Influence of Initial and Boundary Conditions on the Accuracy of the QUB Method to Determine the Overall Heat Loss Coefficient of a Building
Abstract
1. Introduction
- -
- steady state conditions;
- -
- constant thermal properties and heat transfer coefficient during the measurement;
- -
- negligible variation in heat storage in building structure during the measurements.
- -
- taking the mean values of -value estimated over a period longer than three days and multiple of 24 h;
- -
- using corrections to compensate for storage effects [5].
- —temperature slope during heating phase;
- —temperature slope during cooling phase;
- —measured power during heating phase;
- —measured power during cooling phase;
- —temperature difference between outside and inside of the building during heating phase;
- —temperature difference between outside and inside of the building during the cooling phase.
- —measured power before the start of the QUB experiment used to achieve the steady state conditions;
- —measured power during the heating phase of the QUB experiment.
- —internal thermal capacity of the building;
- —power injected;
- —indoor temperature;
- —outdoor temperature.
- —power input;
- —overall heat loss coefficient;
- —time constants in increasing order such that presents the longest time constant;
- —constants that depend on the model resistance, capacitance and initial conditions.
2. Modeling
2.1. Calculation of Reference -Value from the Model
- —overall heat loss coefficient;
- —steady state power supplied;
- —indoor air temperature;
- —outdoor air temperature.
- —steady state gain for boundary temperature ,
- —steady state gain for power,
- —boundary temperature.
- —sum of products of floor area and temperature of all zones in the building,
- —sum of all floor areas of the zones.
- —power supplied to each zone,
- —area of each zone,
- —temperature of each zone in the steady state vector,
- —outdoor temperature.
- —vector of system states;
- —vector of inputs.
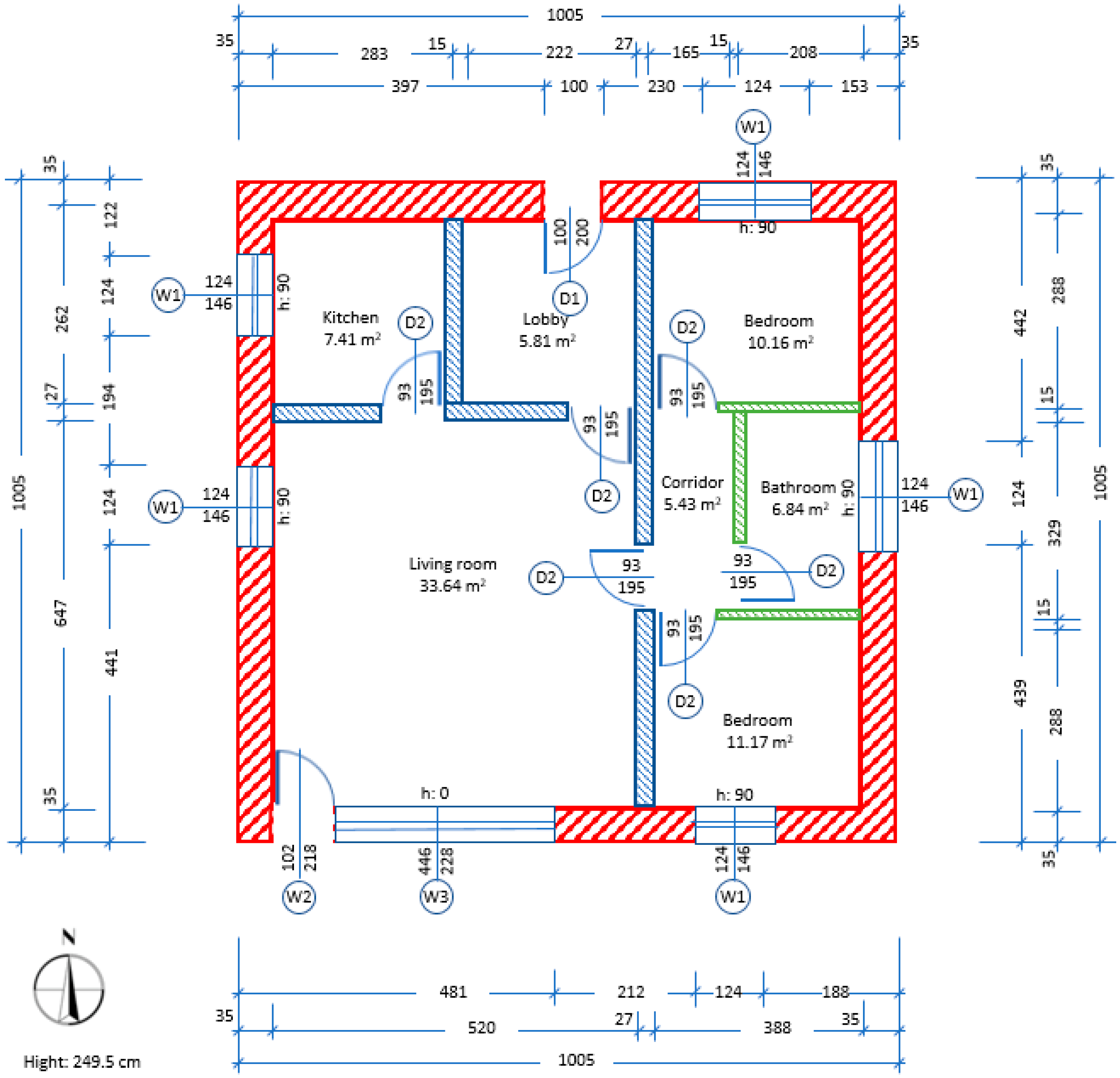
2.2. Data Used for QUB Numerical Experiments
- —the reference overall heat loss coefficient supposed for the building before the QUB experiment is performed;
- —indoor temperature;
- —outdoor temperature.
3. Influence of the Boundary and the Initial Conditions on the Results of QUB Measurement
3.1. Influence of the Starting Time of the Experiment: Before or After the Sunset
3.1.1. Influence of the Day Type: Sunny, Cloudy or Partly Cloudy
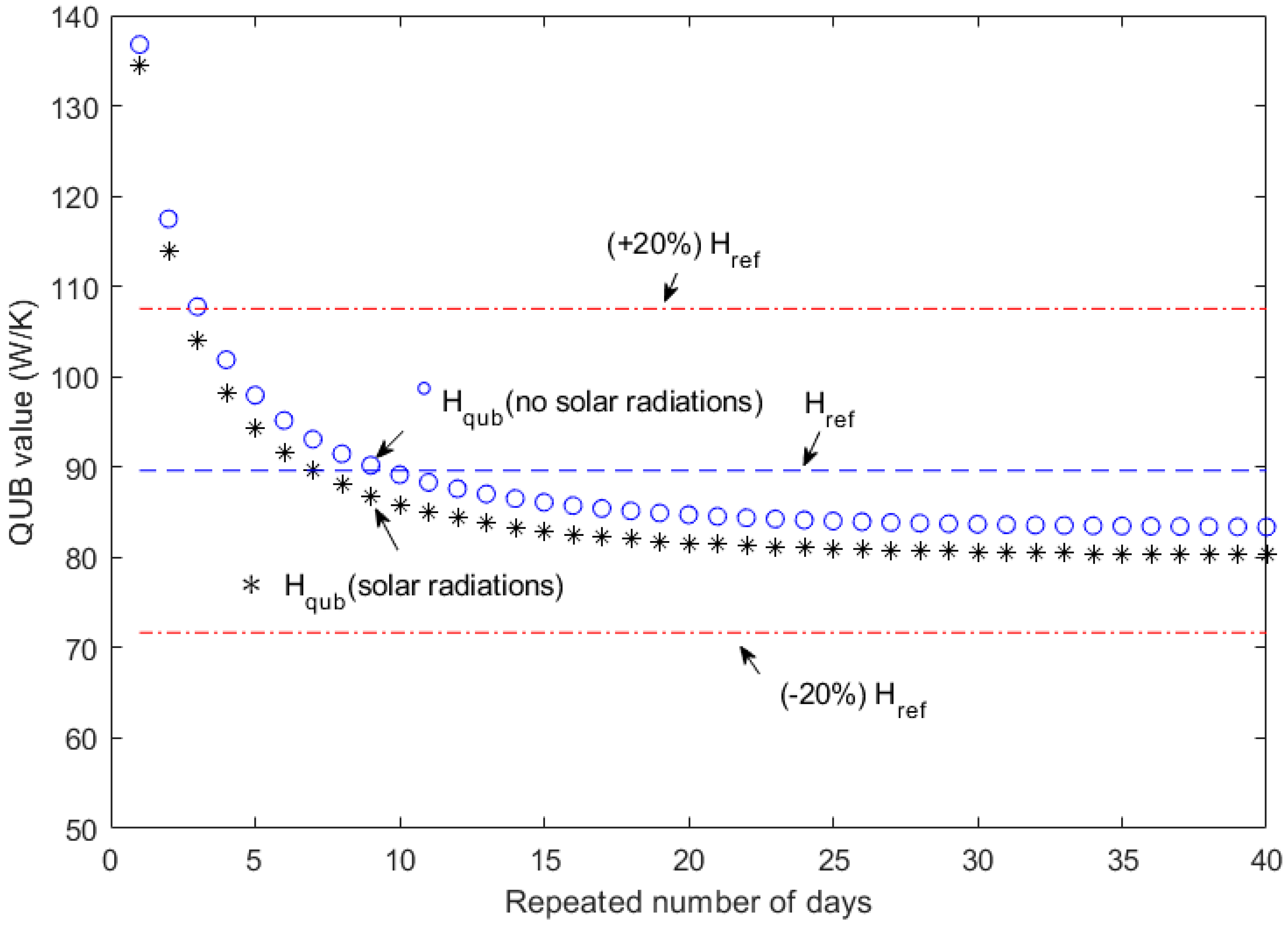
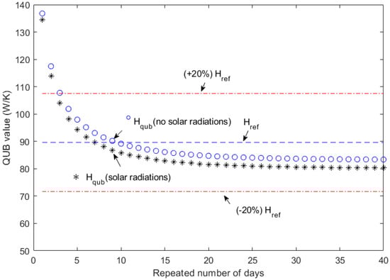
3.1.2. Correction for Solar Radiation
- (1)
- The heat flow from the building envelope to the room air, considering both outdoor temperature and solar radiation as inputs, was calculated in order to obtain the temperature of the walls and the temperature of the air. The heat flow from the envelope to the room air was calculated as convective heat transfer due to temperature difference between room air and walls (Figure 10a).
- (2)
- In the second case, the heat flow from the building envelope to the room air was calculated by considering only the outdoor temperature (no solar radiation) as input from the boundary conditions (Figure 10b). A controller was added to introduce the additional heat flow necessary to obtain the indoor temperature, (Figure 10b), the same as indoor temperature, , obtained in the first step (i.e., with solar radiation, Figure 10a). The heat flow rate introduced by the controller represents the contribution of the solar radiation (Figure 10b).
3.2. Influence of Initial Conditions
3.2.1. Value of Power before the Experiment
3.2.2. Time Duration
3.2.3. Value of Power during the Experiment
4. Influence of the Initially Assumed Value of the Overall Heat Loss Coefficient
- (1)
- The outer wall insulation for design of QUB experiment was two times higher than of the real wall ( error in assumed compared to the real envelope).
- (2)
- The real wall insulation is completely missing whereas in the design of QUB experiment the outer wall has insulation ( error in assumed compared to the real envelope).
- (3)
- The real wall had no insulation and the roof insulation was smaller as compared to the wall and roof insulation used in the design of QUB experiment ( error in assumed compared to the real envelope).
5. Conclusions
- Heating building with steady state power before the experiment improved QUB results. The error curves show a large error when there was no initial power before the QUB experiment. The error curves converged to smaller error when the building was supplied with power before the experiment.
- values within of the steady state value could be obtained with short durations of the QUB experiment (0.2–1 h). However, the measured overall heat loss coefficient, , was sensitive to power variation during the first hour. The error curves were less sensitive to variation in heating power if the QUB experiment was longer than h.
- The starting time of the QUB experiment before or after the sunset affected the results. A QUB experiment half an hour before the sunset gave an error of 14% that was reduced to 11% when the experiment was conducted one hour after the sunset.
- Comparison of QUB results for sunny and cloudy days revealed that at a given power and time duration of the QUB experiment the results on cloudy days showed less variation as compared to sunny days.
- QUB errors on sunny days were due to solar radiation absorbed by the walls of the building. The absorbed solar radiation contributes as a delayed heat input to the evolution of air temperature during heating phase. This paper proposed a method to estimate the delayed solar radiation and to correct the input power during the heating phase. The solar correction factor, when added to the heating power in the QUB expression, reduced the error by 2%.
- A variation in power used for QUB experiment as per recommend power level could change the error by 3%–4%.
- It is possible that the overall heat loss coefficient value used for calculation of optimum power for QUB experiment is not known with accuracy, e.g., there may be a missing insulation layer inside the wall or the thickness of the real wall insulation may be higher than the stated value. To check the robustness of QUB method, three scenarios were replicated to perform a posteriori error analysis:
- -
- The real outer wall insulation was twice the assumed value: the real value of the house was less than the value used for QUB experiment design. QUB method (without knowing the real situation) responded well to the changed -value. The error remained well within 15% for most of the days of QUB experiment.
- -
- The real outer wall insulation was missing (50% change in value as compared to the assumed -value for QUB method): QUB method, without knowing the real condition of outer wall, responded with 4% increase in error compared to the situation when the real condition of the outer wall was known. The error remained within for most of the days of QUB experiment.
- -
- The real outer wall insulation was missing and the roof insulation was reduced (100% changed value as compared to the assumed -value for the QUB method). Though the QUB method responded to the changed situation, the error increased significantly (). Still, even in this extreme case, we noted that the error made with the QUB method was significantly smaller than that error made originally. In this situation, although the accuracy of the method was deteriorated, the method still clearly showed the important fact that the assumed value of heat loss coefficient was far smaller than the true one.
Author Contributions
Funding
Acknowledgments
Conflicts of Interest
Abbreviations
| Nomenclature | |
| surface area, m2 | |
| internal thermal capacity, J/K | |
| solar radiation received by the building (absorbed and transmitted), W/m2 | |
| overall heat loss coefficient (HLC), W/K | |
| reference overall heat loss coefficient, W/K | |
| overall heat loss coefficient measured using QUB method, W/K | |
| power measured before the beginning of QUB experiment, W | |
| power measured during the heating phase of QUB experiment, W | |
| power measured during the cooling phase of QUB experiment, W | |
| power corrected for solar radiation added to , W | |
| temperature, K or °C | |
| outdoor temperature, K or °C | |
| indoor temperature, K or °C | |
| temperature difference between outside and inside air during the heating phase, K or Co | |
| temperature difference between outside and inside air during the cooling phase, K or Co | |
| time duration of the heating or the cooling, s | |
| steady state gain for power | |
| steady state gain for boundary temperature | |
| heat transfer coefficient, W/(m2 K) | |
| Greek letters | |
| mean (or equivalent) temperature, K or °C | |
| indoor temperature, K or °C | |
| time constant, hour or seconds | |
| heat input, W | |
| temperature slope during heating phase of QUB experiment | |
| temperature slope during cooling phase of QUB experiment | |
| Vectors and matrices | |
| state matrix in state space model | |
| input matrix in state space model | |
| output matrix in state space model | |
| feed through matrix in state space model | |
| input vector | |
| input vector in steady state | |
| state vector | |
| output vector | |
| output vector in steady state | |
References
- Coakley, D.; Raftery, P.; Keane, M. A review of methods to match building energy simulation models to measured data. Renew. Sustain. Energy Rev. 2014, 37, 123–141. [Google Scholar] [CrossRef]
- Deconinck, A.H.; Roels, S. Comparison of characterisation methods determining the thermal resistance of building components from onsite measurements. Energy Build. 2016, 130, 309–320. [Google Scholar] [CrossRef]
- Menezes, A.C.; Cripps, A.; Bouchlaghem, D.; Buswell, R. Predicted vs. actual energy performance of non-domestic buildings: Using post-occupancy evaluation data to reduce the performance gap. Appl. Energy 2012, 97, 355–364. [Google Scholar] [CrossRef]
- Kosmina, L. Guide to In-Situ U-Value Measurement of Walls in Existing Dwellings In-Situ Measurement of U-Value. BRE. 2016. Available online: https://www.bre.co.uk/filelibrary/In-situ-measurement-of-thermal-resistance-and-thermal-transmittance-FINAL.pdf (accessed on 19 November 2019).
- Ghiaus, C.; Alzetto, F. Design of experiments for Quick U-building method for building energy performance measurement. J. Build. Perform. Simul. 2019, 12, 465–479. [Google Scholar] [CrossRef]
- Fabrizio, E.; Monetti, V. Methodologies and advancements in the calibration of building energy models. Energies 2015, 8, 2548–2574. [Google Scholar] [CrossRef]
- Stamp, S.; Altamirano-Medina, H.; Lowe, R. Assessing the Relationship between Measurement Length and Accuracy within Steady State Co-Heating Tests. Buildings 2017, 7, 98. [Google Scholar] [CrossRef]
- Strachan, P.; Heusler, I.; Kersken, M.; Jiménez, M.J. Empirical Whole Model Validation Modelling Specification Validation of Building Energy Simulation Tools. IEA EBC Annex 2016, 58. [Google Scholar]
- Bouchié, R.; Alzetto, F.; Brun, A.; Boisson, P.; Thébault, S. Short methodologies for in-situ assessment of the intrisinc thermal performance of the building envelope. In Proceedings of the Sustainable Places, Nice, France, 1–3 October 2014. [Google Scholar]
- Subbarao, K. PSTAR: Primary and Secondary Terms Analysis and Renormalization: A Unified Approach to Building Energy Simulations and Short-Term Monitoring; Report SERI/TR-254-3347; Solar Energy Research Institute: Golden, CO, USA, 1988. [Google Scholar]
- Thébault, S.; Bouchié, R. Refinement of the ISABELE method regarding uncertainty quantification and thermal dynamics modelling. Energy Build. 2018, 178, 182–205. [Google Scholar] [CrossRef]
- Alzetto, F.; Gossard, D.; Pandraud, G. Mesure rapide du coefficient de perte thermique des bâtiments. In Proceedings of the Congrès Sciences et Technique Ecobat, Paris, France, 19–20 March 2014; pp. 19–20. [Google Scholar]
- Pandraud, G.; Didier, G.; Alzetto, F. Experimental optimization of the QUB method. In Proceedings of the IEA–EBC Annex 58, 6th Expert Meeting, Ghent, Belgium, 14–16 April 2014. [Google Scholar]
- Meulemans, J.; Alzetto, F.; Farmer, D.; Gorse, C. QUB/e: A novel transient experimental method for in situ measurements of the thermal performance of building fabrics. In Proceedings of the International Sustainable Ecological Engineering Design for Society (SEEDS) Conference, Leeds, UK, 14–15 September 2016; pp. 14–15. [Google Scholar]
- Alzetto, F.; Didier, G.; Pandraud, G. Mesure rapide du coefficient de perte thermique des bâtiment. In Proceedings of the Congrès écobat Sciences et Techniques, Porte de Versailles, Pavilion 7, France, 19–20 March 2014; pp. 1–10. [Google Scholar]
- Alzetto, F.; Pandraud, G.; Fitton, R. QUB: A fast dynamic method for in-situ measurement of the whole building heat loss. Energy Build. 2018, 174, 124–133. [Google Scholar] [CrossRef]
- Pandraud, G.; Fitton, R. QUB: Validation of a Rapid Energy Diagnosis Method for Buildings. In Interanational Energy Agency Annex 58; University of Salford: Manchester, UK, 2014; pp. 1–6. [Google Scholar]
- Strachan, P.; Svehla, K.; Heusler, I.; Kersken, M. Whole model empirical validation on full-scale building. J. Build. Perform. Simul. 2015, 9, 331–350. [Google Scholar] [CrossRef]
- Balakrishnan, V. System identification: Theory for the user (second edition). Automatica 2002, 38, 375–378. [Google Scholar] [CrossRef]



















© 2020 by the authors. Licensee MDPI, Basel, Switzerland. This article is an open access article distributed under the terms and conditions of the Creative Commons Attribution (CC BY) license (http://creativecommons.org/licenses/by/4.0/).
Share and Cite
Ahmad, N.; Ghiaus, C.; Thiery, T. Influence of Initial and Boundary Conditions on the Accuracy of the QUB Method to Determine the Overall Heat Loss Coefficient of a Building. Energies 2020, 13, 284. https://doi.org/10.3390/en13010284
Ahmad N, Ghiaus C, Thiery T. Influence of Initial and Boundary Conditions on the Accuracy of the QUB Method to Determine the Overall Heat Loss Coefficient of a Building. Energies. 2020; 13(1):284. https://doi.org/10.3390/en13010284
Chicago/Turabian StyleAhmad, Naveed, Christian Ghiaus, and Thimothée Thiery. 2020. "Influence of Initial and Boundary Conditions on the Accuracy of the QUB Method to Determine the Overall Heat Loss Coefficient of a Building" Energies 13, no. 1: 284. https://doi.org/10.3390/en13010284
APA StyleAhmad, N., Ghiaus, C., & Thiery, T. (2020). Influence of Initial and Boundary Conditions on the Accuracy of the QUB Method to Determine the Overall Heat Loss Coefficient of a Building. Energies, 13(1), 284. https://doi.org/10.3390/en13010284

