Geometry-Load Based Hybrid Correction Method for the Pre-Deformation Design of a Steam Turbine Blade
Abstract
1. Introduction
2. Blade Deformation under Aerodynamic Loading
3. Implementation and Analysis of the GLHC Method
4. Pre-Deformation Design Process Based on the GLHC
5. Conclusions
Author Contributions
Funding
Conflicts of Interest
References
- Sarkar, D.K. Steam Turbines. In Thermal Power Plant; Sarkar, D.K., Ed.; Elsevier: Amsterdam, The Netherlands, 2015; pp. 189–237. [Google Scholar] [CrossRef]
- Kaneko, Y.; Kanki, H.; Kawashita, R. Steam turbine rotor design and rotor dynamics analysis. In Advances in Steam Turbines for Modern Power Plants; Tanuma, T., Ed.; Woodhead Publishing: Cambridge, UK, 2017; pp. 127–151. [Google Scholar] [CrossRef]
- Lucacci, G. Steels and alloys for turbine blades in ultra-supercritical power plants. In Materials for Ultra-Supercritical and Advanced Ultra-Supercritical Power Plants; Di Gianfrancesco, A., Ed.; Woodhead Publishing: Cambridge, UK, 2017; pp. 175–196. [Google Scholar] [CrossRef]
- Prabhunandan, G.S.; Byregowda, H.V. Dynamic Analysis of A Steam Turbine With Numerical Approach. Mater. Today-Proc. 2018, 5, 5414–5420. [Google Scholar] [CrossRef]
- Tanuma, T. Development of last-stage long blades for steam turbines. In Advances in Steam Turbines for Modern Power Plants; Tanuma, T., Ed.; Woodhead Publishing: Cambridge, UK, 2017; pp. 279–305. [Google Scholar] [CrossRef]
- Eleftheriou, K.D.; Efstathiadis, T.G.; Kalfas, A.I. Stator Blade Design of an Axial Turbine using Non-Ideal Gases with Low Real-Flow Effects. Energy Procedia 2017, 105, 1606–1613. [Google Scholar] [CrossRef]
- Moheban, M.; Young, J.B. A study of thermal nonequilibrium effects in low-pressure wet-steam turbines using a blade-to-blade time-marching technique. Int. J. Heat Fluid Flow 1985, 6, 269–278. [Google Scholar] [CrossRef]
- Bhagi, L.K.; Rastogi, V.; Gupta, P.; Pradhan, S. Dynamic Stress Analysis of L-1 Low Pressure Steam Turbine Blade: Mathematical Modelling and Finite Element Method. Mater. Today-Proc. 2018, 5, 28117–28126. [Google Scholar] [CrossRef]
- Chatterjee, A. Lumped parameter modelling of turbine blade packets for analysis of modal characteristics and identification of damage induced mistuning. Appl. Math. Model. 2016, 40, 2119–2133. [Google Scholar] [CrossRef]
- Choi, W.; Kang, H.; Baek, T. A turbine-blade balancing problem. Int. J. Prod. Econ. 1999, 60–61, 405–410. [Google Scholar] [CrossRef]
- Shukla, A.; Harsha, S.P. An experimental and FEM modal analysis of cracked and normal Steam Turbine Blade. Mater. Today-Proc. 2015, 2, 2056–2063. [Google Scholar] [CrossRef]
- Ahmad, S.; Suman, A.; Sidharth, T.; Pawar, G.; Kumar, V.; Vyas, N.S. Structural Integrity Analysis and Life Estimation of a Gas Turbine Bladed-Disc. Procedia Struct. Integr. 2019, 17, 758–765. [Google Scholar] [CrossRef]
- Kim, B.; Kim, W.; Lee, S.; Bae, S.; Lee, Y. Developement and verification of a performance based optimal design software for wind turbine blades. Renew. Energy 2013, 54, 166–172. [Google Scholar] [CrossRef]
- Zhu, X.C.; Chen, H.F.; Xuan, F.Z.; Chen, X.H. Cyclic plasticity behaviors of steam turbine rotor subjected to cyclic thermal and mechanical loads. Eur. J. Mech. -A/Solids 2017, 66, 243–255. [Google Scholar] [CrossRef]
- Jiang, S.; Chen, F.; Yu, J.Y.; Chen, S.W.; Song, Y.P. Treatment and optimization of casing and blade tip for aerodynamic control of tip leakage flow in a turbine cascade. Aerosp. Sci. Technol. 2019, 86, 704–713. [Google Scholar] [CrossRef]
- Diamond, D.H.; Heyns, P.S.; Oberholster, A.J. Improved Blade Tip Timing measurements during transient conditions using a State Space Model. Mech. Syst. Signal Process. 2019, 122, 555–579. [Google Scholar] [CrossRef]
- McBean, I. Manufacturing technologies for key steam turbine parts. In Advances in Steam Turbines for Modern Power Plants; Tanuma, T., Ed.; Woodhead Publishing: Cambridge, UK, 2017; pp. 381–393. [Google Scholar] [CrossRef]
- Chen, L.-C.; Lin, G.C.I. Reverse engineering in the design of turbine blades–a case study in applying the MAMDP. Robot. Comput. Integr. Manuf. 2000, 16, 161–167. [Google Scholar] [CrossRef]
- Albanesi, A.; Fachinotti, V.; Peralta, I.; Storti, B.; Gebhardt, C. Application of the inverse finite element method to design wind turbine blades. Compos. Struct. 2017, 161, 160–172. [Google Scholar] [CrossRef]
- Albanesi, A.; Bre, F.; Fachinotti, V.; Gebhardt, C. Simultaneous ply-order, ply-number and ply-drop optimization of laminate wind turbine blades using the inverse finite element method. Compos. Struct. 2018, 184, 894–903. [Google Scholar] [CrossRef]
- Chen, S.T.; Sun, W.; Niu, L.; Chen, L.; Hou, Y. Effect of impeller blade profile on the cryogenic two-phase turbo-expander performance. Appl. Therm. Eng. 2017, 126, 884–891. [Google Scholar] [CrossRef]
- Saeed, H.A.H.; Elmekawy, A.M.N.; Kassab, S.Z. Numerical study of improving Savonius turbine power coefficient by various blade shapes. Alex. Eng. J. 2019, 58, 429–441. [Google Scholar] [CrossRef]
- Hou, Y.H.; Zhang, Y.; Zhang, D.H. Geometric error analysis of compressor blade based on reconstructing leading and trailing edges smoothly. Proc. Cirp. 2016, 56, 272–278. [Google Scholar] [CrossRef][Green Version]
- Kamoun, B.; Afungchui, D.; Abid, M. The inverse design of the wind turbine blade sections by the singularities method. Renew. Energy 2006, 31, 2091–2107. [Google Scholar] [CrossRef]
- Kollar, L.E.; Mishra, R. Inverse design of wind turbine blade sections for operation under icing conditions. Energy Convers. Manage. 2019, 180, 844–858. [Google Scholar] [CrossRef]
- Yang, H.; Wang, B.; Zhen, S.; Zheng, Y. Comparative analysis of numerical methods for rotor blade unrunning design. In Proceedings of the 2014 ISFMFE—6th International Symposium on Fluid Machinery and Fluid Engineering, Wuhan, China, 22 October 2014; pp. 1–8. [Google Scholar]
- Timon, V.P.; Corral, R. A study on the effects of geometric non linearities on the un-running transformation of compressor blades. In Proceedings of the ASME Turbo Expo 2014: Turbine Technical Conference and Exposition, Düsseldorf, Germany, 16–20 June 2014. [Google Scholar]
- Wood, N.B.; Morton, V.M. Inlet angle distribution of last stage moving blades for large steam turbines. Int. J. Heat Fluid Flow 1984, 5, 101–111. [Google Scholar] [CrossRef]
- Chaibakhsh, A.; Ghaffari, A. Steam turbine model. Simul. Model. Pract. Theory 2008, 16, 1145–1162. [Google Scholar] [CrossRef]
- Fadl, M.; Stein, P.; He, L. Full conjugate heat transfer modelling for steam turbines in transient operations. Int. J. Therm. Sci 2018, 124, 240–250. [Google Scholar] [CrossRef]
- Han, X.; Zeng, W.; Han, Z.H. Investigation of the comprehensive performance of turbine stator cascades with heating endwall fences. Energy 2019, 174, 1188–1199. [Google Scholar] [CrossRef]
- Hashemian, A.; Lakzian, E.; Ebrahimi-Fizik, A. On the application of isogeometric finite volume method in numerical analysis of wet-steam flow through turbine cascades. Comput. Math. Appl. 2019, 79, 1687–1705. [Google Scholar] [CrossRef]
- Shankar, M.; Kumar, K.; Prasad, S.L.A. T-root blades in a steam turbine rotor: A case study. Eng. Fail. Anal. 2010, 17, 1205–1212. [Google Scholar] [CrossRef]
- Brahimi, F.; Ouibrahim, A. Blade dynamical response based on aeroelastic analysis of fluid structure interaction in turbomachinery. Energy 2016, 115, 986–995. [Google Scholar] [CrossRef]
- Richter, C.-H. Structural design of modern steam turbine blades using ADINA™. Comput. Struct. 2003, 81, 919–927. [Google Scholar] [CrossRef]
- Francesco, G.; Federico, M.; Adriano, M. CFD modelling of the condensation inside a cascade of steam turbine blades: comparison with an experimental test case. Energy Procedia 2017, 126, 730–737. [Google Scholar] [CrossRef]
- Jang, H.J.; Kang, S.Y.; Lee, J.J.; Kim, T.S.; Park, S.J. Performance analysis of a multi-stage ultra-supercritical steam turbine using computational fluid dynamics. Appl. Therm. Eng. 2015, 87, 352–361. [Google Scholar] [CrossRef]
- Noori Rahim Abadi, S.M.A.; Ahmadpour, A.; Abadi, S.M.N.R.; Meyer, J.P. CFD-based shape optimization of steam turbine blade cascade in transonic two phase flows. Appl. Therm. Eng 2017, 112, 1575–1589. [Google Scholar] [CrossRef]
- Obert, B.; Cinnella, P. Comparison of steady and unsteady RANS CFD simulation of a supersonic ORC turbine. Enrgy Procedia 2017, 129, 1063–1070. [Google Scholar] [CrossRef]
- Hassenpflug, W.C. The incompressible two-dimensional potential flow through blades of a rotating radial impeller. Math. Comput. Model. 2010, 52, 1299–1389. [Google Scholar] [CrossRef]
- Dulau, M.; Bica, D. Mathematical modelling and simulation of the behaviour of the steam turbine. Procedia Technol. 2014, 12, 723–729. [Google Scholar] [CrossRef]
- Wang, W.L.; Zhang, H.; Liu, P.; Li, Z.; Ni, W.D.; Uechi, H.; Matsumura, T. A finite element method approach to the temperature distribution in the inner casing of a steam turbine in a combined cycle power plant. Appl. Therm. Eng. 2016, 105, 18–27. [Google Scholar] [CrossRef]
- Hou, Y.H.; Zhang, D.H.; Mei, J.W.; Zhang, Y.; Luo, M. Geometric modelling of thin-walled blade based on compensation method of machining error and design intent. J. Manuf. Process. 2019, 44, 327–336. [Google Scholar] [CrossRef]
- Li, L.; Jiao, J.K.; Sun, S.Y.; Zhao, Z.A.; Kang, J.L. Aerodynamic shape optimization of a single turbine stage based on parameterized Free-Form Deformation with mapping design parameters. Energy 2019, 169, 444–455. [Google Scholar] [CrossRef]
- Zhu, W.; Wang, J.W.; Yang, L.; Zhou, Y.C.; Wei, Y.G.; Wu, R.T. Modeling and simulation of the temperature and stress fields in a 3D turbine blade coated with thermal barrier coatings. Surf. Coat. Technol. 2017, 315, 443–453. [Google Scholar] [CrossRef]
- Huang, C.H.; Hsiung, T.Y. An inverse design problem of estimating optimal shape of cooling passages in turbine blades. Int. J. Heat Mass Transf. 1999, 42, 4307–4319. [Google Scholar] [CrossRef]
- Pascoa, J.C.; Mendes, A.C.; Gato, L.M.C. A fast iterative inverse method for turbomachinery blade design. Mech. Res. Commun. 2009, 36, 630–637. [Google Scholar] [CrossRef]
- Jiang, X.Q.; Lin, A.Q.; Malik, A.; Chang, X.Y.; Xu, Y.Y. Numerical investigation on aerodynamic characteristics of exhaust passage with consideration of multi-factor components in a supercritical steam turbine. Appl. Therm. Eng. 2019, 162, 114085. [Google Scholar] [CrossRef]
- Tanuma, T. Design and analysis for aerodynamic efficiency enhancement of steam turbines. In Advances in Steam Turbines for Modern Power Plants; Tanuma, T., Ed.; Woodhead Publishing: Cambridge, UK, 2017; pp. 109–126. [Google Scholar] [CrossRef]
- Korakianitis, T.; Hamakhan, I.A.; Rezaienia, M.A.; Wheeler, A.P.S.; Avital, E.J.; Williams, J.J.R. Design of high-efficiency turbomachinery blades for energy conversion devices with the three-dimensional prescribed surface curvature distribution blade design (CIRCLE) method. Appl. Energy 2012, 89, 215–227. [Google Scholar] [CrossRef]
- Yi, G.; Zhou, H.; Qiu, L.; Wu, J. Hot Blade Shape Reconstruction Considering Variable Stiffness and Unbalanced Load in a Steam Turbine. Energies 2020, 13, 835. [Google Scholar] [CrossRef]











| Parameter | Value |
|---|---|
| Density (kg/m3) | 7750 |
| Young’s modulus | 2.19e5 |
| Poisson’s ratio | 0.315 |
| Yield strength (MPa) | 440 |
| Tensile strength (MPa) | 655 |
| Solver | Type | Pressure-Based | |
| Velocity Formulation | Absolute | ||
| Time | Steady | ||
| Model | Viscous | RNG k-epsilon, Standard Wall Functions | |
| Solution Methods | Pressure-Velocity Coupling Scheme | Simple | |
| Spatial Discretization | Gradient | Least Squares Cell Based | |
| Pressure | PRESTO! | ||
| Momentum | Second Order Upwind | ||
| Volume Fraction | First Order Upwind | ||
| Turbulent Kinetic Energy | First Order Upwind | ||
| Solution Controls | Under-Relaxation Factors | Pressure | 0.3 |
| Density | 1 | ||
| Body Forces | 1 | ||
| Momentum | 0.7 | ||
| Volume Fraction | 0.5 | ||
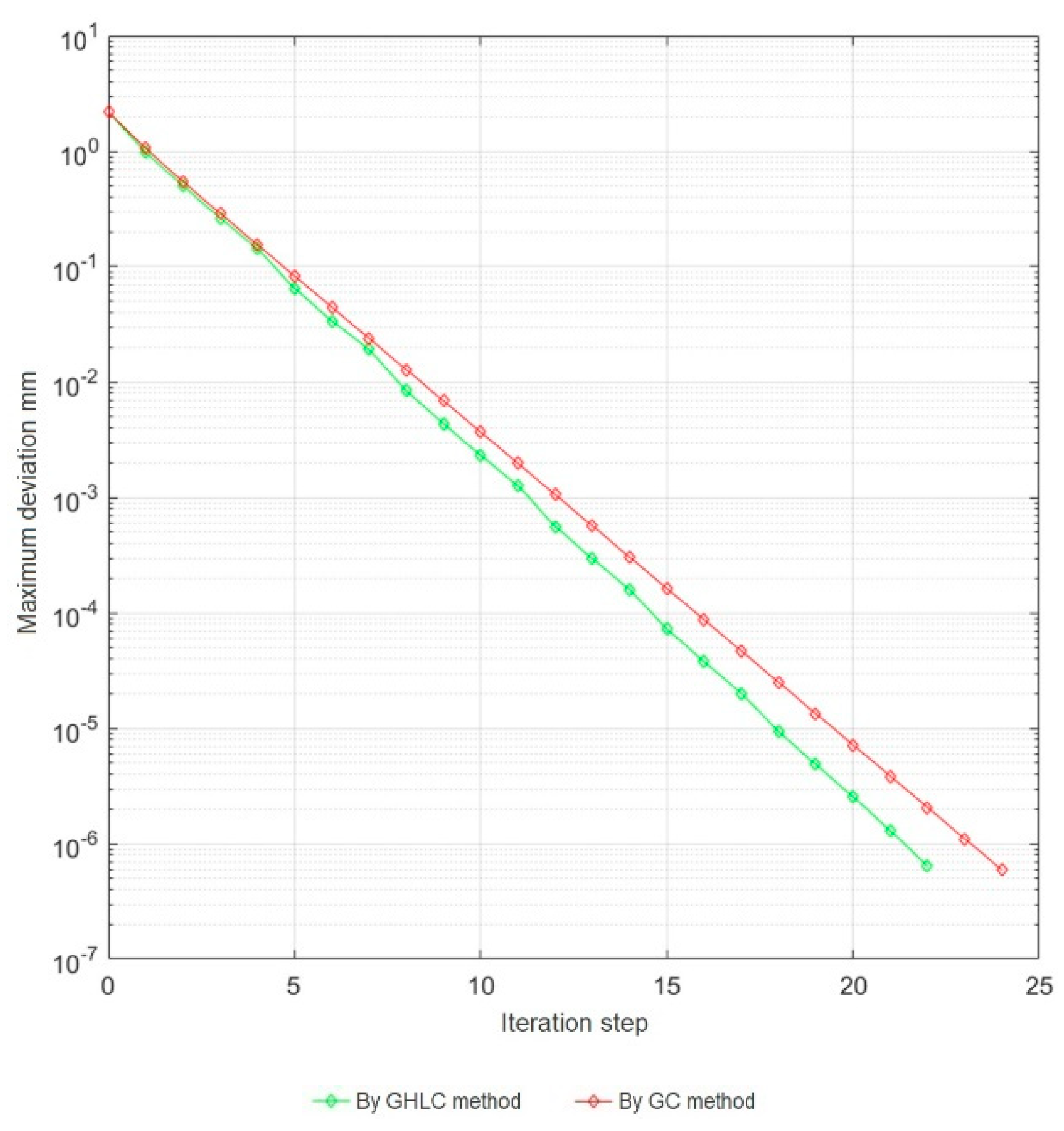
| Iteration Step | GLHC Method (mm) | GC Method (mm) | Iteration Step | GLHC Method (mm) | GC Method (mm) |
|---|---|---|---|---|---|
| 0 | 2.1938489119 | 2.1938489119 | 13 | 0.0002947105 | 0.0005672105 |
| 1 | 0.9793779881 | 1.0581200722 | 14 | 0.0001592261 | 0.0003039346 |
| 2 | 0.5045646197 | 0.5462433532 | 15 | 0.0000725571 | 0.0001628567 |
| 3 | 0.2641159614 | 0.2895646571 | 16 | 0.0000377632 | 0.0000872625 |
| 4 | 0.1438276436 | 0.1549080461 | 17 | 0.0000201236 | 0.0000467573 |
| 5 | 0.0648751054 | 0.0830877145 | 18 | 0.0000093856 | 0.0000250531 |
| 6 | 0.0339135972 | 0.0445829579 | 19 | 0.0000048553 | 0.0000134236 |
| 7 | 0.0191900048 | 0.0239164134 | 20 | 0.0000025552 | 0.0000071925 |
| 8 | 0.0084100985 | 0.0128255577 | 21 | 0.0000012988 | 0.0000038535 |
| 9 | 0.0043623771 | 0.0068759779 | 22 | 0.0000006426 | 0.0000020658 |
| 10 | 0.0023099302 | 0.0036855758 | 23 | — | 0.0000011024 |
| 11 | 0.0012694392 | 0.0019752317 | 24 | — | 0.0000005953 |
| 12 | 0.0005620284 | 0.0010585044 | 25 | — | — |
© 2020 by the authors. Licensee MDPI, Basel, Switzerland. This article is an open access article distributed under the terms and conditions of the Creative Commons Attribution (CC BY) license (http://creativecommons.org/licenses/by/4.0/).
Share and Cite
Yi, G.; Zhou, H.; Qiu, L.; Wu, J. Geometry-Load Based Hybrid Correction Method for the Pre-Deformation Design of a Steam Turbine Blade. Energies 2020, 13, 2471. https://doi.org/10.3390/en13102471
Yi G, Zhou H, Qiu L, Wu J. Geometry-Load Based Hybrid Correction Method for the Pre-Deformation Design of a Steam Turbine Blade. Energies. 2020; 13(10):2471. https://doi.org/10.3390/en13102471
Chicago/Turabian StyleYi, Guodong, Huifang Zhou, Lemiao Qiu, and Jundi Wu. 2020. "Geometry-Load Based Hybrid Correction Method for the Pre-Deformation Design of a Steam Turbine Blade" Energies 13, no. 10: 2471. https://doi.org/10.3390/en13102471
APA StyleYi, G., Zhou, H., Qiu, L., & Wu, J. (2020). Geometry-Load Based Hybrid Correction Method for the Pre-Deformation Design of a Steam Turbine Blade. Energies, 13(10), 2471. https://doi.org/10.3390/en13102471

