Experimental Analysis and Optimization of an R744 Transcritical Cycle Working with a Mechanical Subcooling System
Abstract
1. Introduction
2. Experimental Apparatus
2.1. Refrigeration Facility
2.2. Test Methodology
2.3. Data Validation
3. Experimental Analysis
3.1. Discharge Temperature
3.2. Electrical Power Consumption
3.3. Cooling Capacity
3.4. COP
3.5. Subcooling Effect
4. Computational Model
4.1. Model Description
4.1.1. Transcritical Cycle Model
4.1.2. Mechanical Subcooling Model
4.1.3. Refrigerating Plant
4.2. Model Validation
5. Optimization Analysis
5.1. Model Operation
5.2. Mechanical Subcooling Refrigerants
5.3. Model Results
5.3.1. Optimal Subcooling Degree
5.3.2. Optimal Heat Rejection Pressure
5.3.3. Cooling Capacity
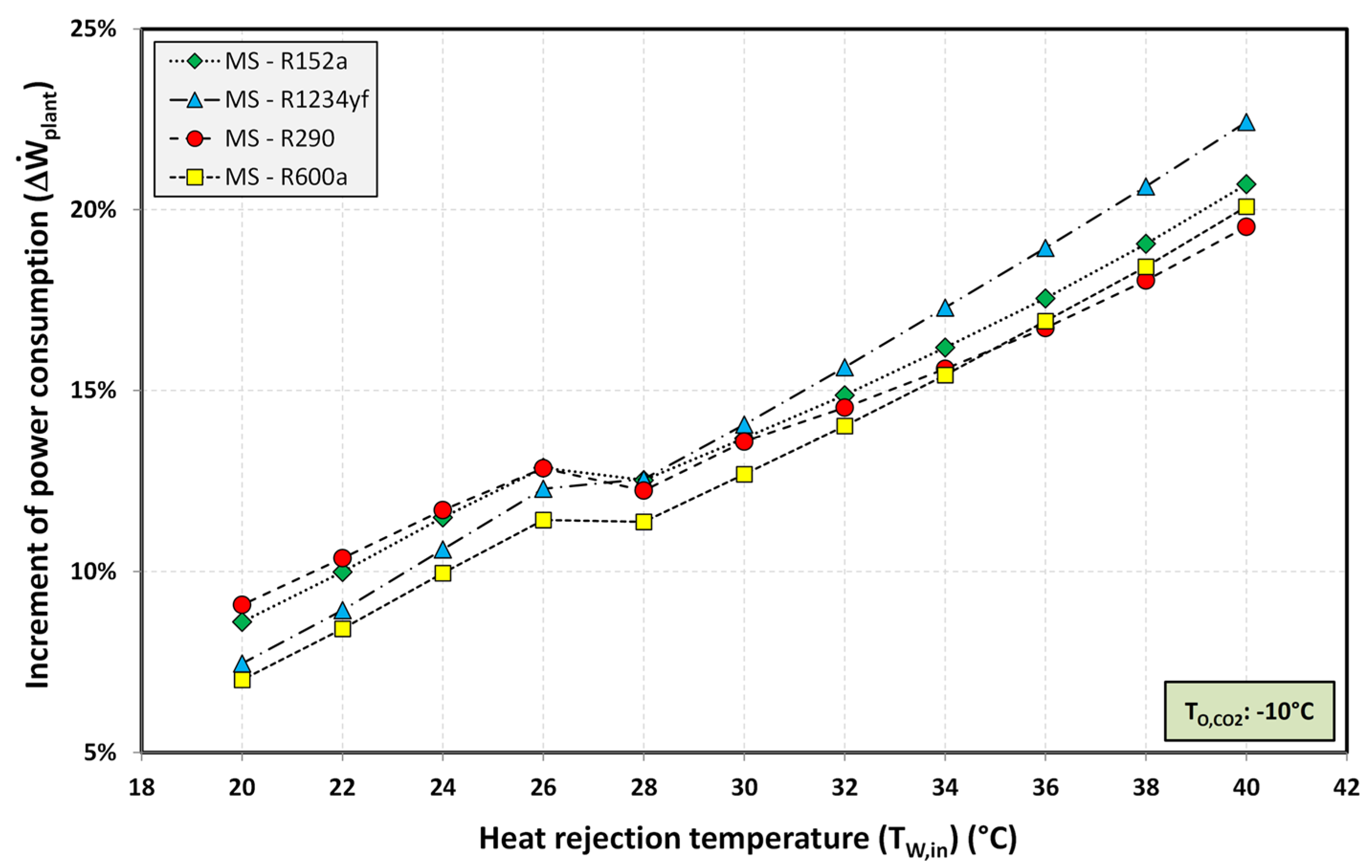
5.3.4. Power Consumption
5.3.5. COP
5.3.6. Compressor Capacity Ratio
6. Conclusions
- The electrical power consumption of the whole refrigerating plant is hardly affected by the IHX but significantly modified by the mechanical subcooling system. The increment registered with the mechanical subcooling arrangement is rated between 9.3 and 22.2%.
- The cooling capacity of the refrigerating facility rises with the heat rejection temperature regardless of the subcooling system installed. Thus, the presence of the IHX allows increments up to 5.7% while the use of the mechanical subcooling system performs better results up to 37.7%.
- The combined effect of both parameters are defined by the COP. Concerning the Base cycle, the use of the IHX reports an increment up to 6.2% while the installation of a mechanical subcooling unit results in a maximum increment of 16.1%.
- Finally, the optimal heat rejection pressure decreases in both arrangements: up to 2 bar with the IHX and up to 4.6 bar using the mechanical subcooling unit.
- The optimal subcooling degree that maximizes the COP of the refrigerating plant rises as the heat rejection temperature is higher. Moreover, this subcooling degree is higher for the refrigerants R152a and R290, and quite similar for the refrigerants R1234yf and R600a.
- The optimal heat rejection pressure lowers with the presence of the mechanical subcooling system. This reduction is higher as higher the heat rejection temperature is, and it is hardly affected by the refrigerant used in the mechanical subcooling unit.
- The positive effect on the cooling capacity is always higher at high heat rejection temperature. It depends on the refrigerant used and it is always higher for the refrigerants R290 and R152a.
- The power consumption rises with the heat rejection temperature due to the presence of an auxiliary cycle which power consumption depends on the refrigerant used. For low heat rejection temperatures (20–26 °C), the R600a and the R1234yf report the lower increment of power while at high rejection temperatures (36–40 °C) the most suitable are R290 and R600a.
- Concerning the COP of the refrigerating plant, the results from the computational model reveal that R290 is the best option for the mechanical subcooling unit followed by the R152a, R600a and R1234yf. The increment calculated with propane ranges from 10.6% at 20 °C to 36.4% at 40 °C, while the improvements with R152a falls within a range from 9.3% at 20 °C and 34.5% at 40 °C.
- Finally, the compressor capacity ratio at the optimal conditions shows that the use of the R290 in the mechanical subcooling unit ensures the most compact system among the other refrigerants for heat rejection temperatures higher than 26 °C. In terms of security, this helps to reduce the mass charge of the flammable refrigerant in the auxiliary system.
Author Contributions
Funding
Acknowledgments
Conflicts of Interest
Nomenclature
| COP | coefficient of performance |
| DAQ | Data Acquisition System |
| cp | specific isobaric heat (kJ·kg−1·°C−1) |
| GWP | Global Warming Potential |
| h | enthalpy (kJ·kg−1) |
| HFC | hydrofluorocarbon |
| HFO | hydrofluoroolefin |
| IHX | suction-to-liquid heat exchanger |
| mass flow rate (kg·s−1) | |
| MS | Mechanical Subcooling system/cycle |
| N | compressor rotation speed (rpm) |
| NBP | Normal Boiling Point |
| P | pressure (bar) |
| volumetric flow rate (m3·h−1) | |
| q | volumetric capacity (kJ·m−3) |
| heat transfer (W) | |
| SH | useful superheating at the evaporator (K) |
| SUB | subcooling at the exit of condenser (K) |
| t | pressure ratio |
| T | temperature (°C) |
| v | specific volume at the suction port (m3·kg−1) |
| Vg | compressor cubic capacity (cm3) |
| electrical power consumption (W) | |
| Greek symbols | |
| Δ | increment |
| ε | thermal effectiveness/error |
| λ | latent heat (kJ·kg−1) |
| ρ | density (kg·m−3) |
| ηv | volumetric efficiency |
| ηG | global efficiency |
| Subscripts | |
| BP | back pressure |
| C | compressor |
| CO2 | carbon dioxide; it refers to the carbon dioxide cycle (main cycle) |
| crit | it refers to the critical point |
| GC-K | gas-cooler/condenser |
| Glyc | propylene-glycol mixture (70/30% by mass) |
| in | inlet |
| iso | isentropic |
| K | condenser |
| max | maximum |
| min | minimum |
| MS | it refers to the mechanical subcooling cycle (auxiliary unit) |
| O | evaporator |
| opt | optimal |
| out | outlet |
| plant | refrigerating plant |
| R600a | isobutene; it refers to the mechanical subcooling cycle (auxiliary unit) |
| SL | suction line |
| SUB | subcooler/subcooling |
| W | water |
References
- Lorentzen, G. Revival of carbon dioxide as a refrigerant. Int. J. Refrig. 1994, 17, 292–301. [Google Scholar] [CrossRef]
- Robinson, D.M.; Groll, E.A. Efficiencies of transcritical CO2 cycles with and without an expansion turbine. Int. J. Refrig. 1998, 21, 577–589. [Google Scholar] [CrossRef]
- Finckh, O.; Schrey, R.; Wozny, M. Energy and efficiency comparison between standardized HFC and CO2 transcritical systems for supermarket applications. In Proceedings of the 23rd IIR International Congress of Refrigeration, Prague, Czech Republic, 21–26 August 2011. [Google Scholar]
- Sawalha, S.; Piscopiello, S.; Karampour, M.; Manickam, L.; Rogstam, J. Field measurements of supermarket refrigeration systems. Part II: Analysis of HFC refrigeration systems and comparison to CO2 trans-critical. Appl. Therm. Eng. 2017, 111, 170–182. [Google Scholar] [CrossRef]
- Karampour, M.; Sawalha, S. Energy efficiency evaluation of integrated CO2 trans-critical system in supermarkets: A field measurements and modelling analysis. Int. J. Refrig. 2017, 82, 470–486. [Google Scholar] [CrossRef]
- Hafner, A.; Poppi, S.; Nekså, P.; Minetto, S.; Eikevik, T.M. Development of commercial refrigeration systems with heat recovery for supermarket building. In Proceedings of the 10th IIR Gustav Lorentzen Conference on Natural Refrigerants, Delft, The Netherlands, 25–27 June 2012. [Google Scholar]
- Polzot, A.; D’Agaro, P.; Cortella, G. Energy Analysis of a Transcritical CO2 Supermarket Refrigeration System with Heat Recovery. Energy Procedia 2017, 111, 648–657. [Google Scholar] [CrossRef]
- Shecco. F-Gas Regulation Shaking Up the HVAC&R Industry. 2016. Available online: http://publication.shecco.com/publications/view/f-gas-regulation-shaking-up-the-hvac-amp-r-industry (accessed on 19 June 2020).
- Tsamos, K.M.; Ge, Y.T.; Santosa, I.; Tassou, S.A.; Bianchi, G.; Mylona, Z. Energy analysis of alternative CO2 refrigeration system configurations for retail food applications in moderate and warm climates. Energy Convers. Manag. 2017, 150, 822–829. [Google Scholar] [CrossRef]
- Gullo, P.; Hafner, A.; Banasiak, K. Transcritical R744 refrigeration systems for supermarket applications: Current status and future perspectives. Int. J. Refrig. 2018, 93, 269–310. [Google Scholar] [CrossRef]
- Haida, M.; Banasiak, K.; Smolka, J.; Hafner, A.; Eikevik, T.M. Experimental analysis of the R744 vapour compression rack equipped with the multi-ejector expansion work recovery module. Int. J. Refrig. 2016, 64, 93–107. [Google Scholar] [CrossRef]
- Purohit, N.; Gullo, P.; Dasgupta, M.S. Comparative assessment of low-GWP based refrigerating plants operating in hot climates. Energy Procedia 2017, 109, 138–145. [Google Scholar] [CrossRef]
- Karampour, M.; Sawalha, S. State-of-the-art integrated CO2 refrigeration system for supermarkets: A comparative analysis. Int. J. Refrig. 2018, 86, 239–257. [Google Scholar] [CrossRef]
- Catalán-Gil, J.; Sánchez, D.; Llopis, R.; Nebot-Andrés, L.; Cabello, R. Energy Evaluation of Multiple Stage Commercial Refrigeration Architectures Adapted to F-Gas Regulation. Energies 2018, 11, 1915. [Google Scholar] [CrossRef]
- Catalán-Gil, J.; Nebot-Andrés, L.; Sánchez, D.; Llopis, R.; Cabello, R.; Calleja-Anta, D. Improvements in CO2 Booster Architectures with Different Economizer Arrangements. Energies 2020, 13, 1271. [Google Scholar] [CrossRef]
- Mitsopoulos, G.; Syngounas, E.; Tsimpoukis, D.; Bellos, E.; Tzivanidis, C.; Anagnostatos, S. Annual performance of a supermarket refrigeration system using different configurations with CO2 refrigerant. Energy Convers. Manag. X 2019, 1, 100006. [Google Scholar] [CrossRef]
- Bellos, E.; Tzivanidis, C. A comparative study of CO2 refrigeration systems. Energy Convers. Manag. X 2019, 1, 100002. [Google Scholar] [CrossRef]
- Dai, B.; Qi, H.; Liu, S.; Zhong, Z.; Li, H.; Song, M.; Ma, M.; Sun, Z. Environmental and economical analyses of transcritical CO2 heat pump combined with direct dedicated mechanical subcooling (DMS) for space heating in China. Energy Convers. Manag. 2019, 198, 111317. [Google Scholar] [CrossRef]
- Bellos, E.; Tzivanidis, C. Enhancing the performance of a CO2 refrigeration system with the use of an absorption chiller. Int. J. Refrig. 2019, 108, 37–52. [Google Scholar] [CrossRef]
- Suamir, N. Integration of Trigeneration and CO2 Based Refrigeration Systems for Energy Conservation. Ph.D. Thesis, Brunel University, London, UK, 2012. Available online: http://citeseerx.ist.psu.edu/viewdoc/download?doi=10.1.1.427.199&rep=rep1&type=pdf (accessed on 19 June 2020).
- Aprea, C.; Greco, A.; Maiorino, A. The application of a desiccant wheel to increase the energetic performances of a transcritical cycle. Energy Convers. Manag. 2015, 89, 222–230. [Google Scholar] [CrossRef]
- Mazzola, D.; Sheehan, J.; Bortoluzzi, D.; Smitt, G.; Orlandi, M. Supermarket application. Effects of sub-cooling on real R744 based trans-critical plants in warm and hot climate. Data analysis. In Proceedings of the 12th IIR Gustav Lorentzen Natural Working Fluids Conference, Edinburgh, UK, 21–24 August 2016; pp. 551–558. [Google Scholar]
- Llopis, R.; Nebot-Andrés, L.; Sánchez, D.; Catalán-Gil, J.; Cabello, R. Subcooling methods for CO2 refrigeration cycles: A review. Int. J. Refrig. 2018, 93, 85–107. [Google Scholar] [CrossRef]
- Brown, T. Refrigeration System with Subcooler. U.S. Patent No. US3852974A, 13 August 1973. [Google Scholar]
- Couvillion, R.J.; Larson, M.W.; Somerville, M.H. Analysis of a vapour-compression refrigeration system with mechanical subcooling. ASHRAE Trans. 1988, 94, 641–660. [Google Scholar]
- Thornton, J.W.; Klein, S.A.; Mitchell, J.W. Dedicated mechanical subcooling design straregies for supermarket applications. Int. J. Refrig. 1997, 17, 508–515. [Google Scholar] [CrossRef]
- Boiarski, M.; Podchernyaev, O.; Yudin, B.; Giguere, D. Enhancement of supermarket freezers to reduce energy consumption and increase refrigeration capacity. In Proceedings of the International Refrigeration and Air Conditioning Conference, Purdue, West Lafayette, IN, USA, 14–17 July 2000; Available online: http://docs.lib.purdue.edu/iracc/422 (accessed on 19 June 2020).
- Benouali, J.; Chang, Y.S.; Clodic, D. Analysis of the sub-cooling on refrigerating systems using R410A or R404A. In Proceedings of the International Refrigeration and Air Conditioning Conference, Purdue, West Lafayette, IN, USA, 25–28 July 2000; Available online: http://docs.lib.purdue.edu/iracc/466 (accessed on 19 June 2020).
- Khan, J.; Zubair, S.M. Design and rating of dedicated mechanical subcooling vapour compression refrigeration systems. Proc. Inst. Mech. Eng. Part A 2000, 214, 455–471. [Google Scholar] [CrossRef]
- Qureshi, B.A.; Zubair, S.M. The effect of refrigerant combinations on performance of a vapor compression refrigeration system with dedicated mechanical sub-cooling. Int. J. Refrig. 2012, 35, 47–57. [Google Scholar] [CrossRef]
- Qureshi, B.A.; Inam, M.; Antar, M.A.; Zubair, S.M. Experimental energetic analysis of a vapor compression refrigeration system with dedicated mechanical sub-cooling. Appl. Energy 2013, 102, 1035–1041. [Google Scholar] [CrossRef]
- Brouwers, C.; Serwas, L. Market trends & developments for CO2 in commercial refrigeration in Europe. In Proceedings of the EU Atmosphere Natural Refrigerants workshop, Brussels, Belgium, 5–7 November 2012; Available online: http://www.r744.com/knowledge/papersView/market_trends_amp_developments_for_co2_in_commercial_refrigeration_in_europe (accessed on 19 June 2020).
- Frigo Consulting. Carrefour Alzira (ES). Most Southerly CO2 Refrigeration System in Spain Now in Operation. 2013. Available online: http://www.r744.com/articles/5074/span_style_color_rgb_255_0_0_update_span_part_1_first_100_co_sub_2_sub_cooling_installation_in_southern_spain_carrefour_alzira_achieves_10_energy_savings (accessed on 19 June 2020).
- She, X.; Yin, Y.; Zhang, X. A proposed subcooling method for vapour compression refrigeration cycle based on expansion power recovery. Int. J. Refrig. 2014, 43, 50–61. [Google Scholar] [CrossRef]
- Hafner, A.; Hemmingsen, A.K. R744 refrigeration technologies for supermarkets in warm climates. In Proceedings of the 24th IIR International Congress of Refrigeration, Yokohama, Japan, 16–22 August 2015; pp. 125–133. [Google Scholar]
- Llopis, R.; Cabello, R.; Sánchez, D.; Torrella, E. Energy improvements of CO2 transcritical refrigeration cycles using dedicated mechanical subcooling. Int. J. Refrig. 2015, 55, 129–141. [Google Scholar] [CrossRef]
- Sánchez, D.; Catalán-Gil, J.; Llopis, R.; Nebot-Andrés, L.; Cabello, R.; Torrella, E. Improvements in a CO2 transcritical plant working with two different subcooling systems. Refrig. Sci. Technol. 2016, 1014–1022. [Google Scholar] [CrossRef]
- Nebot-Andrés, L.; Llopis, R.; Sánchez, D.; Cabello, R. Experimental evaluation of a dedicated mechanical subcooling system in a CO2 transcritical refrigeration cycle. In Proceedings of the 12th Gustav Lorentzen Natural Working Fluids Conference, At Edinburgh, UK, 21–24 August 2016; pp. 965–972. [Google Scholar]
- Cabello, R.; Sánchez, D.; Patiño, J.; Llopis, R.; Torrella, E. Experimental analysis of energy performance of modified single-stage CO2 transcritical vapour compression cycles based on vapour injection in the suction line. Appl. Therm. Eng. 2012, 47, 86–94. [Google Scholar] [CrossRef]
- Eikevik, T.M.; Bertelsen, S.; Haugsdal, S.; Tolstorebrov, I.; Jensen, S. CO2 refrigeration system with integrated propan subcooler for supermarkets in warm climate. Refrig. Sci. Technol. 2016, 211–218. [Google Scholar] [CrossRef]
- Bush, J.; Beshr, M.; Aute, V.; Radermacher, R. Experimental evaluation of transcritical CO2 refrigeration with mechanical subcooling. Sci. Technol. Built Environ. 2017, 23, 1013–1025. [Google Scholar] [CrossRef]
- Dai, B.; Liu, S.; Ma, Y. Thermodynamic performance analysis of CO2 transcritical refrigeration cycle assisted with mechanical subcooling. Energy Procedia 2017, 105, 2033–2038. [Google Scholar] [CrossRef]
- Dai, B.; Liu, S.; Li, H.; Sun, Z.; Song, M.; Yang, Q.; Ma, Y. Energetic performance of transcritical CO2 refrigeration cycles with mechanical subcooling using zeotropic mixtures as refrigerant. Energy 2018, 150, 205–221. [Google Scholar] [CrossRef]
- Liu, S.; Lu, F.; Dai, B.; Nian, V.; Li, H.; Qi, H.; Li, J. Performance analysis of two-stage compression transcritical CO2 refrigeration system with R290 mechanical subcooling unit. Energy 2019, 189, 116–143. [Google Scholar] [CrossRef]
- Lemmon, E.W.; Huber, M.L.; McLinden, M.O. Reference Fluid Thermodynamic and Transport Properties (REFPROP); NIST Standard Reference Database 23, v.9.1; National Institute of Standards: Gaithersburg, MD, USA, 2013.
- ASHRAE Handbook—Fundamentals (SI Edition). American Society of Heating, Refrigerating and Air Conditioning Engineers, 2005 ed.; ASHRAE: Englewood, CO, USA, 2005. [Google Scholar]
- Moffat, R.J. Describing the uncertainties in experimental results. Exp. Therm. Fluids Sci. 1988, 1, 3–17. [Google Scholar] [CrossRef]
- Liao, S.M.; Zhao, T.S. Measurements of heat transfer coefficients from supercritical carbon dioxide flowing in horizontal min/micro channels. J. Heat Transf. 2002, 124, 413–420. [Google Scholar] [CrossRef]
- Torrella, E.; Sánchez, D.; Llopis, R.; Cabello, R. Energetic evaluation of an internal heat exchanger in a CO2 transcritical refrigeration plant using experimental data. Int. J. Refrig. 2011, 34, 40–49. [Google Scholar] [CrossRef]
- Purohit, N.; Gupta, D.K.; Dasgupta, M.S. Experimental investigation of a CO2 trans-critical cycle with IHX for chiller applications and its energetic and exergetic evaluation in warm climate. Appl. Therm. Eng. 2018, 136, 617–632. [Google Scholar] [CrossRef]
- Sánchez, D.; Patiño, J.; Llopis, R.; Cabello, R.; Torrella, E.; Vicente Fuentes, F. New positions for an internal heat exchanger in a CO2 supercritical refrigeration plant. Experimental analysis and energetic evaluation. Appl. Therm. Eng. 2014, 63, 129–139. [Google Scholar] [CrossRef]
- Cabello, R.; Sánchez, D.; Llopis, R.; Torrella, E. Experimental evaluation of the energy efficiency of a CO2 refrigerating plant working in transcritical conditions. Appl. Therm. Eng. 2008, 28, 1596–1604. [Google Scholar] [CrossRef]
- Sánchez, D.; Cabello, R.; Llopis, R.; Torrella, E. Development and validation of a finite element model for water-CO2 coaxial gas-coolers. Appl. Energy 2012, 93, 637–647. [Google Scholar] [CrossRef]
- Sánchez, D.; Torrella, E.; Cabello, R.; Llopis, R. Influence of the superheat associated to a semihermetic compressor of a transcritical CO2 refrigeration plant. Appl. Therm. Eng. 2010, 30, 302–309. [Google Scholar] [CrossRef]
- ANSI/ASHRAE. Designation and Safety Classification of Refrigerants; Standard 34-2013; ANSI/ASHRAE: Georgia, GA, USA, 2013; ISSN 1041-2336. [Google Scholar]
- IPCC. Climate Change 2013: The Physical Science Basis. Contribution of Working Group I to the 5thAssessment Report of the Intergovernmental Panel on Climate Chang, 1st ed.; Cambridge University Press: New York, NY, USA, 2013. [Google Scholar]
- Sánchez, D.; Cabello, R.; Llopis, R.; Arauzo, I.; Catalán-Gil, J.; Torrella, E. Energy performance evaluation of R1234yf, R1234ze(E), R600a, R290 and R152a as low-GWP R134a alternatives. Int. J. Refrig. 2017, 74, 269–282. [Google Scholar] [CrossRef]
- Boudreau, P.J. The Compressor Operating Envelope; Mechanical Business: Oakville, ON, Canada, 2013; pp. 80–81. Available online: http://www.r744.com/knowledge/papersView/the_compressor_operating_envelope (accessed on 19 June 2020).















| Number | Measured Variable | Measuring Device | Calibration Range | Accuracy |
|---|---|---|---|---|
| 24 | Temperature (°C) | T-type thermocouple | −40.0 to 125.0 °C | ±0.5 K |
| 3 | Pressure (CO2 cycle) | Pressure gauge | 0.0 to 160.0 bar | ±0.6% of span |
| 1 | Pressure (CO2 cycle) | Pressure gauge | 0.0 to 100.0 bar | ±0.6% of span |
| 3 | Pressure (CO2 cycle) | Pressure gauge | 0.0 to 60.0 bar | ±0.6% of span |
| 2 | Pressure (MS cycle) | Pressure gauge | 0.0 to 16.0 bar | ±0.25% of spam |
| 1 | Pressure (MS cycle) | Pressure gauge | 0.0 to 9.0 bar | ±0.25% of span |
| 1 | Glycol volume flow rate | Magnetic flow meter | 0.0 to 4.0 m3·h−1 | ±0.25% of reading |
| 1 | Water volume flow rate | Magnetic flow meter | 0.0 to 4.0 m3·h−1 | ±0.25% of reading |
| 2 | Refrigerant mass flow rate | Coriolis mass flow meter | 0.0 to 0.1 kg·s−1 | ±0.1% of reading |
| 1 | Power consumption (CO2 cycle) | Network analyser | 0.0 to 2000.0 W | ±0.5% of reading |
| 1 | Power consumption (MS cycle) | Network analyser | 0.0 to 200.0 W | ±0.5% of reading |
| Cycle | ||||
|---|---|---|---|---|
| Base cycle | ± (3.6 ÷ 6.3) | ± (1.8 ÷ 2.6) | - | ± (0.01 ÷ 0.04) |
| IHX cycle | ± (3.3 ÷ 8.5) | ± (1.9 ÷ 2.7) | ± (0.3 ÷ 0.4) | ± (0.01 ÷ 0.05) |
| MS cycle | ± (4.3 ÷ 10.5) | ± (1.8 ÷ 2.5) | ± (0.3 ÷ 0.5) | ± (0.01 ÷ 0.08) |
| Cycle | TO,CO2 (°C) | TW.in (°C) | PGC-K (bar) | SHCO2 (K) | SHR600a (K) | ||
|---|---|---|---|---|---|---|---|
| Base cycleMS cycle | −10 °C 0 °C | 35 °C | 100 to Pmin | 0.2 m3/h | 0.2 m3/h | 3.5 K | 3.5 K |
| 30 °C | 100 to Pmin | ||||||
| 25 °C | 80 to Pmin | ||||||
| 20 °C | 80 to Pmin | ||||||
| IHX cycle | −10 °C 0 °C | 35 °C | 100 to Pmin | 0.2 m3/h | 0.2 m3/h | 3.5 K | - |
| 30 °C | 100 to Pmin |
| TO,CO2 (°C) | TW.in (°C) | PGC-K.opt (bar) | ΔPGC-K.opt (bar) | ||||||
|---|---|---|---|---|---|---|---|---|---|
| Base cycle | |||||||||
| 0.2 | 34.9 | 86.2 | 834.2 | 1.92 | 433.8 | - | - | - | - |
| 0.2 | 30.1 | 79.6 | 930.2 | 2.33 | 399.5 | - | - | - | - |
| 0.2 | 25.2 | 70.2 | 1039.2 | 3.01 | 345.2 | - | - | - | - |
| 0.3 | 20.3 | 62.2 | 1183.9 | 3.82 | 310.3 | - | - | - | - |
| −9.9 | 34.7 | 87.0 | 571.9 | 1.39 | 411.5 | - | - | - | - |
| −9.8 | 30.0 | 77.0 | 646.5 | 1.69 | 383.5 | - | - | - | - |
| −9.8 | 25.1 | 70.1 | 705.2 | 1.98 | 356.9 | - | - | - | - |
| −9.7 | 20.0 | 62.5 | 791.2 | 2.42 | 327.0 | - | - | - | - |
| IHX cycle | |||||||||
| 0.1 | 35.0 | 85.6 | 852.7 | 2.03 | 421.0 | +2.2 | +5.3 | −0.6 | −2.9 |
| 0.0 | 29.9 | 77.8 | 970.9 | 2.43 | 399.2 | +4.4 | +4.4 | −1.8 | −0.1 |
| −9.7 | 34.6 | 86.6 | 604.4 | 1.48 | 409.6 | +5.7 | +6.2 | −0.4 | −0.5 |
| −9.8 | 29.9 | 75.0 | 651.6 | 1.75 | 381.8 | +3.3 | +3.7 | −2.0 | −0.4 |
| MS cycle | |||||||||
| 0.2 | 35.1 | 84.2 | 1047.1 | 2.19 | 478.9 | +25.5 | +13.7 | −2.0 | +10.4 |
| 0.2 | 30.0 | 75.0 | 1109.8 | 2.54 | 436.7 | +19.3 | +9.2 | −4.6 | +9.3 |
| 0.3 | 25.1 | 70.2 | 1294.2 | 3.07 | 421.9 | +24.5 | +1.9 | 0 | +22.2 |
| 0.3 | 20.0 | 62.2 | 1338.1 | 3.54 | 377.6 | +13.0 | −7.1 | 0 | +21.7 |
| −9.8 | 35.0 | 84.2 | 787.2 | 1.61 | 488.1 | +37.7 | +16.1 | −2.8 | +18.6 |
| −9.8 | 30.0 | 75.0 | 855.6 | 1.89 | 451.9 | +32.3 | +12.3 | −2.0 | +17.9 |
| −9.9 | 25.0 | 70.1 | 913.4 | 2.13 | 428.6 | +29.5 | +7.9 | 0 | +16.1 |
| −9.9 | 19.9 | 62.5 | 964.8 | 2.50 | 386.2 | +21.9 | +3.3 | 0 | +12.3 |
| R744 Compressor | ||||
|---|---|---|---|---|
| Coefficient | Parameter | Validity Range | ||
| 0.8544215784 | 0.5257504376 | (bar) | 35.52 ÷ 26.04 bar | |
| 0.0041278179 | −0.0008023276 | (°C) | 19.90 ÷ −5.36 °C | |
| −0.0030962470 | −0.0000199178 | (bar) | 100.30 ÷ 62.14 bar | |
| 0.0019119523 | 0.0017955538 | 0.82 ÷ 0.63 | ||
| εmax | 7.95% | 7.59% | 0.55 ÷ 0.47 | |
| R600a Compressor | ||||
|---|---|---|---|---|
| Coefficient | Parameter | Validity Range | ||
| 1.0892397842 | 0.1416032159 | (bar) | 3.94 ÷ 2.11 bar | |
| −0.1479503029 | −0.1381438733 | (°C) | 34.56 ÷ 11.10 °C | |
| −0.0389382148 | 0.0810000150 | (bar) | 5.00 ÷ 3.57 bar | |
| 0.0175038421 | 0.0048250042 | 0.85 ÷ 0.79 | ||
| εmax | 5.53% | 10.06% | 0.40 ÷ 0.21 | |
| Variable | Description | Value/Range |
|---|---|---|
| (°C) | Evaporation level | −10 °C |
| (K) | Useful superheating in CO2 and MS cycle | 3.5 K |
| (K) | Superheating in suction line | 5 K |
| Heat rejection temperature | 20 ÷ 40 °C | |
| Heat rejection pressure | 110 ÷ Pmin bar | |
| Approach temperature in the gas-cooler/condenser | 0.5 K/1.5 K | |
| Subcooling degree | 2 ÷ 30 °C | |
| Subcooler thermal effectiveness | 85% | |
| Approach temperature in the condenser of MS cycle | 0.5 K | |
| Subcooling in the condenser of MS cycle | 2 K | |
| N | Compressor rotation speed | 2900 rpm |
| CO2 compressor cubic capacity | 1.75 cm3 |
| Fluid | Family | Pcrit (bar) | Tcrit (bar) | MW (kg·kmol−1) | NBP (°C) | vC (10 °C) (m3·kg−1) | λ (10 °C) (kJ·kg−1) | qv (10 °C) (kJ·m−3) | Safety Group | GWP (100 Years) |
|---|---|---|---|---|---|---|---|---|---|---|
| R152a | HFC | 45.2 | 113.3 | 66.1 | −24.0 | 0.0858 | 296.6 | 3455.6 | A2 | 137 |
| R1234yf | HFO | 33.8 | 94.7 | 114.0 | −29.5 | 0.0412 | 156.6 | 3800.2 | A2L | <1 |
| R600a | HC | 36.3 | 134.7 | 58.1 | −11.8 | 0.1704 | 344.6 | 2022.0 | A3 | 4 |
| R290 | HC | 42.5 | 96.7 | 44.1 | −42.1 | 0.0726 | 360.3 | 4965.5 | A3 | 3 |
| Coefficient | Parameter | Validity Range | ||
|---|---|---|---|---|
| R290 Compressor | ||||
| 0.8245644392 | 0.3753611180 | (bar) | 5.47 ÷ 3.40 bar | |
| 0.0177395862 | −0.0289761062 | (°C) | 24.29 ÷ −2.01 °C | |
| −0.0112283110 | 0.0129968640 | (bar) | 15.40 ÷ 9.57 bar | |
| 0.0017747630 | 0.0010797776 | 0.84 ÷ 0.71 | ||
| εmax | 1.37% | 8.38% | 0.47 ÷ 0.33 | |
| R152a Compressor | ||||
| 0.7566171921 | 0.2754222011 | (bar) | 3.72 ÷ 1.74 bar | |
| 0.0273964137 | −0.0434225620 | (°C) | 28.59 ÷ 10.17 °C | |
| −0.0142596520 | 0.0227531186 | (bar) | 10.44 ÷ 5.94 bar | |
| 0.0019095772 | 0.0013423916 | 0.80 ÷ 0.67 | ||
| εmax | 2.48% | 17.54% | 0.44 ÷ 0.24 | |
| R1234yf Compressor | ||||
| 0.7397796396 | 0.2540133488 | (bar) | 4.27 ÷ 2.10 bar | |
| 0.0110698197 | −0.0518935273 | (°C) | 27.38 ÷ 5.69 °C | |
| −0.0090766299 | 0.0231816838 | (bar) | 11.75 ÷ 6.84 bar | |
| 0.0022774913 | 0.0021953016 | 0.76 ÷ 0.66 | ||
| εmax | 3.74% | 13.64% | 0.43 ÷ 0.21 | |
| TW.in (°C) | PGC-K.opt (bar) | ΔTSUB.opt (K) | |||||||||
|---|---|---|---|---|---|---|---|---|---|---|---|
| Base cycle | |||||||||||
| 40 | 105.73 | 469.1 | 459.5 | 1.02 | - | - | - | - | - | - | - |
| 36 | 93.74 | 519.7 | 437.6 | 1.19 | - | - | - | - | - | - | - |
| 32 | 82.27 | 574.3 | 406.8 | 1.41 | - | - | - | - | - | - | - |
| 28 | 73.90 | 618.5 | 377.0 | 1.64 | - | - | - | - | - | - | - |
| 24 | 65.09 | 697.9 | 337.7 | 2.07 | - | - | - | - | - | - | - |
| 20 | 59.34 | 784.1 | 306.8 | 2.56 | - | - | - | - | - | - | - |
| MS cycle using R152a | |||||||||||
| 40 | 94.75 | 761.4 | 554.6 | 1.37 | 22.78 | 2.88 | 2.31 | 62.3% | 20.7% | 34.5% | −10.98 |
| 36 | 86.85 | 788.4 | 514.4 | 1.53 | 19.18 | 2.48 | 2.06 | 51.7% | 17.5% | 29.1% | −6.89 |
| 32 | 78.40 | 817.7 | 467.2 | 1.75 | 15.70 | 2.10 | 1.84 | 42.4% | 14.9% | 23.9% | −3.87 |
| 28 | 71.65 | 842.2 | 424.2 | 1.99 | 13.26 | 1.83 | 1.65 | 36.2% | 12.5% | 21.0% | −2.25 |
| 24 | 65.09 | 887.4 | 376.5 | 2.36 | 11.54 | 1.45 | 1.57 | 27.1% | 11.5% | 14.0% | 0.00 |
| 20 | 59.34 | 930.6 | 333.3 | 2.79 | 9.74 | 1.16 | 1.48 | 18.7% | 8.6% | 9.3% | 0.00 |
| MS cycle using R1234yf | |||||||||||
| 40 | 96.10 | 731.1 | 562.5 | 1.30 | 20.12 | 2.46 | 2.10 | 55.9% | 22.4% | 27.3% | −9.63 |
| 36 | 87.70 | 759.0 | 520.5 | 1.46 | 16.64 | 2.08 | 1.88 | 46.0% | 18.9% | 22.8% | −6.04 |
| 32 | 78.85 | 787.2 | 470.4 | 1.67 | 13.18 | 1.71 | 1.68 | 37.1% | 15.6% | 18.5% | −3.42 |
| 28 | 71.85 | 809.6 | 424.3 | 1.91 | 10.68 | 1.44 | 1.50 | 30.9% | 12.5% | 16.3% | −2.05 |
| 24 | 65.09 | 854.1 | 373.5 | 2.29 | 8.92 | 1.08 | 1.42 | 22.4% | 10.6% | 10.6% | 0.00 |
| 20 | 59.34 | 899.9 | 329.7 | 2.73 | 7.34 | 0.83 | 1.35 | 14.8% | 7.5% | 6.8% | 0.00 |
| MS cycle using R600a | |||||||||||
| 40 | 95.30 | 734.7 | 551.8 | 1.33 | 20.26 | 3.80 | 2.08 | 56.6% | 20.1% | 30.4% | −10.43 |
| 36 | 87.25 | 759.5 | 511.6 | 1.48 | 16.58 | 3.20 | 1.85 | 46.1% | 16.9% | 25.0% | −6.49 |
| 32 | 78.60 | 785.7 | 463.8 | 1.69 | 13.00 | 2.63 | 1.65 | 36.8% | 14.0% | 20.0% | −3.67 |
| 28 | 71.75 | 807.5 | 419.8 | 1.92 | 10.50 | 2.22 | 1.48 | 30.5% | 11.4% | 17.2% | −2.15 |
| 24 | 65.09 | 851.4 | 371.3 | 2.29 | 8.72 | 1.66 | 1.40 | 22.0% | 10.0% | 10.9% | 0.00 |
| 20 | 59.34 | 895.9 | 328.4 | 2.73 | 7.04 | 1.26 | 1.33 | 14.3% | 7.0% | 6.8% | 0.00 |
| MS cycle using R290 | |||||||||||
| 40 | 94.35 | 764.7 | 549.2 | 1.39 | 23.00 | 2.07 | 2.07 | 63.0% | 19.5% | 36.4% | −11.38 |
| 36 | 86.55 | 797.2 | 510.8 | 1.56 | 19.94 | 1.84 | 1.91 | 53.4% | 16.7% | 31.4% | −7.19 |
| 32 | 78.25 | 831.9 | 465.8 | 1.79 | 16.94 | 1.61 | 1.76 | 44.9% | 14.5% | 26.5% | −4.02 |
| 28 | 71.60 | 852.1 | 423.1 | 2.01 | 14.08 | 1.40 | 1.63 | 37.8% | 12.2% | 22.8% | −2.30 |
| 24 | 65.09 | 900.9 | 377.2 | 2.39 | 12.66 | 1.13 | 1.57 | 29.1% | 11.7% | 15.6% | 0.00 |
| 20 | 59.34 | 946.0 | 334.7 | 2.83 | 11.00 | 0.92 | 1.50 | 20.6% | 9.1% | 10.6% | 0.00 |
© 2020 by the authors. Licensee MDPI, Basel, Switzerland. This article is an open access article distributed under the terms and conditions of the Creative Commons Attribution (CC BY) license (http://creativecommons.org/licenses/by/4.0/).
Share and Cite
Sánchez, D.; Catalán-Gil, J.; Cabello, R.; Calleja-Anta, D.; Llopis, R.; Nebot-Andrés, L. Experimental Analysis and Optimization of an R744 Transcritical Cycle Working with a Mechanical Subcooling System. Energies 2020, 13, 3204. https://doi.org/10.3390/en13123204
Sánchez D, Catalán-Gil J, Cabello R, Calleja-Anta D, Llopis R, Nebot-Andrés L. Experimental Analysis and Optimization of an R744 Transcritical Cycle Working with a Mechanical Subcooling System. Energies. 2020; 13(12):3204. https://doi.org/10.3390/en13123204
Chicago/Turabian StyleSánchez, Daniel, Jesús Catalán-Gil, Ramón Cabello, Daniel Calleja-Anta, Rodrigo Llopis, and Laura Nebot-Andrés. 2020. "Experimental Analysis and Optimization of an R744 Transcritical Cycle Working with a Mechanical Subcooling System" Energies 13, no. 12: 3204. https://doi.org/10.3390/en13123204
APA StyleSánchez, D., Catalán-Gil, J., Cabello, R., Calleja-Anta, D., Llopis, R., & Nebot-Andrés, L. (2020). Experimental Analysis and Optimization of an R744 Transcritical Cycle Working with a Mechanical Subcooling System. Energies, 13(12), 3204. https://doi.org/10.3390/en13123204

