https://doi.org/10.3390/en13153851

