Development of Optimal Conditioning Method to Improve Economic Efficiency of Polymer Electrolyte Membrane (PEM) Fuel Cells
Abstract
1. Introduction
2. Methodology
2.1. Principal of PEM Fuel Cell Conditioning
2.2. Experimental Setup
3. Results and Discussion
3.1. Comparison of PEM Fuel Cell Conditioning between CC and CV Modes
3.2. Optimization of CV Mode Conditioning
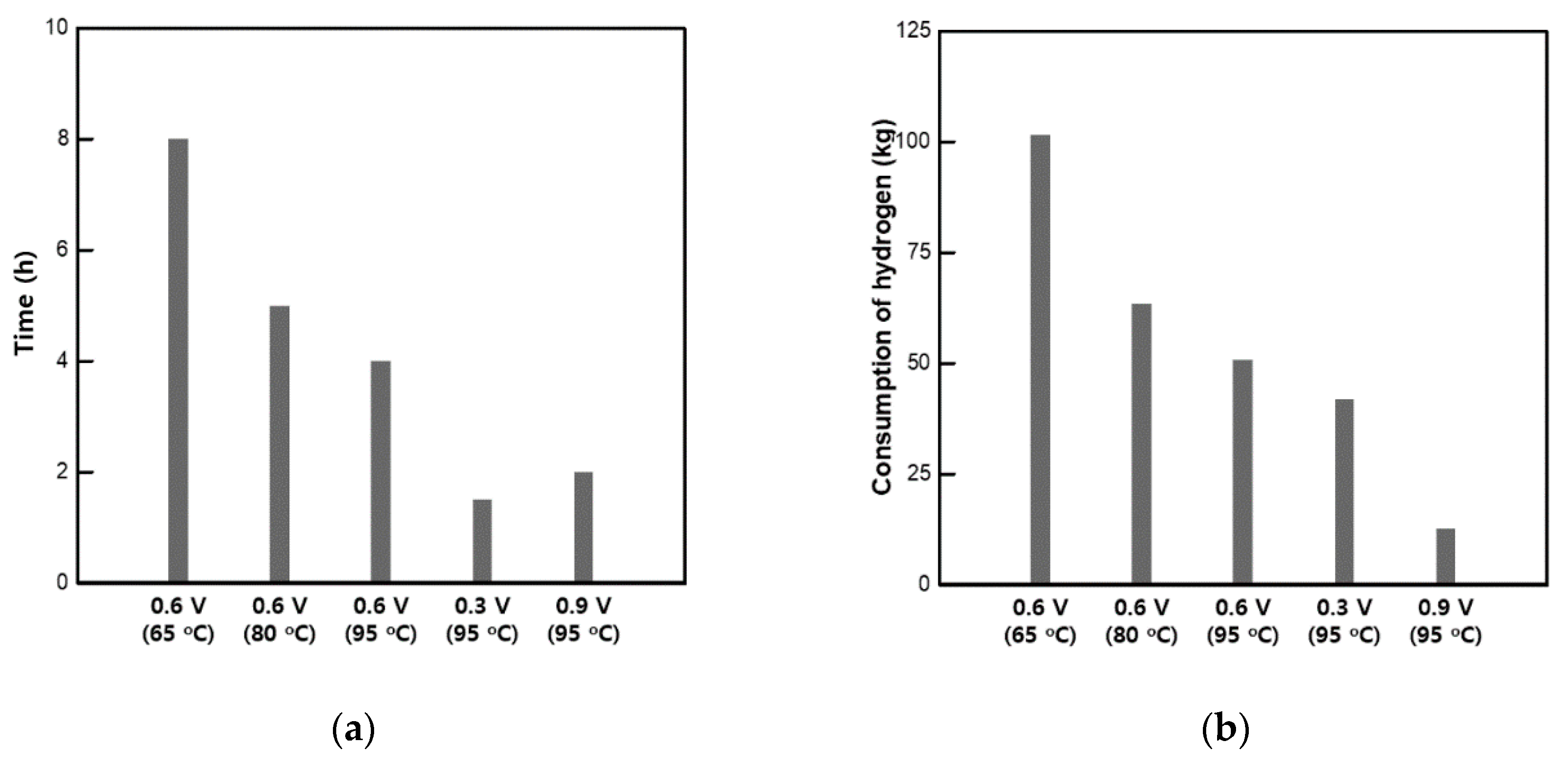
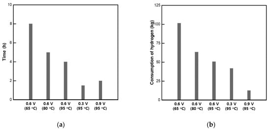
3.2.1. CV Mode Conditioning Depending on Operating Temperature
3.2.2. Economic Analysis of Optimized CV Mode Conditioning
4. Conclusions
Author Contributions
Funding
Conflicts of Interest
References
- Kim, M.S.; Kim, D.K. Parametric study on dynamic heat and mass transfer response in polymer electrolyte membrane fuel cell for automotive applications. Appl. Therm. Eng. 2020, 167, 114729. [Google Scholar] [CrossRef]
- Xu, Z.; Qi, Z.; He, C.; Kaufman, A. Combined activation methods for proton-exchange membrane fuel cells. J. Power Sources 2006, 156, 315–320. [Google Scholar] [CrossRef]
- Ko, J.-J.; Ko, H.-J.; Song, M.-K.; Yang, Y.-C.; Lee, J.-H. Activation of polymer electrolyte membrane fuel cells. Korean Soc. New Renew. Energy 2005, 1, 30–40. [Google Scholar]
- Murthy, M.; Sisofo, N.T.; Baczowski, C.A. Method and Device to Improve Operation of a Fuel Cell. U.S. Patent 11/043,917, 27 July 2006. [Google Scholar]
- Economy, Hydrogen. Roadmap on Manufacturing R&D for the Hydrogen Economy. DOE Hydrogen Program; 2005; ISBN 0309097304. Available online: https://www.energy.gov/sites/prod/files/2014/03/f12/roadmap_manufacturing_hydrogen_economy.pdf (accessed on 2 June 2020).
- Yuan, X.Z.; Zhang, S.; Sun, J.C.; Wang, H. A review of accelerated conditioning for a polymer electrolyte membrane fuel cell. J. Power Sources 2011, 196, 9097–9106. [Google Scholar] [CrossRef]
- Lim, T.W.; Kim, S.H.; Ahn, S.Y.; Hong, B.K.; Ahn, B.K. System and Method for Activating Fuel Cell. U.S. Patent 8,455,121 B2, 4 June 2008. [Google Scholar]
- Hallum, R. Preconditioning Membranes of a Fuel Cell Stack. U.S. Patent 6,576,356 B1, 10 June 2003. [Google Scholar]
- Palanichamy, K.; Prasad, A.K.; Advani, S.G. Off-Line Conditioning of PEM Fuel Cell Membrane Electrode Assembly (MEA). ECS Meet. Abstr. 2008. [Google Scholar] [CrossRef]
- Xing, B.; Savadogo, O. Hydrogen/oxygen polymer electrolyte membrane fuel cells (PEMFCs) based on alkaline-doped polybenzimidazole (PBI). Electrochem. Commun. 2000, 2, 697–702. [Google Scholar] [CrossRef]
- Qi, Z.; Kaufman, A. Enhancement of PEM fuel cell performance by steaming or boiling the electrode. J. Power Sources 2002, 109, 227–229. [Google Scholar] [CrossRef]
- Anderson, B.P. Preconditioning Fuel Cell Membrane Electrode Assemblies. U.S. Patent 7,608,118 B2, 27 October 2009. [Google Scholar]
- Kim, J.-H.; Lee, H.-I.; Bae, B.; Yong Ha, H.; Shukla, A.K.; Christensen, P.A.; Dickinson, A.J.; Hamnett, A. Electrochemical Analysis of the Pre-Conditioning Effects on DMFC Performance. Electrochim. Acta 1983, 45. [Google Scholar]
- Cho, K.Y.; Jung, H.Y. Application of CV cycling to the activation of the polymer electrolyte membrane fuel cell. Appl. Chem. Eng. 2012, 23, 445–449. [Google Scholar]
- Luo, M.J.; Luo, Z.P.; Pan, M. Study on activation process of a PEM fuel cell stack. Wuhan Ligong Daxue Xuebao/Journal Wuhan Univ. Technol. 2006, 28, 499–502. [Google Scholar]
- Weng, F.B.; Jou, B.S.; Su, A.; Chan, S.H.; Chi, P.H. Design, fabrication and performance analysis of a 200 W PEM fuel cell short stack. J. Power Sources 2007, 171, 179–185. [Google Scholar] [CrossRef]
- Qi, Z.; Kaufman, A. Activation of Electrochemical Cells with Catalyst Electrodes. U.S. Patent 6,805,983 B1, 19 October 2004. [Google Scholar]
- Qi, Z.; Kaufman, A. Quick and effective activation of proton-exchange membrane fuel cells. J. Power Sources 2003, 114, 21–31. [Google Scholar] [CrossRef]
- Qi, Z.; Kaufman, A. Activation of low temperature PEM fuel cells. J. Power Sources 2002, 111, 181–184. [Google Scholar] [CrossRef]
- He, C.; Qi, Z.; Kaufman, A. Electrochemical Method to Improve the Performance of H2/Air Pem Fuel Cells and Direct Methanol Fuel Cells. U.S. Patent 6,730,424 B1, 4 May 2004. [Google Scholar]
- Kim, D.K.; Jung Choi, E.; Ho Song, H.; Soo Kim, M. Experimental and numerical study on the water transport behavior through Nafion® 117 for polymer electrolyte membrane fuel cell. J. Memb. Sci. 2016, 497, 194–208. [Google Scholar] [CrossRef]
- Yeager, E.B. 4. SOLID POLYMER ELECTROLYTE FUEL CELLS (SPEFCs). Energy 1986, 11, 137–152. [Google Scholar]
- Kim, J. Modeling of Proton Exchange Membrane Fuel Cell Performance with an Empirical Equation. J. Electrochem. Soc. 1995, 142, 2670. [Google Scholar] [CrossRef]
- Debe, M. Advanced cathode catalysts and supports for PEM fuel cells. Hydrog. Progr. Annu. Merit Rev. 2010, 790–798. [Google Scholar] [CrossRef]
- Pandy, A.; Yang, Z.; Gummalla, M.; Atrazhev, V.V.; Kuzminyh, N.Y.; Sultanov, V.I.; Burlatsky, S. A Carbon Corrosion Model to Evaluate the Effect of Steady State and Transient Operation of a Polymer Electrolyte Membrane Fuel Cell. J. Electrochem. Soc. 2013, 160, F972–F979. [Google Scholar] [CrossRef]
- Liu, J.; Hou, Z. Carbon Corrosion in Polymer Electrolyte Membrane Fuel Cell Catalysts and its Mitigation Strategies. In Eco- and Renewable Energy Materials; Springer: Berlin/Heidelberg, Germany, 2013; pp. 53–72. [Google Scholar]
- Uribe, F.A.; Zawodzinski, T.A. A study of polymer electrolyte fuel cell performance at high voltages. Dependence on cathode catalyst layer composition and on voltage conditioning. Electrochim. Acta 2002, 47, 3799–3806. [Google Scholar] [CrossRef]
- H2 Korea. Pricing of Transport Hydrogen Fuel and Establishment of Supply and Demand System; The Ministry of Trade, Industry and Energy (MOTIE): Sejong, Korea, 2018.
- Hong, S.A. Domestic Hydrogen Production, Consumption and Distribution Status Report; Gwangju Institute of Science and Technology (GIST): Gwangju, Korea, 2018. [Google Scholar]
- McKinney, J.; Bond, E.; Crowell, M.; Odufuwa, E. Assessment of Time and Cost Needed to Attain 100 Hydrogen Refueling Stations in California; California Energy Commission: Sacramento, CA, USA, 2015.








| Expression |
|---|
| C → C+(s) + e− |
| C+(s) + H2O → COsurf + 2H+ + e− |
| COsurf + H2O → CO2 + 2H+ +2e− |
| Conditioning Protocols | Time (h) |
|---|---|
| CC of 1.32 A/cm2 | 3 h |
| CC of 0.60 A/cm2 | 8 h |
| CC of 0.03 A/cm2 | 4 h |
| CV of 0.3 V | 2 h |
| CV of 0.6 V | 5 h |
| CV of 0.9 V | 2 h |
| Conditioning Protocols | Cost (KRW) |
|---|---|
| CV of 0.6 V at 65 °C [3] | 1,092,185 |
| CV of 0.6 V at 80 °C | 682,616 |
| CV of 0.6 V at 95 °C | 546,093 |
| CV of 0.3 V at 95 °C | 450,526 |
| CV of 0.9 V at 95 °C | 136,523 |
| Nation | Cost |
|---|---|
| Korea | 10,756 KRW |
| USA | 13.99 USD |
| Germany | 9.5 EUR |
| Japan | 1,100 JPY |
© 2020 by the authors. Licensee MDPI, Basel, Switzerland. This article is an open access article distributed under the terms and conditions of the Creative Commons Attribution (CC BY) license (http://creativecommons.org/licenses/by/4.0/).
Share and Cite
Kim, M.S.; Song, J.H.; Kim, D.K. Development of Optimal Conditioning Method to Improve Economic Efficiency of Polymer Electrolyte Membrane (PEM) Fuel Cells. Energies 2020, 13, 2831. https://doi.org/10.3390/en13112831
Kim MS, Song JH, Kim DK. Development of Optimal Conditioning Method to Improve Economic Efficiency of Polymer Electrolyte Membrane (PEM) Fuel Cells. Energies. 2020; 13(11):2831. https://doi.org/10.3390/en13112831
Chicago/Turabian StyleKim, Min Soo, Joo Hee Song, and Dong Kyu Kim. 2020. "Development of Optimal Conditioning Method to Improve Economic Efficiency of Polymer Electrolyte Membrane (PEM) Fuel Cells" Energies 13, no. 11: 2831. https://doi.org/10.3390/en13112831
APA StyleKim, M. S., Song, J. H., & Kim, D. K. (2020). Development of Optimal Conditioning Method to Improve Economic Efficiency of Polymer Electrolyte Membrane (PEM) Fuel Cells. Energies, 13(11), 2831. https://doi.org/10.3390/en13112831

