FRA Diagnostics Measurement of Winding Deformation in Model Single-Phase Transformers Made with Silicon-Steel, Amorphous and Nanocrystalline Magnetic Cores
Abstract
1. Introduction
2. Methodology
2.1. Characterization of Used Materials
2.2. Test Objects
2.3. Measurement Stand
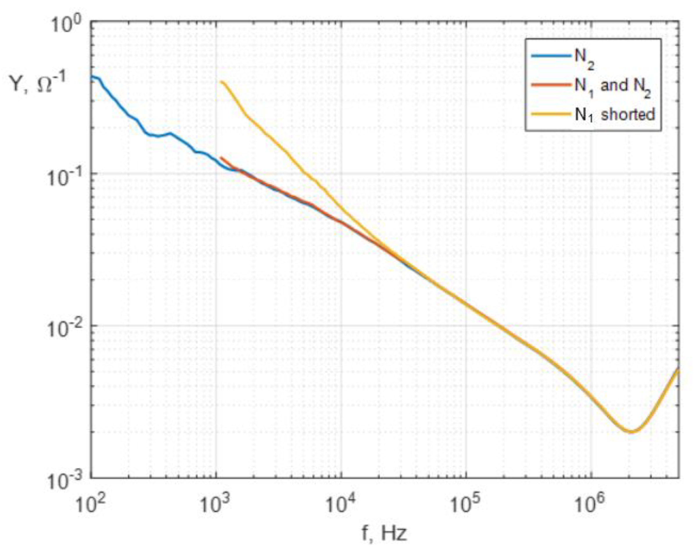
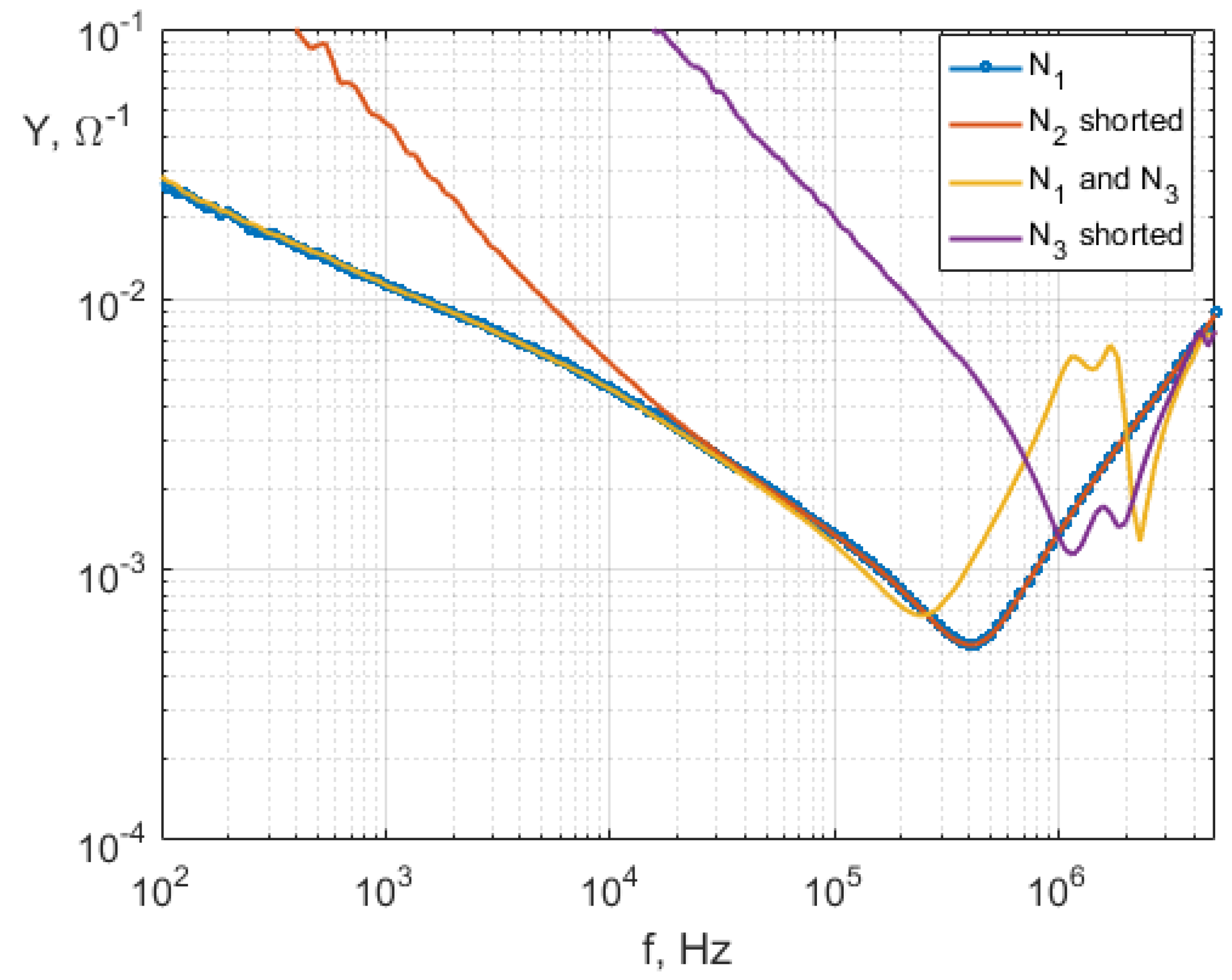
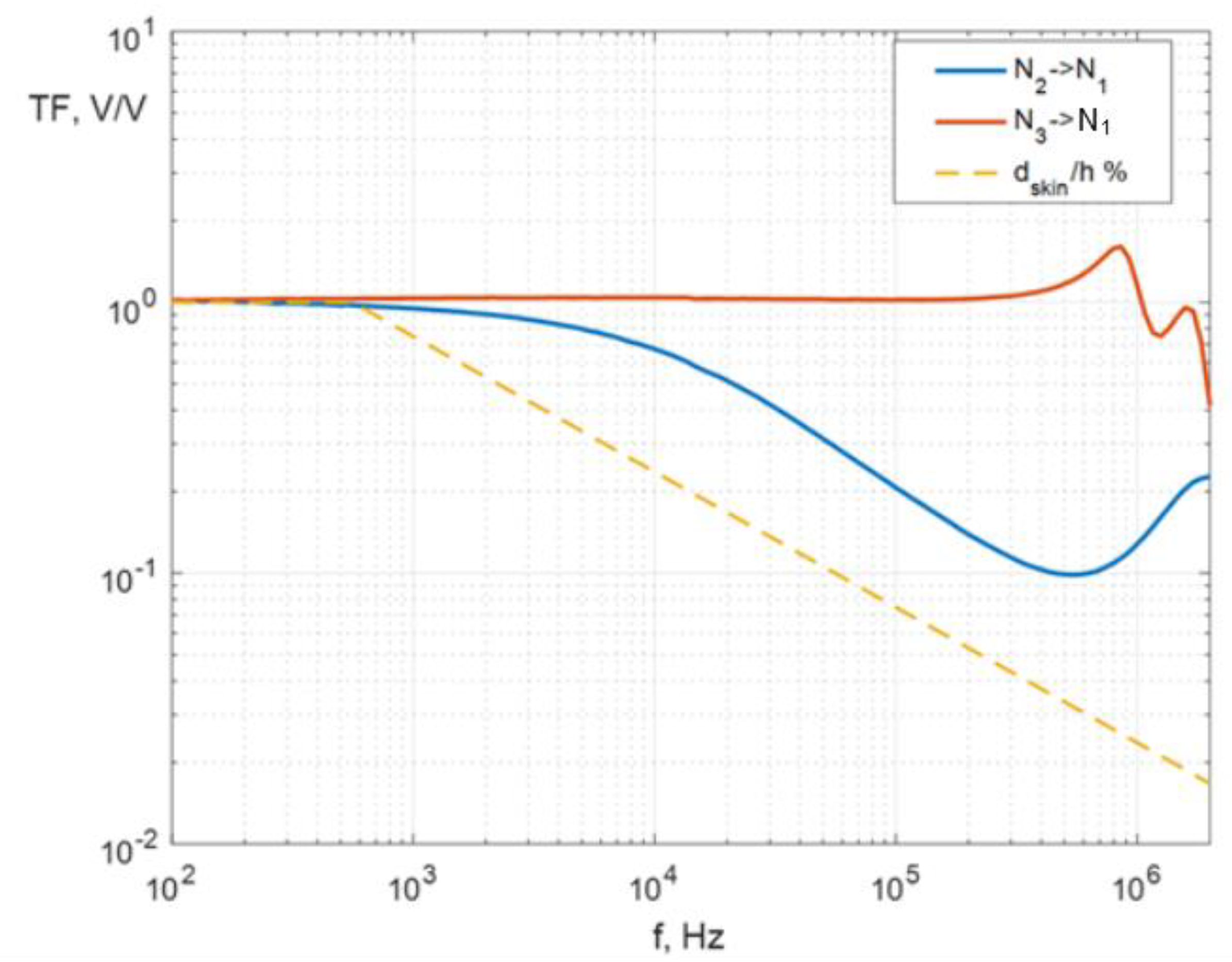
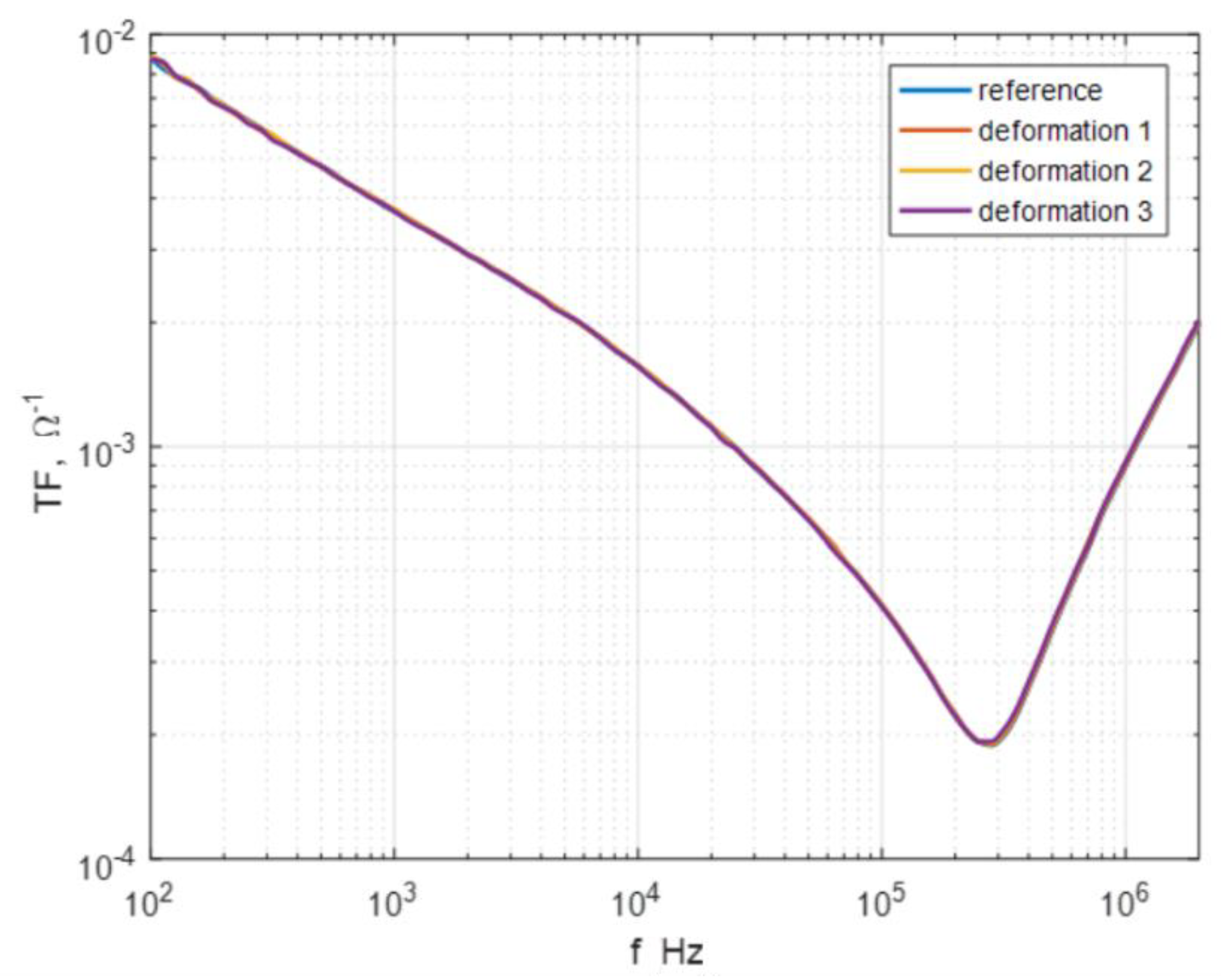
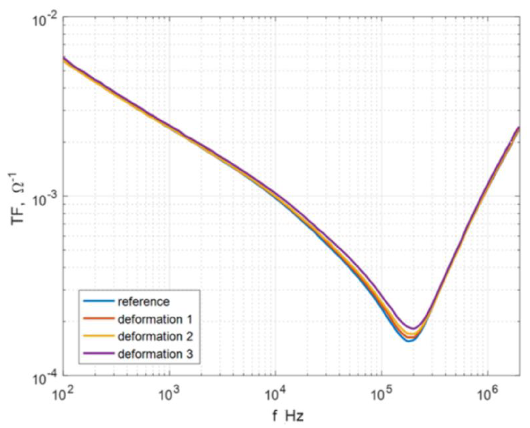
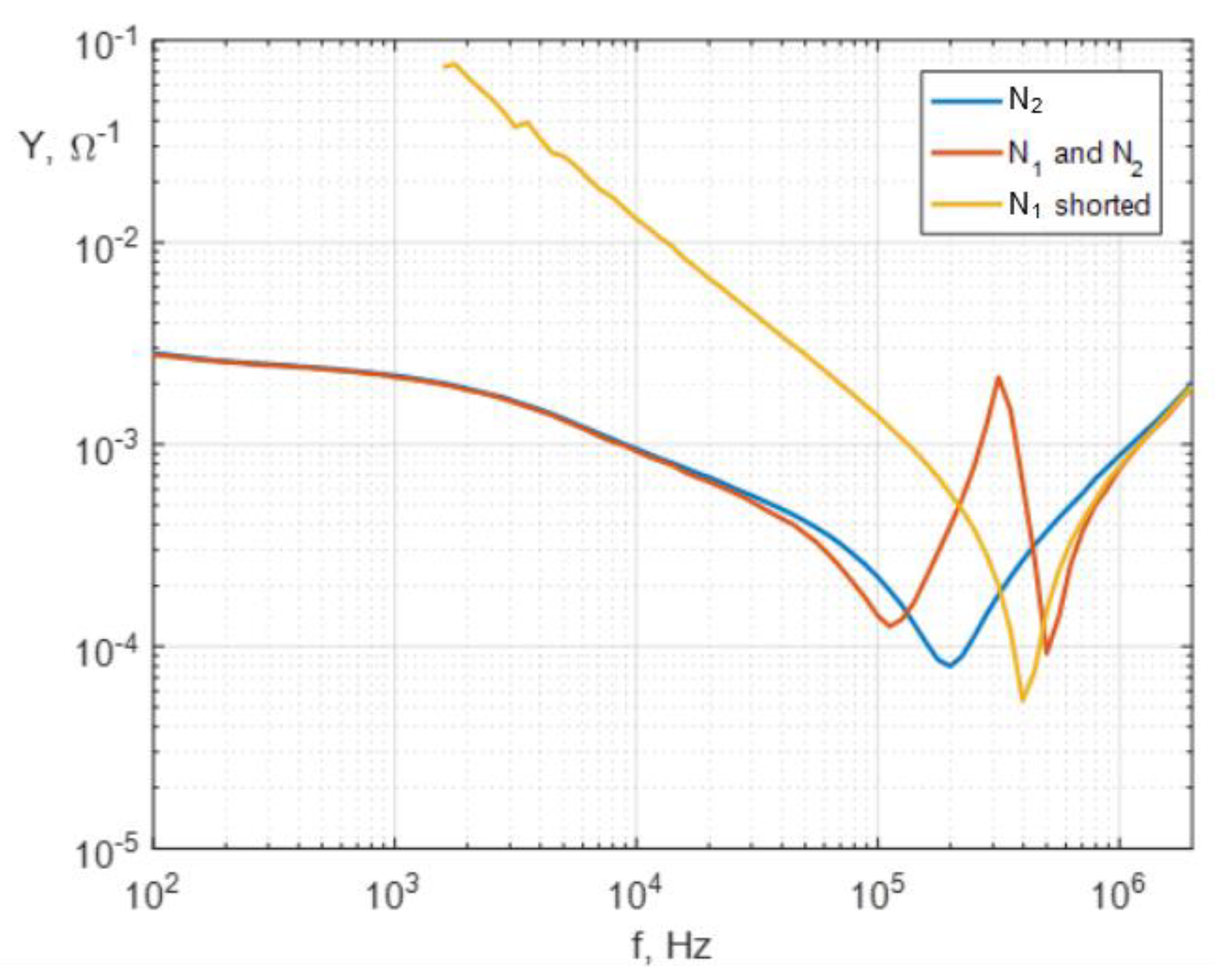
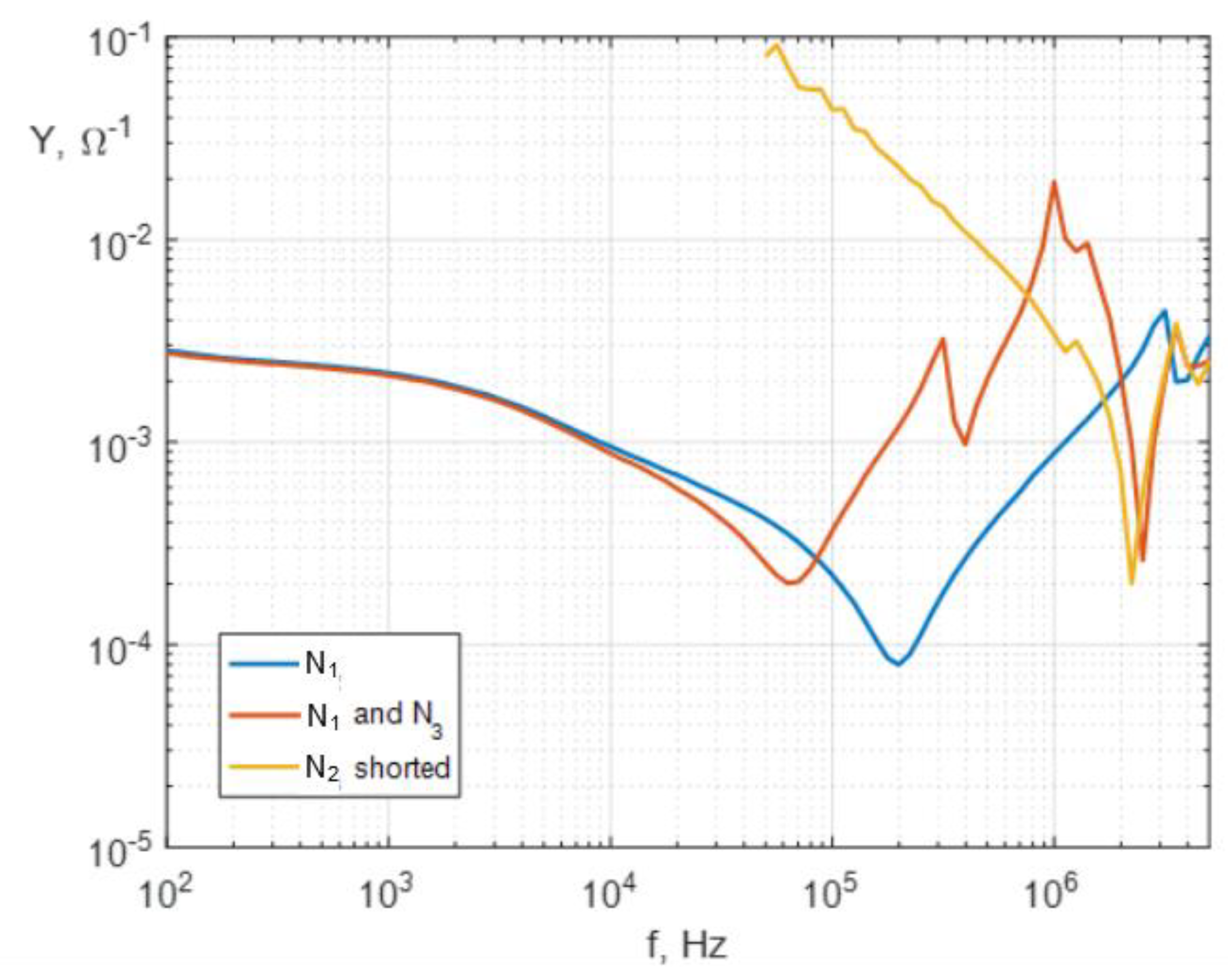
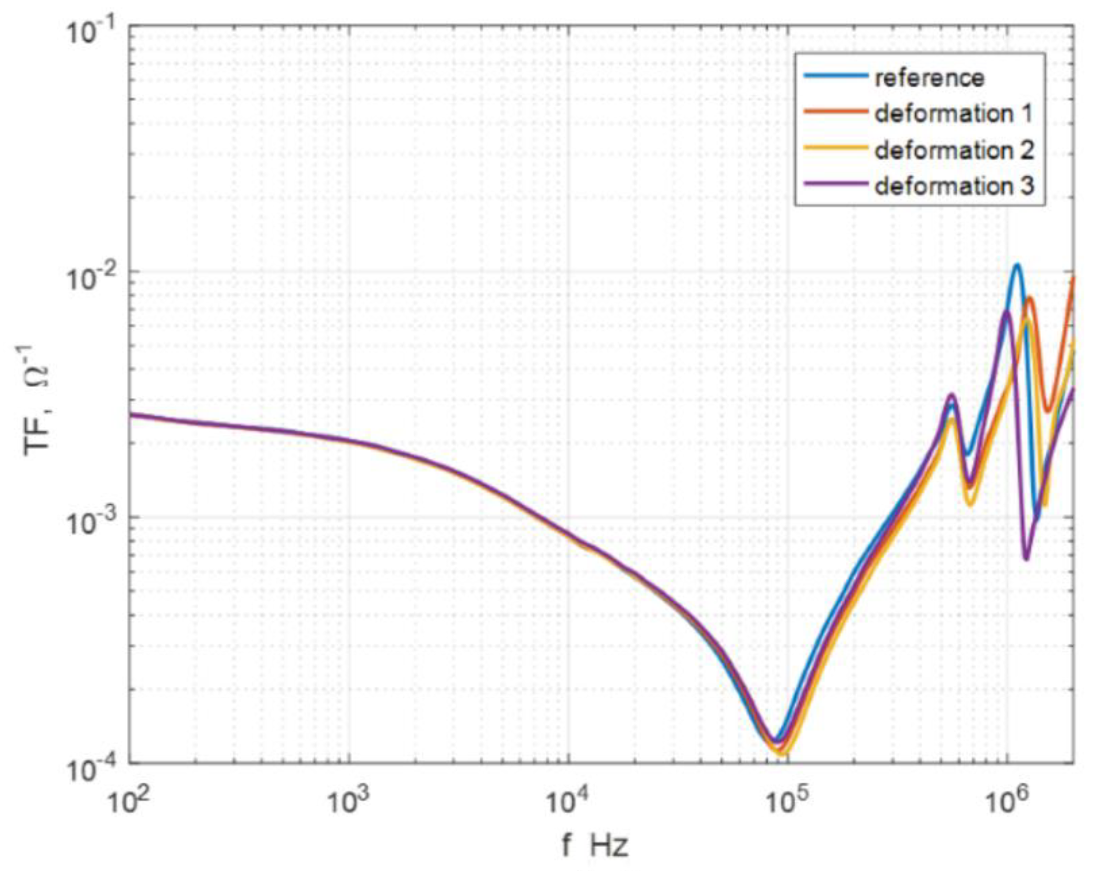
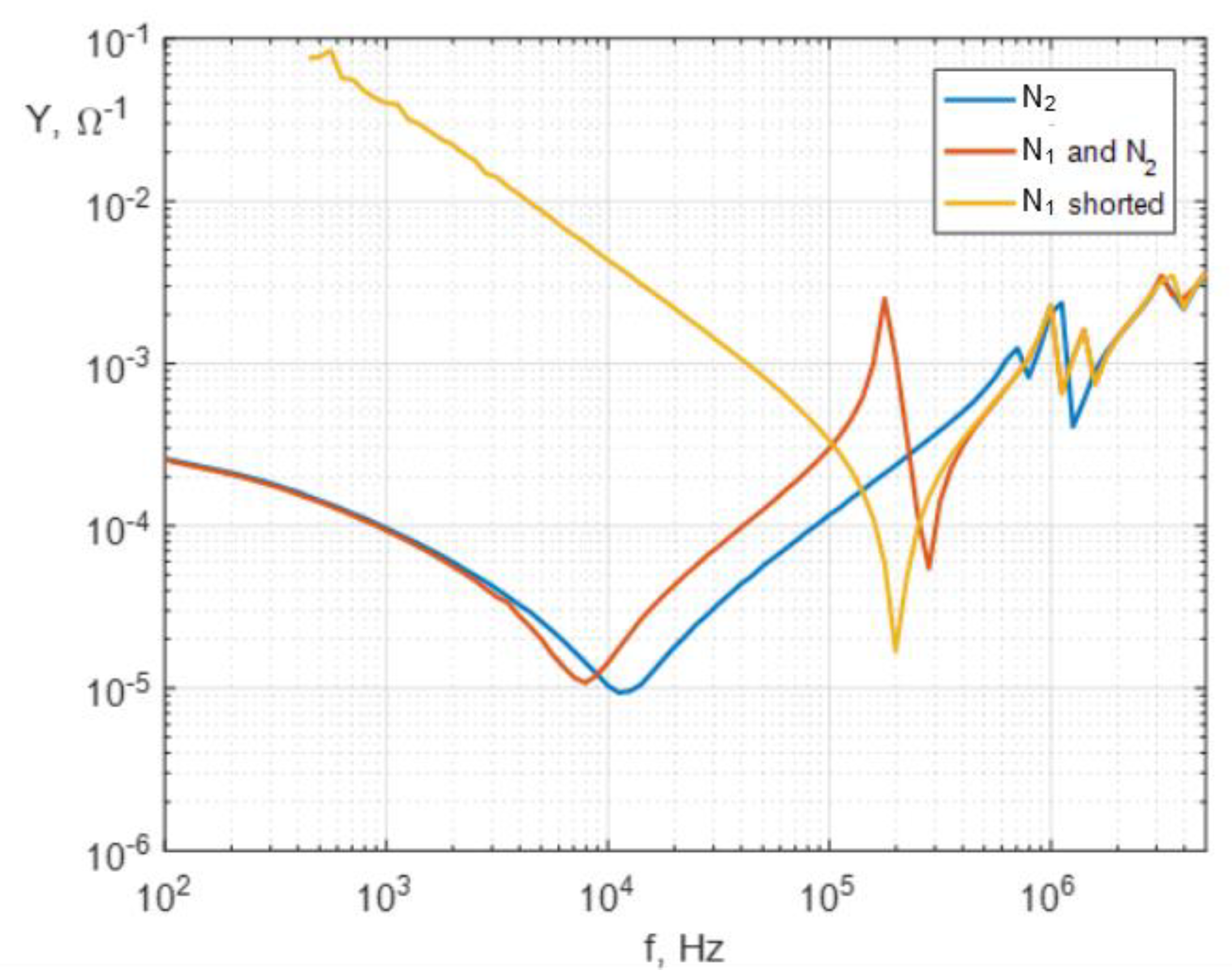
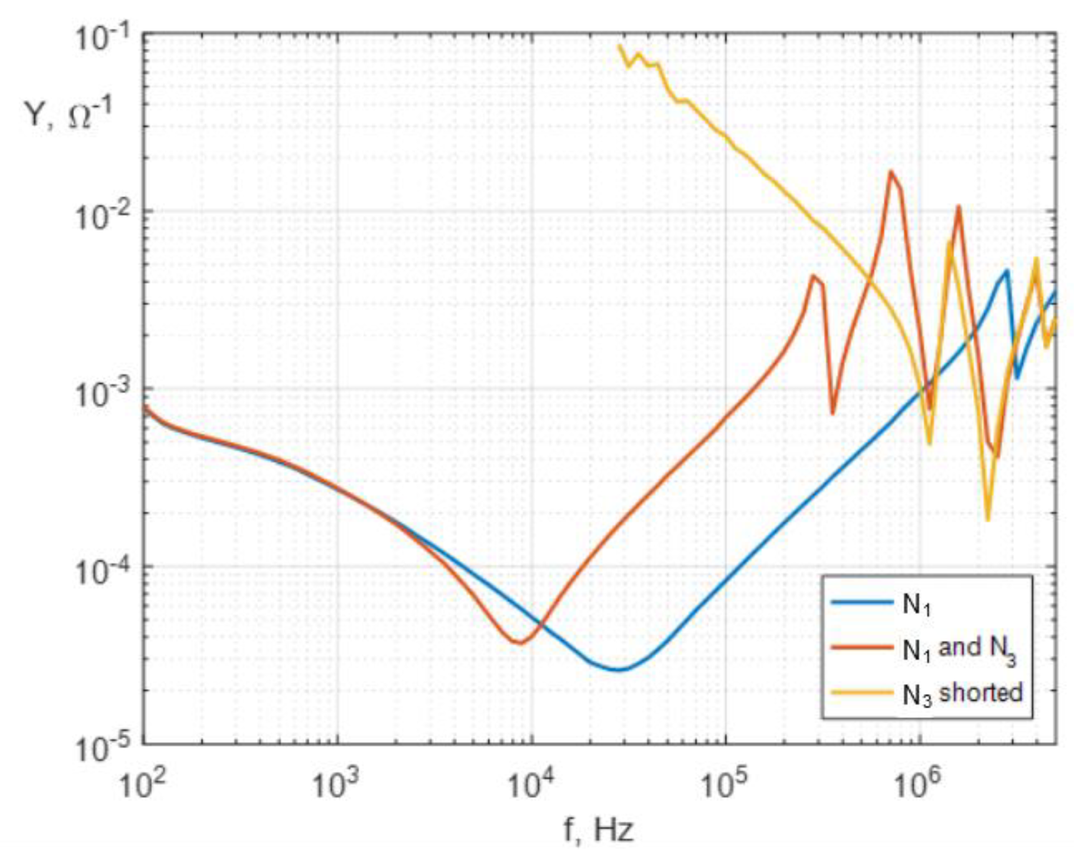
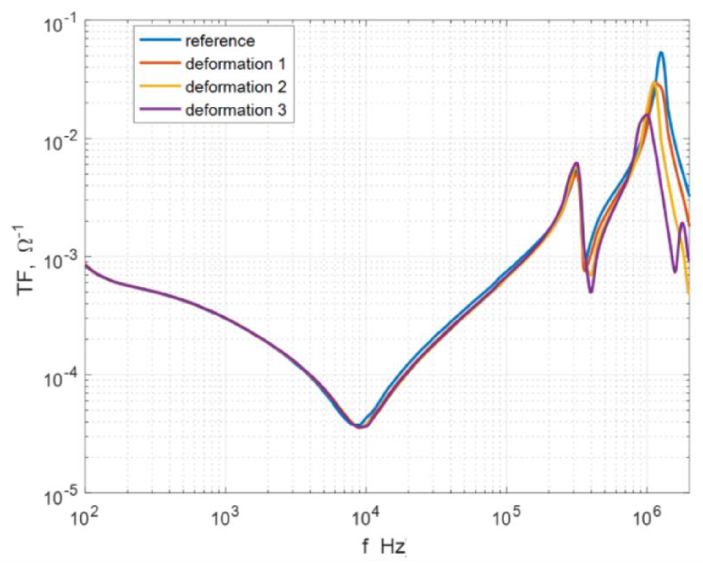
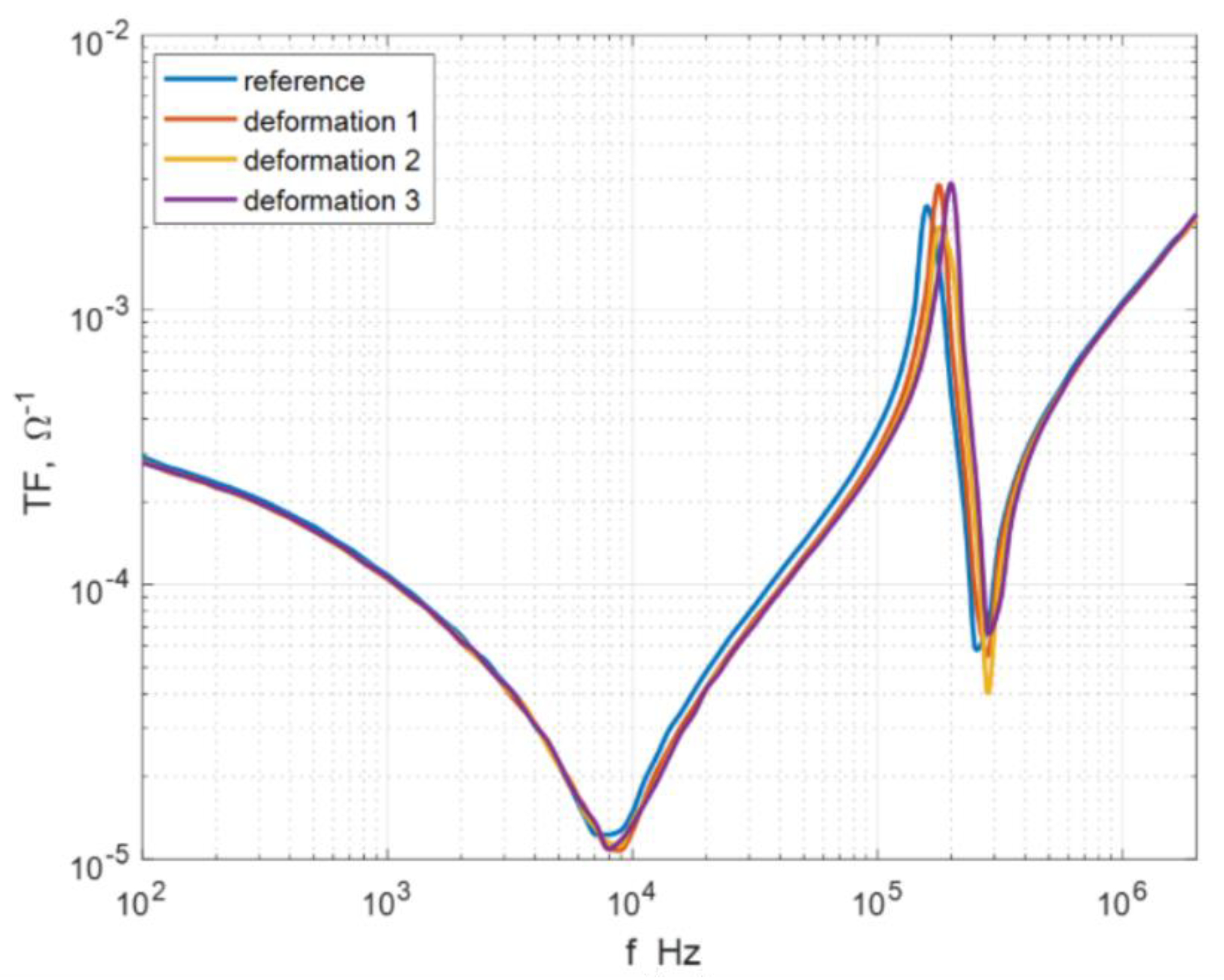
3. Measurement Results and Discussion
3.1. Model with Silicon Steel Magnetic Core
3.2. Model with Amorphous Magnetic Core
3.3. Model with Nanocrystalline Magnetic Core
4. Conclusions
Funding
Conflicts of Interest
References
- CIGRE. Guide for Transformer Maintenance; CIGRE Technical Brochure No. 445; CIGRE: Paris, France, 2011. [Google Scholar]
- IEEE. IEEE Guide for Interpretation of Gases Generated in Natural Ester and Synthetic Ester-Immersed Transformers; IEEE Std C57.155-2014; Institute of Electrical and Electronics Engineers (IEEE): Piscataway, NJ, USA, 2014; pp. 1–52. [Google Scholar]
- Florkowski, M.; Furgał, J.; Kuniewski, M. Propagation of overvoltages in distribution transformers with silicon steel and amorphous cores. IET Gener. Transm. Distrib. 2015, 9, 2736–2742. [Google Scholar] [CrossRef]
- Sima, W.; Liu, Y.; Sun, P.; Zhou, Y.; Peng, D.; Yang, M. The Effect of Different Core Materials on Transformer Inrush Currents. In Proceedings of the 2018 IEEE International Magnetics Conference (INTERMAG), Singapore, 23–27 April 2018; pp. 1–4. [Google Scholar]
- Tenbohlen, S.; Coenen, S.; Djamali, M.; Müller, A.; Samimi, M.H.; Siegel, M. Diagnostic Measurements for Power Transformers. Energies 2016, 9, 347. [Google Scholar] [CrossRef]
- Piotrowski, T.; Rózga, P.; Kozak, R. Comparative Analysis of the Results of Diagnostic Measurements with an Internal Inspection of Oil-Filled Power Transformers. Energies 2019, 12, 2155. [Google Scholar] [CrossRef]
- Florkowski, M.; Furgał, J. Transformer winding defects identification based on a high frequency method. Meas. Sci. Technol. 2007, 18, 2827–2835. [Google Scholar] [CrossRef]
- Khalilisenobari, R.; Sadeh, J.; Borsi, H. Frequency response analysis (FRA) of transformers as a tool for fault detection and location: A review. Electr. Power Syst. Res. 2018, 155, 172–183. [Google Scholar] [CrossRef]
- Alsuhaibani, S.; Khan, Y.; Beroual, A.; Malik, N.H. A Review of Frequency Response Analysis Methods for Power Transformer Diagnostics. Energies 2016, 9, 879. [Google Scholar] [CrossRef]
- Gomez-Luna, E.; Gonzalez-Garcia, C.; Mayor, G.A.; Guerra, J.P. Current Status and Future Trends in Frequency-Response Analysis with a Transformer in Service. IEEE Trans. Power Deliv. 2013, 28, 1024–1031. [Google Scholar] [CrossRef]
- Kuniewski, M.; Zydron, P. Analysis of the Applicability of Various Excitation Signals for FRA Diagnostics of Transformers. In Proceedings of the 2018 IEEE 2nd International Conference on Dielectrics (ICD), Budapest, Hungary, 1–5 July 2018; pp. 1–4. [Google Scholar]
- IEC. 60076-18 Edition 1.0 2012-07 Power Transformers—Part 18: Measurement of Frequency Response; IEC: Geneva, Switzerland, 2012. [Google Scholar]
- IEEE. IEEE Guide for the Application and Interpretation of Frequency Response Analysis for Oil-Immersed Transformers; IEEE C57.149-2012; Institute of Electrical and Electronics Engineers (IEEE): Piscataway, NJ, USA, 2013. [Google Scholar]
- CIGRE. Mechanical-Condition Assessment of Transformer Windings Using Frequency Response Analysis (FRA); CIGRE Technical Brochure No. 342; CIGRE: Paris, France, 2008. [Google Scholar]
- Kumar, A.; Singh, S.K.; Negi, J.; Husain, Z.; Jarial, R. Core Magnetization Effect in Sweep Frequency Response Analysis for Transformer Diagnosis. In Proceedings of the 2015 Second International Conference on Advances in Computing and Communication Engineering, Dehradun, India, 1–2 May 2015; pp. 112–117. [Google Scholar]
- Zhang, Z.; Gao, W.; Kari, T.; Lin, H. Identification of Power Transformer Winding Fault Types by a Hierarchical Dimension Reduction Classifier. Energies 2018, 11, 2434. [Google Scholar] [CrossRef]
- Samimi, M.H.; Tenbohlen, S. FRA interpretation using numerical indices: State-of-the-art. Int. J. Electr. Power Energy Syst. 2017, 89, 115–125. [Google Scholar] [CrossRef]
- Bagheri, M.; Phung, B.; Blackburn, T. Transformer frequency response analysis: Mathematical and practical approach to interpret mid-frequency oscillations. IEEE Trans. Dielectr. Electr. Insul. 2013, 20, 1962–1970. [Google Scholar] [CrossRef]
- Banaszak, S.; Szoka, W. Cross Test Comparison in Transformer Windings Frequency Response Analysis. Energies 2018, 11, 1349. [Google Scholar] [CrossRef]
- Bagheri, M.; Lu, M.; Hashemi, M.; Phung, B.T. Transformer frequency response: A new technique to analyze and distinguish the low-frequency band in the frequency response analysis spectrum. IEEE Electr. Insul. Mag. 2018, 34, 39–49. [Google Scholar] [CrossRef]
- Gutten, M.; Korenčiak, D.; Kučera, M.; Janura, R.; Glowacz, A.; Kantoch, E. Frequency and time fault diagnosis methods of power transformers. Meas. Sci. Rev. 2018, 18, 162–167. [Google Scholar] [CrossRef]
- Smugala, D.; Bonk, M.; Ziemski, R. Single-phase magnetic cores’ faults diagnosis using FRA approach. Measurement 2018, 114, 428–435. [Google Scholar] [CrossRef]
- Gawrylczyk, K.M.; Trela, K. Frequency Response Modeling of Transformer Windings Utilizing the Equivalent Parameters of a Laminated Core. Energies 2019, 12, 2371. [Google Scholar] [CrossRef]
- Cheng, B.; Crossley, P.; Wang, Z.; Jarman, P.; Fieldsend-Roxborough, A. Interpretation of FRA Results through Low Frequency Transformer Modelling. In Proceedings of the 2019 2nd International Conference on Electrical Materials and Power Equipment (ICEMPE), Guangzhou, China, 7–10 April 2019; pp. 592–595. [Google Scholar]
- Hilzinger, R.; Rodewald, W. Magnetic Materials, Fundamentals, Products, Properties, Applications; Publics; Publics Publishing: Erlangen, Germany, 2012; ISBN 978-3-895-78352-4. [Google Scholar]
- Abeywickrama, K.G.N.B.; Podoltsev, A.; Serdyuk, Y.V.; Gubanski, S.M. Computation of Parameters of Power Transformer Windings for Use in Frequency Response Analysis. IEEE Trans. Magn. 2007, 43, 1983–1990. [Google Scholar] [CrossRef]
- Abeywickrama, N.; Serdyuk, Y.; Gubanski, S. Effect of Core Magnetization on Frequency Response Analysis (FRA) of Power Transformers. IEEE Trans. Power Deliv. 2008, 23, 1432–1438. [Google Scholar] [CrossRef]
- Samimi, M.H.; Tenbohlen, S.; Akmal, A.A.S.; Mohseni, H.; Mohsseni, H. Effect of Different Connection Schemes, Terminating Resistors and Measurement Impedances on the Sensitivity of the FRA Method. IEEE Trans. Power Deliv. 2016, 32, 1713–1720. [Google Scholar] [CrossRef]
- Wang, Z.; Li, J.; Sofian, D. Interpretation of Transformer FRA Responses—Part I: Influence of Winding Structure. IEEE Trans. Power Deliv. 2009, 24, 703–710. [Google Scholar] [CrossRef]
- Sofian, D.M.; Wang, Z.; Li, J. Interpretation of Transformer FRA Responses—Part II: Influence of Transformer Structure. IEEE Trans. Power Deliv. 2010, 25, 2582–2589. [Google Scholar] [CrossRef]
- Li, C.X.; Zhu, T.Y.; Xia, Q.; Yao, C.G.; Zhao, Z.Y.; Li, C.; Zhu, T.; Zhao, Z.; Yao, C. Influence of untested winding in FRA test for winding diagnosis. IET Gener. Transm. Distrib. 2018, 12, 1704–1711. [Google Scholar] [CrossRef]
- Richardson, B. Amorphous metal cored transformers Justifying Their Use. In Proceedings of the IEE Colloquium on Magnetic Ribbons and Wires in Power, Electronic and Automotive Applications, London, UK, 23 November 1990; pp. 1–4. [Google Scholar]
- Almessiere, M.A.; Slimani, Y.; Güngüneş, H.; Kostishyn, V.G.; Trukhanov, S.V.; Trukhanov, A.V.; Baykal, A. Impact of Eu3+ ion substitution on structural, magnetic and microwave traits of Ni–Cu–Zn spinel ferrites. Ceram. Int. 2020, 46, 11124–11131. [Google Scholar] [CrossRef]
- Hasegawa, R. Impact of amorphous metal based transformers on efficiency and quality of electric power distribution. In Proceedings of the 2001 Power Engineering Society Summer Meeting (Cat. No.01CH37262), Vancouver, BC, Canada, 15–19 July 2001; Volume 3, pp. 1820–1823. [Google Scholar]
- Sarker, P.C.; Islam, R.; Guo, Y.; Zhu, J.; Lu, H.-Y. State-of-the-Art Technologies for Development of High Frequency Transformers with Advanced Magnetic Materials. IEEE Trans. Appl. Supercond. 2018, 29, 1–11. [Google Scholar] [CrossRef]
- Grybos, D.; Leszczynski, J.; Swieboda, C.; Kwiecień, M.; Rygal, R.; Soiński, M.; Pluta, W.A. Magnetic properties of composite cores made of nanocrystalline material for high frequency inductors and transformers. In Proceedings of the 2018 Innovative Materials and Technologies in Electrical Engineering (i-MITEL), Sulecin, Poland, 18–20 April 2018; pp. 1–6. [Google Scholar] [CrossRef]
- Kimura, N.; Morizane, T.; Iyoda, I.; Nakao, K.; Yokoyama, T. Middle Frequency Solid State Transformer for HVDC Transmission from Offshore Windfarm. In Proceedings of the 2018 International Power Electronics Conference (IPEC-Niigata 2018-ECCE Asia), Niigata, Japan, 20–24 May 2018; pp. 2914–2920. [Google Scholar]
- Kurita, N.; Nishimizu, A.; Kobayashi, C.; Tanaka, Y.; Yamagishi, A.; Ogi, M.; Takahashi, K.; Kuwabara, M. Magnetic Properties of Simultaneously Excited Amorphous and Silicon Steel Hybrid Cores for Higher Efficiency Distribution Transformers. IEEE Trans. Magn. 2018, 54, 1–4. [Google Scholar] [CrossRef]
- Ismagilov, F.R.; Kiselev, M.A.; Vavilov, V.E.; Gusakov, D.V. Design Algorithm of an Aircraft Power Generation System. IEEE Trans. Aerosp. Electron. Syst. 2019, 55, 2899–2910. [Google Scholar] [CrossRef]
- Volokhin, V.V.; Diahovchenko, I. The use of nanocrystalline and amorphous materials for electric energy metering improvement and reducing the effects of external magnetic fields. In Proceedings of the 2016 International Conference on Nanomaterials: Application & Properties (NAP), Lviv, Ukraine, 14–19 September 2016; pp. 02NEA03-1–02NEA03-3. [Google Scholar]
- Rahaman, M.; Sandhu, K.S. Energy Efficient magnetic materials for Electrical Machines. In Proceedings of the 2019 5th International Conference on Advanced Computing & Communication Systems (ICACCS), Coimbatore, India, 15–16 March 2019; pp. 642–646. [Google Scholar]
- Szewczyk, M.; Piasecki, W.; Stosur, M.; Florkowski, M.; Riechert, U. Damping of VFTO in Gas-Insulated Switchgear by a New Coating Material. IEEE Trans. Power Deliv. 2016, 31, 2553–2558. [Google Scholar] [CrossRef]
























| Parameter | Amorphous Core | Nanocrystalline Core | Silicon Steel Core |
|---|---|---|---|
| mean magnetic length, m | 0.3295 | 0.3295 | 0.33 |
| Cross-section area of material, mm2 | 241.4 | 241.4 | 241 |
| Thickness of ribbon or sheet, mm | 0.04 | 0.04 | 0.38 |
| Resistivity Ωm | 130 × 10−8 | 118 × 10−8 | 49 × 10−8 |
| Wolman frequency fw, Hz | 4578 | 1600 | 91 |
| Frequency Band | Silicon Steel Core | Amorphous Core | Nanocrystalline Core | |||
|---|---|---|---|---|---|---|
| Winding Placement | ||||||
| The Same Column | Opposite Column | The Same Column | Opposite Column | The Same Column | Opposite Column | |
| up to 2 kHz | No | No | No | No | No | No |
| 2–20 kHz | No | No | No | No | Yes | Yes |
| 20 kHz–1 MHz | Yes | No | Yes | Yes | Yes | Yes |
| above 1 MHz | Only in Coupled coil | No | Yes | No | Yes | No |
| Core/Winding | N1 | N2 | N3 |
|---|---|---|---|
| Silicon steel | >192 kHz above main resonance | None | 2–300 kHz Up to main resonance |
| Amorphous core | >80 kHz above main resonance | 80–450 kHz between two resonances | >65 kHz above main resonance |
| Nanocrystalline core | >9 kHz above main resonance | 7–500 kHz between two resonances | >6 kHz above main resonance |
© 2020 by the author. Licensee MDPI, Basel, Switzerland. This article is an open access article distributed under the terms and conditions of the Creative Commons Attribution (CC BY) license (http://creativecommons.org/licenses/by/4.0/).
Share and Cite
Kuniewski, M. FRA Diagnostics Measurement of Winding Deformation in Model Single-Phase Transformers Made with Silicon-Steel, Amorphous and Nanocrystalline Magnetic Cores. Energies 2020, 13, 2424. https://doi.org/10.3390/en13102424
Kuniewski M. FRA Diagnostics Measurement of Winding Deformation in Model Single-Phase Transformers Made with Silicon-Steel, Amorphous and Nanocrystalline Magnetic Cores. Energies. 2020; 13(10):2424. https://doi.org/10.3390/en13102424
Chicago/Turabian StyleKuniewski, Maciej. 2020. "FRA Diagnostics Measurement of Winding Deformation in Model Single-Phase Transformers Made with Silicon-Steel, Amorphous and Nanocrystalline Magnetic Cores" Energies 13, no. 10: 2424. https://doi.org/10.3390/en13102424
APA StyleKuniewski, M. (2020). FRA Diagnostics Measurement of Winding Deformation in Model Single-Phase Transformers Made with Silicon-Steel, Amorphous and Nanocrystalline Magnetic Cores. Energies, 13(10), 2424. https://doi.org/10.3390/en13102424
