Study of Energy Compensation Techniques in Photovoltaic Solar Systems with the Use of Supercapacitors in Low-Voltage Networks
Abstract
1. Introduction
- (a)
 - Study of the dynamic behavior of solar irradiance in the Andean city.
 - (b)
 - Determination of the energy storage capacity with the algorithms proposed for Ecuador’s case study.
 - (c)
 - Application of a slow control system to control the state of charge (SOC) of the Supercapacitors.
 
2. Photovoltaic Power Fluctuations
3. Methodology
Description of the System under Study
4. Algorithms of Power Fluctuation Reduction in the PCC for PV Systems
4.1. Strategy Based on a Power Ramp Control Algorithm
4.2. Control Strategy Based on a First Order Low Pass Filter (LPF)
4.3. Control Strategy based on a Moving Average Algorithm
4.4. State of Charge Control (SOC) in the Bank of Supercapacitors
4.4.1. Sizing of the Storage System
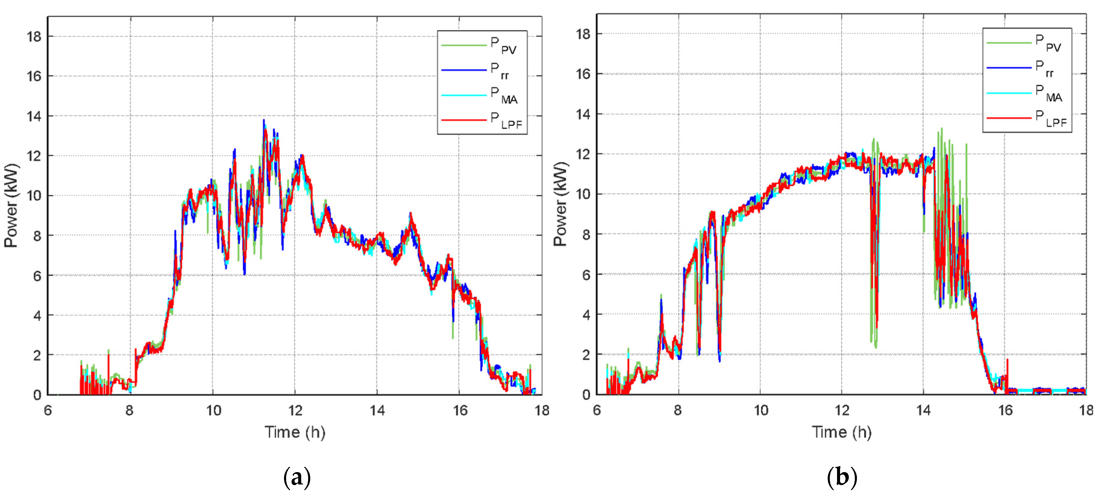
5. Results
6. Conclusions
Author Contributions
Funding
Conflicts of Interest
References
- Intenational Energy Agency. Global CO2 Emissions in 2019 Data & Statistics—IEA. 2020. Available online: https://www.iea.org/data-and-statistics?country=WORLD&fuel=Energy supply&indicator=Total primary energy supply (TPES) by source (accessed on 24 May 2020).
 - Intenational Energy Agency. Electricity Generation and Power Sector CO2 Emissions in Advanced Economies, 1971–2019—Charts—Data & Statistics—IEA. 2020. Available online: https://www.iea.org/data-and-statistics/charts/electricity-generation-and-power-sector-co2-emissions-in-advanced-economies-1971-2019 (accessed on 24 May 2020).
 - Global Hydropower Market “to See Compound Growth Rate of 2.4% Until 2030”—Energy Live News. Available online: https://www.energylivenews.com/2019/10/29/global-hydropower-market-to-see-compound-growth-rate-of-2-4-until-2030/ (accessed on 29 April 2020).
 - What Are the Most Used Renewable Energy Sources in the World? Available online: https://www.power-technology.com/features/featurethe-worlds-most-used-renewable-power-sources-4160168/ (accessed on 29 April 2020).
 - Intenational Energy Agency. Power—Renewables 2019—Analysis—IEA. Available online: https://www.iea.org/reports/renewables-2019/power (accessed on 17 May 2020).
 - Ma, W.; Wang, W.; Wu, X.; Hu, R.; Tang, F.; Zhang, W. Control strategy of a hybrid energy storage system to smooth photovoltaic power fluctuations considering photovoltaic output power curtailment. Sustainability 2019, 11, 5. [Google Scholar] [CrossRef]
 - Omran, W.A.; Kazerani, M.; Salama, M.M.A. A study of the impacts of power fluctuations generated from large PV systems. In Proceedings of the 1st IEEE-PES/IAS Conference on Sustainable Alternative Energy, Valencia, Spain, 28–30 September 2009. [Google Scholar] [CrossRef]
 - Solar PV—Analysis—IEA. Available online: https://www.iea.org/reports/solar-pv (accessed on 9 June 2020).
 - Mansouri, N.; Lashab, A.; Sera, D.; Guerrero, J.M.; Cherif, A. Large Photovoltaic Power Plants Integration: A Review of Challenges and Solutions. Energies 2019, 12, 3798. [Google Scholar] [CrossRef]
 - Ghaffarianfar, M.; Hajizadeh, A. Voltage stability of low-voltage distribution grid with high penetration of photovoltaic power units. Energies 2018, 11, 1960. [Google Scholar] [CrossRef]
 - Aziz, T.; Ketjoy, N. PV Penetration Limits in Low Voltage Networks and Voltage Variations. IEEE Access 2017, 5, 16784–16792. [Google Scholar] [CrossRef]
 - Rahimi, K.; Mohajeryami, S.; Majzoobi, A. Effects of Photovoltaic Systems on Power Quality. In Proceedings of the NAPS 2016—48th North American Power Symposium, Denver, CO, USA, 18–20 September 2016. [Google Scholar] [CrossRef]
 - Sahin, F.E.; Yilmaz, M. High concentration photovoltaics (HCPV) with diffractive secondary optical elements. Photonics 2019, 6, 68. [Google Scholar] [CrossRef]
 - Rodríguez-Gallegos, C.D.; Liu, H.; Gandhi, O.; Singh, J.P.; Krishnamurthy, V.; Kumar, A.; Stein, J.S.; Wang, S.; Li, L.; Reindl, T.; et al. Global Techno-Economic Performance of Bifacial and Tracking Photovoltaic Systems. Joule 2020. [Google Scholar] [CrossRef]
 - Sukič, P.; Štumberger, G. Intra-minute cloud passing forecasting based on a low cost IoT sensor—A solution for smoothing the output power of PV power plants. Sensors 2017, 17, 1116. [Google Scholar] [CrossRef] [PubMed]
 - Vahan, G.; Booth, S. Review of PREPA technical requirements for interconnecting wind and solar generation. Natl. Renew. Energy Lab. Tech. Rep. 2013. [Google Scholar] [CrossRef]
 - Amrouche, S.O.; Rekioua, D.; Rekioua, T.; Bacha, S. Overview of energy storage in renewable energy systems. Int. J. Hydrogen Energy 2016, 41, 20914–20927. [Google Scholar] [CrossRef]
 - Kolcun, M.; Vojtek, M.; Mikita, M.; Čonka, Z. Smoothing the Power Output of Photovoltaic Plant Using a Battery Energy Storage System Control. In Proceedings of the 8th International Scientific Symposium on Electrical Power Engineering, Stará Lesná, Slovakia, 16–18 September 2015; Available online: https://www.researchgate.net/publication/283858397_Smoothing_the_power_output_of_photovoltaic_plant_using_a_battery_energy_storage_system_control (accessed on 17 May 2020).
 - Ju, X.; Xu, C.; Hu, Y.; Han, X.; Wei, G.; Du, X. A review on the development of photovoltaic/concentrated solar power (PV-CSP) hybrid systems. Sol. Energy Mater. Sol. Cells 2017, 161, 305–327. [Google Scholar] [CrossRef]
 - Ishaque, K.; Salam, Z. A review of maximum power point tracking techniques of PV system for uniform insolation and partial shading condition. Renew. Sustain. Energy Rev. 2013, 19, 475–488. [Google Scholar] [CrossRef]
 - Espinoza, J.L.; Gonzalez, L.G.; Sempertegui, R. Micro Grid Laboratory as a Tool for Research on Non-Conventional Energy Sources in Ecuador. In Proceedings of the 2017 IEEE International Autumn Meeting on Power, Electronics and Computing, Ixtapa, Mexico, 8–10 November 2017; Volume 1, pp. 1–6. [Google Scholar] [CrossRef]
 - Campozano, E.S.L.; Célleri, R.; Trachte, K.; Bendix, J. Rainfall and Cloud Dynamics in the Andes: A Southern Ecuador Case Study. Adv. Meteorol. 2016, 2016, 15. [Google Scholar] [CrossRef]
 - Clima Promedio en Cuenca, Ecuador, Durante Todo el Año—Weather Spark. Available online: https://es.weatherspark.com/y/19348/Clima-promedio-en-Cuenca-Ecuador-durante-todo-el-año (accessed on 17 May 2020).
 - Bel, G.; Bandi, M.M. Geographic dependence of the solar irradiance spectrum at intermediate to high frequencies. Phys. Rev. Appl. 2019, 12, 024032. [Google Scholar] [CrossRef]
 - Vilani, M.T.; Sanches, L.; Pinto, O.B.; Nunes, G.M. Wavelets and Fourier Coefficients for Theanalysis of Solar Radiation in Varioustypologies of Occupation. 2017. Available online: https://www.revistaespacios.com/a17v38n14/17381426.html (accessed on 27 April 2020).
 - Olama, M.; Sharma, I.; Kuruganti, T.; Dong, J.; Nutaro, J.; Xue, Y. Spectral Analytics of Solar Photovoltaic Power Output for Optimal Distributed Energy Resource Utilization. In Proceedings of the IEEE Power and Energy Society General Meeting, Chicago, IL, USA, 16–20 July 2017; Volume 2018, pp. 1–5. [Google Scholar] [CrossRef]
 - Martins, J.; Spataru, S.; Sera, D.; Stroe, D.-I.; Lashab, A. Comparative Study of Ramp-Rate Control Algorithms for PV with Energy Storage Systems. Energies 2019, 12, 1342. [Google Scholar] [CrossRef]
 - Sukumar, S.; Marsadek, M.; Agileswari, K.R.; Mokhlis, H. Ramp-rate control smoothing methods to control output power fluctuations from solar photovoltaic (PV) sources—A review. J. Energy Storage 2018, 20, 218–229. [Google Scholar] [CrossRef]
 - Maxwell Technologies. Maxwell Technologies 48 Volt Modules—With New, Advanced DuraBlue Technology. 2020. Available online: https://www.maxwell.com/products/ultracapacitors/48v-module-with-durablue/documents (accessed on 9 May 2020).
 - Keshan, H.; Thornburg, J.; Ustun, T.S. Comparison of Lead-Acid and Lithium Ion Batteries for Stationary Storage in Off-Grid Energy Systems. IET Conf. Publ. 2016, 2016, 30–37. [Google Scholar] [CrossRef]
 - Benavides, D.; Arévalo, P.; Gonzalez, L.G.; Aguado, J.A. Analysis of different Storage Systems in the Energy Management of Microgrids. In Proceedings of the 5th International Conference on Advances on Clean Energy Research, Barcelona, Spain, 24–26 April 2020. [Google Scholar]
 - Sánchez, M.C. Estrategias de Control Para la Atenuación de Fluctuaciones de Potencia Mediante Sistemas de Almacenamiento en Una Planta Fotovoltaica, Trabajo Fin de Grado; Public University of Navarre: Navarra, Spain, 2015; p. 102. [Google Scholar]
 - Liu, H.; Peng, J.; Zang, Q.; Yang, K. Control Strategy of Energy Storage for Smoothing Photovoltaic Power Fluctuations. IFAC-PapersOnLine 2015, 48, 162–165. [Google Scholar] [CrossRef]
 - Ellis, A.; Schoenwald, D.; Hawkins, J.; Willard, S.; Arellano, B. PV Output Smoothing with Energy Storage. In Proceedings of the Conference Record of the IEEE Photovoltaic Specialists Conference, Austin, TX, USA, 3–8 June 2012; pp. 1523–1528. [Google Scholar] [CrossRef]
 - Moghaddam, I.N.; Chowdhury, B. Battery Energy Storage Sizing with Respect to PV-Induced Power Ramping Concerns in Distribution Networks. In Proceedings of the IEEE Power and Energy Society General Meeting, Chicago, IL, USA, 16–20 July 2017; 2018, pp. 1–5. [Google Scholar] [CrossRef]
 













© 2020 by the authors. Licensee MDPI, Basel, Switzerland. This article is an open access article distributed under the terms and conditions of the Creative Commons Attribution (CC BY) license (http://creativecommons.org/licenses/by/4.0/).
Share and Cite
González, L.G.; Chacon, R.; Delgado, B.; Benavides, D.; Espinoza, J. Study of Energy Compensation Techniques in Photovoltaic Solar Systems with the Use of Supercapacitors in Low-Voltage Networks. Energies 2020, 13, 3755. https://doi.org/10.3390/en13153755
González LG, Chacon R, Delgado B, Benavides D, Espinoza J. Study of Energy Compensation Techniques in Photovoltaic Solar Systems with the Use of Supercapacitors in Low-Voltage Networks. Energies. 2020; 13(15):3755. https://doi.org/10.3390/en13153755
Chicago/Turabian StyleGonzález, Luis Gerardo, Rommel Chacon, Bernardo Delgado, Dario Benavides, and Juan Espinoza. 2020. "Study of Energy Compensation Techniques in Photovoltaic Solar Systems with the Use of Supercapacitors in Low-Voltage Networks" Energies 13, no. 15: 3755. https://doi.org/10.3390/en13153755
APA StyleGonzález, L. G., Chacon, R., Delgado, B., Benavides, D., & Espinoza, J. (2020). Study of Energy Compensation Techniques in Photovoltaic Solar Systems with the Use of Supercapacitors in Low-Voltage Networks. Energies, 13(15), 3755. https://doi.org/10.3390/en13153755
        
