Investigation of Inorganic Phase Change Material for a Semi-Transparent Photovoltaic (STPV) Module
Abstract
1. Introduction
2. Materials and Methods
2.1. Materials
2.2. Experimentation
3. Results and Discussion
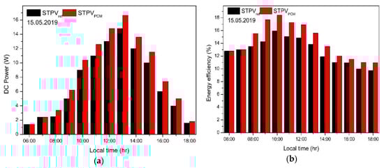
3.1. Electrical Performance of STPV
3.2. Thermal Performance of STPV
4. Conclusions
- The integration of the PCM reduced the instantaneous peak PV temperature to 9 °C during summer compared to the reference STPV module;
- The conversion efficiency of the STPV-PCM was improved by 9.4% compared to the reference STPV module;
- The STPV-PCM output power production was increased by 12.16% compared to the reference STPV module;
- The instantaneous peak solar heat gain of the building through the DCG window was observed as 325 W, while the STPV-PCM and STPV windows were 70 W and 75 W, respectively.
Author Contributions
Funding
Acknowledgments
Conflicts of Interest
References
- Kumar, N.M.; Yadav, S.K.; Chopra, S.S.; Bajpai, U.; Gupta, R.P.; Padmanaban, S.; Blaabjerg, F. Operational performance of on-grid solar photovoltaic system integrated into pre-fabricated portable cabin buildings in warm and temperate climates. Energy Sustain. Dev. 2020, 57, 109–118. [Google Scholar] [CrossRef]
- Reddy, K.P.; Gupta, M.V.N.; Nundy, S.; Karthick, A.; Ghosh, A. Status of BIPV and BAPV System for Less Energy-Hungry Building in India—A Review. Appl. Sci. 2020, 10, 2337. [Google Scholar] [CrossRef]
- Karthick, A.; Murugavel, K.K.; Kalaivani, L.; Saravana Babu, U. Performance study of building integrated photovoltaic modules. Adv. Build. Energy Res. 2018, 12, 178–194. [Google Scholar] [CrossRef]
- Naveen Chakkaravarthy, A.; Subathra, M.S.P.; Jerin Pradeep, P.; Manoj Kumar, N. Solar irradiance forecasting and energy optimization for achieving nearly net-zero energy building. J. Renew. Sustain. Energy 2018, 10, 035103. [Google Scholar] [CrossRef]
- Kumar, N.M.; Sudhakar, K.; Samykano, M. Performance comparison of BAPV and BIPV systems with c-Si, CIS and CdTe photovoltaic technologies under tropical weather conditions. Case Stud. Therm. Eng. 2019, 13, 100374. [Google Scholar] [CrossRef]
- Alrashidi, H.; Ghosh, A.; Issa, W.; Sellami, N.; Mallick, T.K.; Sundaram, S. Thermal performance of semi-transparent CdTe BIPV window at temperate climate. Sol. Energy 2020, 195, 536–543. [Google Scholar] [CrossRef]
- Ghosh, A.; Bhandari, S.; Sundaram, S.; Mallick, T.K. Carbon counter electrode mesoscopic ambient processed & characterised Perovskite for adaptive BIPV fenestration. Renew. Energy 2020, 145, 2151–2158. [Google Scholar]
- Roy, A.; Ghosh, A.; Bhandari, S.; Selvaraj, P.; Mallick, T.K.; Sundaram, S. Colour Comfort Evaluation of Dye Sensitized Solar Cells Glazing after Two Years of Ambient Exposure. J. Phys. Chem. C 2019, 123, 23834–23837. [Google Scholar] [CrossRef]
- Selvaraj, P.; Ghosh, A.; Mallick, T.K.; Sundaram, S. Investigation of semi- transparent dye-sensitized solar cells for fenestration integration. Renew. Energy 2019, 141, 516–525. [Google Scholar] [CrossRef]
- Ghosh, A.; Sundaram, S.; Mallick, T.K. Investigation of thermal and electrical performances of a combined semi-transparent PV-vacuum glazing. Appl. Energy 2018, 228, 1591–1600. [Google Scholar] [CrossRef]
- Ghosh, A.; Selvaraj, P.; Sundaram, S.; Mallick, T.K. The colour rendering index and correlated colour temperature of dye-sensitized solar cell for adaptive glazing application. Solar Energy 2018, 163, 537–544. [Google Scholar] [CrossRef]
- Karthick, A.; Murugavel, K.K.; Prabhakaran, D.S.R. Energy analysis of building integrated photovoltaic modules. In Proceedings of the 2017 International conference on power and embedded drive control (ICPEDC 2017), Chennai, India, 16–18 March 2017; pp. 307–311. [Google Scholar]
- Ramanan, P.; Murugavel, K.K.; Karthick, A. Performance analysis and energy metrics of grid-connected photovoltaic systems. Energy Sustain. Dev. 2019, 52, 104–115. [Google Scholar]
- Karthick, A.; Murugavel, K.K.; Sudalaiyandi, K.; Manokar, A.M. Building integrated photovoltaic modules and the integration of phase change materials for equatorial applications. Build. Serv. Eng. Res. Technol. 2019. [Google Scholar] [CrossRef]
- Alrashidi, H.; Issa, W.; Sellami, N.; Ghosh, A.; Mallick, T.K.; Sundaram, S. Performance assessment of cadmium telluride-based semi-transparent glazing for power saving in façade buildings. Energy Build. 2019, 109585. [Google Scholar] [CrossRef]
- Karthick, A.; Murugavel, K.K.; Kalaivani, L. Performance analysis of semi-transparent photovoltaic module for skylights. Energy 2018, 162, 798–812. [Google Scholar] [CrossRef]
- Ramanan, P.; Murugavel, K.K.; Karthick, A.; Sudhakar, K. Performance Evaluation of Building-Integrated Photovoltaic Systems for Residential Buildings in Southern India. Build. Serv. Eng. Res. Technol. 2020, 41, 492–506. [Google Scholar] [CrossRef]
- Sardarabadi, M.; Passandideh-Fard, M.; Maghrebi, M.J.; Ghazikhani, M. Experimental study of using both ZnO/water nanofluid and phase change material (PCM) in photovoltaic thermal systems. Sol. Energy Mater. Sol. Cells 2017, 161, 62–69. [Google Scholar] [CrossRef]
- Khanna, S.; Reddy, K.S.; Mallick, T.K. Optimization of solar photovoltaic system integrated with phase change material. Sol. Energy 2018, 163, 591–599. [Google Scholar] [CrossRef]
- Karthick, A.; Murugavel, K.K.; Ramanan, P. Performance enhancement of a building-integrated photovoltaic module using phase change material. Energy 2018, 142, 803–812. [Google Scholar] [CrossRef]
- Modjinou, M.; Ji, J.; Yuan, W.; Zhou, F.; Holliday, S.; Waqas, A.; Zhao, X. Performance comparison of encapsulated PCM PV/T, microchannel heat pipe PV/T and conventional PV/T systems. Energy 2019, 166, 1249–1266. [Google Scholar] [CrossRef]
- Al-Waeli, A.H.; Sopian, K.; Chaichan, M.T.; Kazem, H.A.; Ibrahim, A.; Mat, S.; Ruslan, M.H. Evaluation of the nanofluid and nano-PCM based photovoltaic thermal (PVT) system: An experimental study. Energy Convers. Manag. 2017, 151, 693–708. [Google Scholar] [CrossRef]
- Abdelrazik, A.S.; Al-Sulaiman, F.A.; Saidur, R. Numerical investigation of the effects of the nano-enhanced phase change materials on the thermal and electrical performance of hybrid PV/thermal systems. Energy Convers. Manag. 2020, 205, 112449. [Google Scholar] [CrossRef]
- Mahmoudi, T.; Wang, Y.; Hahn, Y.B. Graphene and its derivatives for solar cells application. Nano Energy 2018, 47, 51–65. [Google Scholar] [CrossRef]
- Rathod, P.B.; Nemade, K.R.; Waghuley, S.A. Improvement in photovoltaic performance of TiO2 nanoparticles by decoration of graphene nanosheets with spherical TiO2 nanoparticles. Mater. Lett. 2016, 169, 118–121. [Google Scholar] [CrossRef]
- Karthick, A.; Ramanan, P.; Ghosh, A.; Stalin, B.; Kumar, R.V.; Baranilingesan, I. Performance enhancement of copper indium diselenide photovoltaic module using inorganic phase change material. Asia-Pac J Chem Eng. 2020, e2480. [Google Scholar] [CrossRef]
- Singh, P.; Khanna, S.; Newar, S.; Sharma, V.; Reddy, K.S.; Mallick, T.K.; Khusainov, R. Solar Photovoltaic Panels with Finned Phase Change Material Heat Sinks. Energies 2020, 13, 2558. [Google Scholar] [CrossRef]
- Hasan, A.; McCormack, S.J.; Huang, M.J.; Norton, B. Energy and cost saving of a photovoltaic-phase change materials (PV-PCM) system through temperature regulation and performance enhancement of photovoltaics. Energies 2014, 7, 1318–1331. [Google Scholar] [CrossRef]
- Karthick, A.; Murugavel, K.K.; Ghosh, A.; Sudhakar, K.; Ramanan, P. Investigation of a binary eutectic mixture of phase change material for building integrated photovoltaic (BIPV) system. Sol. Energy Mater. Sol. Cells 2020, 207, 110360. [Google Scholar] [CrossRef]
- Kumar, P.M.; Mylsamy, K. Experimental investigation of solar water heater integrated with a nanocomposite phase change material. J. Therm. Anal. Calorim. 2019, 136, 121–132. [Google Scholar] [CrossRef]
- Kumar, P.M.; Mylsamy, K.; Saravanakumar, P.T. Experimental investigations on thermal properties of nano-SiO2/paraffin phase change material (PCM) for solar thermal energy storage applications. Energy Sources Part A Recovery Util. Environ. Eff. 2019, 1–14. [Google Scholar] [CrossRef]
- Kumar, P.M.; Anandkumar, R.; Sudarvizhi, D.; Prakash, K.B.; Mylsamy, K. Experimental investigations on thermal management and performance improvement of solar PV panel using a phase change material. AIPC 2019, 2128, 020023. [Google Scholar]
- Li, W.; Dong, Y.; Zhang, X.; Liu, X. Preparation and performance analysis of graphite additive/paraffin composite phase change materials. Processes 2019, 7, 447. [Google Scholar] [CrossRef]
- Ghosh, A.; Norton, B.; Duffy, A. Measured thermal & daylight performance of an evacuated glazing using an outdoor test cell. Appl. Energy 2016, 177, 196–203. [Google Scholar]
- Ghosh, A.; Norton, B.; Duffy, A. Effect of sky clearness index on transmission of evacuated (vacuum) glazing. Renew. Energy 2017, 105, 160–166. [Google Scholar] [CrossRef]
- Ghosh, A.; Sundaram, S.; Mallick, T.K. Colour properties and glazing factors evaluation of multicrystalline based semi-transparent Photovoltaic-vacuum glazing for BIPV application. Renew. Energy 2019, 131, 730–736. [Google Scholar] [CrossRef]
- Peng, J.; Curcij, D.C.; Thanachareonkit, A.; Lee, E.S.; Goudey, H.; Selkowitz, S.E. Study on the overall energy performance of a novel c-Si based semitransparent solar photovoltaic window. Appl. Energy 2019, 242, 854–872. [Google Scholar] [CrossRef]
- Yang, L.; Huang, J.; Zhou, F. Thermophysical properties and applications of nano-enhanced PCMs: An update review. Energy Convers. Manag. 2020, 214, 112876. [Google Scholar] [CrossRef]
- Ghosh, A.; Norton, B. Advances in switchable and highly insulating autonomous (self-powered) glazing systems for adaptive low energy buildings. Renew. Energy 2018, 126, 1003–1031. [Google Scholar] [CrossRef]











| Particular | Specification |
|---|---|
| Phase change material | Sodium sulphate decahydrate (Na2SO4·10H2O) |
| Melting point/Freezing point | 32 °C/4 °C |
| Density in solid/Liquid | 1458 kg/m3/1485 kg/m3 |
| Latent Heat | 251 kJ/kg |
| Nanoparticles | Graphene oxide (C160H44O16) |
| Parameter | STPV | STPV-PCM |
|---|---|---|
| Rated Power WP (W) | 24 | 24 |
| Open circuit Voltage Voc (V) | 3.786 | 3.786 |
| Short circuit Current Isc (A) | 8.72 | 8.72 |
| Maximum voltage Vmax (V) | 3.18 | 3.18 |
| Maximum current Imax (A) | 8.48 | 8.48 |
| Number of Solar cells (Nos) | 6 | 6 |
| PCM layer | − | Glauber salt and Graphene oxide |
| Instrument | Range | Accuracy |
|---|---|---|
| Voltmeter (Meco make) | 30 V | ±1 V |
| Ammeter (Meco make) | 0–10 A | ±0.1 A |
| Electrical Rheostat load | 40-ohm, 2.5 A | ±0.1% |
| K-type Thermocouple | 220 °C | ±1 °C |
| Selec make temperature indicator | 0–500 °C | ±1 °C |
| Pyranometer | 0–2000 W/m2 | ±1 W/m2 |
© 2020 by the authors. Licensee MDPI, Basel, Switzerland. This article is an open access article distributed under the terms and conditions of the Creative Commons Attribution (CC BY) license (http://creativecommons.org/licenses/by/4.0/).
Share and Cite
Karthick, A.; Manokar Athikesavan, M.; Pasupathi, M.K.; Manoj Kumar, N.; Chopra, S.S.; Ghosh, A. Investigation of Inorganic Phase Change Material for a Semi-Transparent Photovoltaic (STPV) Module. Energies 2020, 13, 3582. https://doi.org/10.3390/en13143582
Karthick A, Manokar Athikesavan M, Pasupathi MK, Manoj Kumar N, Chopra SS, Ghosh A. Investigation of Inorganic Phase Change Material for a Semi-Transparent Photovoltaic (STPV) Module. Energies. 2020; 13(14):3582. https://doi.org/10.3390/en13143582
Chicago/Turabian StyleKarthick, Alagar, Muthu Manokar Athikesavan, Manoj Kumar Pasupathi, Nallapaneni Manoj Kumar, Shauhrat S. Chopra, and Aritra Ghosh. 2020. "Investigation of Inorganic Phase Change Material for a Semi-Transparent Photovoltaic (STPV) Module" Energies 13, no. 14: 3582. https://doi.org/10.3390/en13143582
APA StyleKarthick, A., Manokar Athikesavan, M., Pasupathi, M. K., Manoj Kumar, N., Chopra, S. S., & Ghosh, A. (2020). Investigation of Inorganic Phase Change Material for a Semi-Transparent Photovoltaic (STPV) Module. Energies, 13(14), 3582. https://doi.org/10.3390/en13143582

