A Method to Monitor IGBT Module Bond Wire Failure Using On-State Voltage Separation Strategy
Abstract
1. Introduction
2. The On-State Voltage Separation Strategy
2.1. On-State Voltage Model for IGBT Module
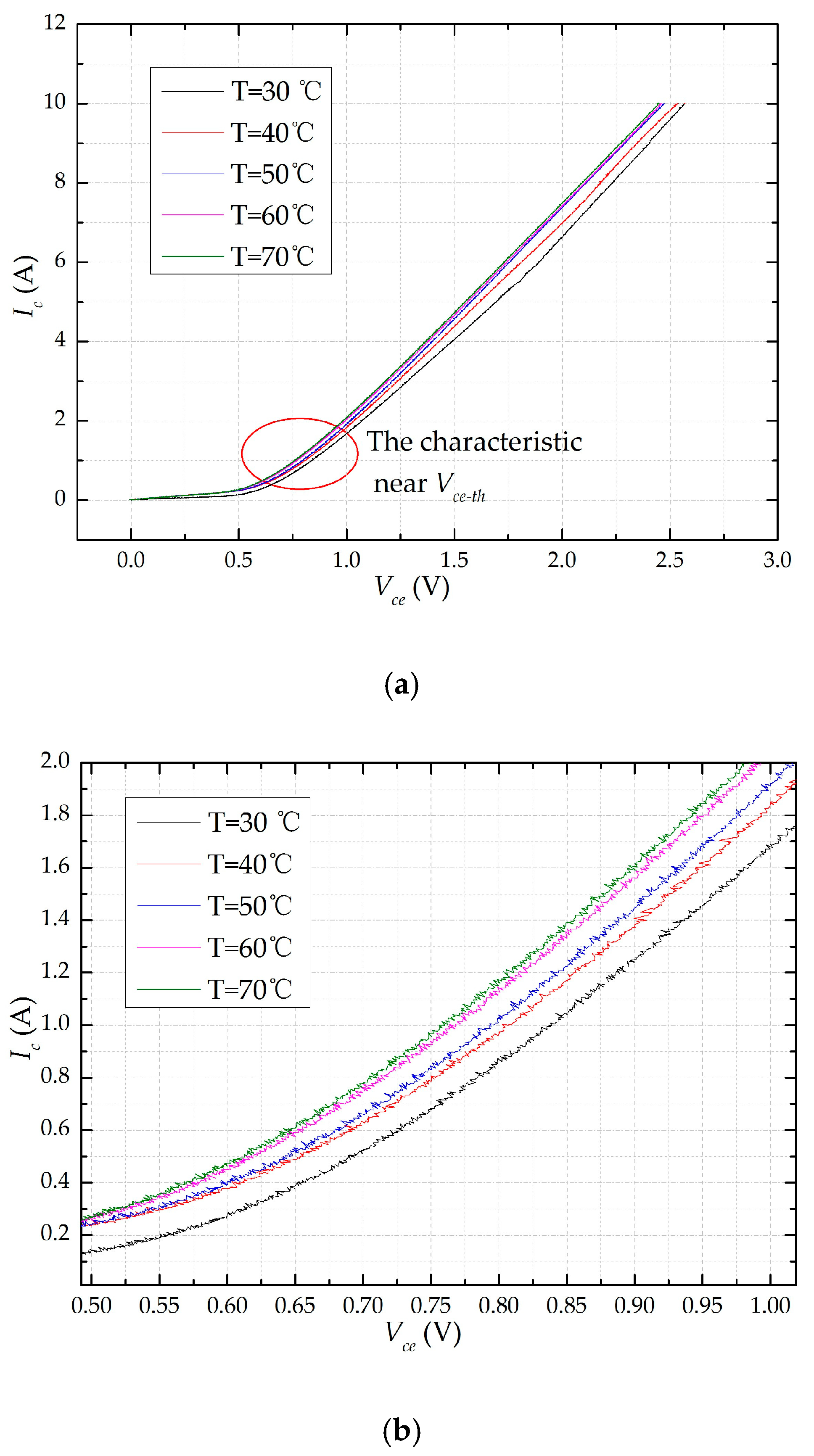
2.2. Influence of Temperature on On-State Voltage
3. Measurements of On-State Voltage
3.1. Experimental Setup
3.2. Acquisition of the Collector-Emitter Threshold Voltage
3.3. Acquisition of Package Voltage and On-State Chip Voltage
4. Prediction Result for Bond Wire Failure
4.1. Method of Applying On-State Voltage Separation Strategy to Predict Bond Wire Failure
4.2. Accuracy of the Diagnosis Strategy in Predicting Bond Wire Failure
4.2.1. Case 1: One Bond Wire Cut Off, Ic = 75A, Tj = 50 °C
4.2.2. Case 2: Three Bond Wires Cut Off, Ic = 75A, Tj = 60 °C
4.2.3. Case 3: Three Bond Wires Cut Off, Ic = 20 A, Tj = 60 °C
4.2.4. Case 4: Five Bond Wires Cut Off, Ic = 75 A, Tj = 70 °C
5. Conclusions
Author Contributions
Funding
Conflicts of Interest
References
- Li, H.; Hu, Y.; Liu, S.; Li, Y.; Liao, X.; Liu, Z. An Improved Thermal Network Model of the IGBT Module for Wind Power Converters Considering the Effects of Base Plate Solder Fatigue. IEEE Trans. Device Mater. Reliab. 2016, 16, 570–575. [Google Scholar] [CrossRef]
- Alhmoud, L. Reliability Improvement for a High-Power IGBT in Wind Energy Applications. IEEE Trans. Ind. Electron. Control Instrum. 2018, 65, 7129–7137. [Google Scholar] [CrossRef]
- Ji, B.; Pickert, V.; Cao, W.; Zahawi, B. In Situ Diagnostics and Prognostics of Wire Bonding Faults in IGBT Modules for Electric Vehicle Drives. IEEE Trans. Power Electron. 2013, 28, 5568–5577. [Google Scholar] [CrossRef]
- Song, Y.; Wang, B. Evaluation Methodology and Control Strategies for Improving Reliability of HEV Power Electronic System. IEEE Trans. Veh. Technol. 2014, 63, 3661–3676. [Google Scholar] [CrossRef]
- Zahedi, B.; Norum, L.E. Modeling and Simulation of All-Electric Ships With Low-Voltage DC Hybrid Power Systems. IEEE Trans. Power Electron. 2013, 28, 4525–4537. [Google Scholar] [CrossRef]
- Cao, W.; Mecrow, B.C.; Atkinson, G.J.; Bennett, J.W.; Atkinson, D.J. Overview of Electric Motor Technologies Used for More Electric Aircraft (MEA). IEEE Trans. Ind. Electrons. 2012, 59, 3523–3531. [Google Scholar]
- Yang, S.; Bryant, A.; Mawby, P.; Xiang, D.; Ran, L.; Tavner, P. An industry-based survey of reliability in power electronic converters. IEEE Trans. Ind. Appl. 2011, 47, 1441–1451. [Google Scholar] [CrossRef]
- Blaabjerg, F.; Ma, K. Future on Power Electronics for Wind Turbine Systems. IEEE J. Emerg. Select. Topic. Power. Elect. 2013, 1, 139–152. [Google Scholar] [CrossRef]
- Bie, X.; Qin, F.; An, T.; Zhao, J.; Fang, C. Numerical simulation of the wire bonding reliability of IGBT module under power cycling. In Proceedings of the International Conference on Electronic Packaging Technology, Harbin, China, 16–19 August 2017; pp. 1396–1401. [Google Scholar]
- Fazeli, S.M.; Jovcic, D.; Hajian, M. Laboratory Demonstration of Closed-Loop 30KW, 200V/90V IGBT-Based LCL DC/DC Converter. IEEE Trans. Power Delivery. 2018, 33, 1247–1256. [Google Scholar] [CrossRef]
- Luo, H.; Wang, X.; Zhu, C.; Li, W.; He, X. Investigation and Emulation of Junction Temperature for High-Power IGBT Modules Considering Grid Codes. IEEE J. Emerg. Select. Topic. Power. Elect. 2018, 6, 930–940. [Google Scholar] [CrossRef]
- Bahman, A.S.; Ma, K.; Ghimire, P.; Iannuzzo, F.; Blaabjerg, F. A 3-D-Lumped Thermal Network Model for Long-Term Load Profiles Analysis in High-Power IGBT Modules. IEEE J. Emerg. Select. Topic. Power. Elect. 2016, 4, 1050–1063. [Google Scholar] [CrossRef]
- Niu, H. The Effect of Load Properties on the Reliability of Machine Drives—The Temperature and Stress Analysis of Power Module Bond Wires. In Proceedings of the IEEE Energy Conversion Congress and Exposition, Cincinnati, OH, USA, 1–5 October 2017; pp. 2533–2539. [Google Scholar]
- Choi, U.; Blaabjerg, F.; Jørgensen, S. Study on Effect of Junction Temperature Swing Duration on Lifetime of Transfer Molded Power IGBT Modules. IEEE Trans. Power Electron. 2017, 32, 6434–6443. [Google Scholar] [CrossRef]
- Bahman, A.S.; Iannuzzo, F.; Uhrenfeldt, C.; Blaabjerg, F.; Stig, M. Modeling of Short-Circuit-Related Thermal Stress in Aged IGBT Modules. IEEE Trans. Ind. Appl. 2017, 53, 4788–4795. [Google Scholar] [CrossRef]
- Smet, V.; Forest, F.; Huselstein, J.-J.; Rashed, A.; Richardeau, F. Evaluation of Vce Monitoring as a Real-Time Method to Estimate Aging of Bond Wire-IGBT Modules Stressed by Power Cycling. IEEE Trans. Ind. Electron. 2013, 60, 2760–2770. [Google Scholar] [CrossRef]
- Haque, M.S.; Choi, S.; Baek, J. Auxiliary Particle Filtering-Based Estimation of Remaining Useful Life of IGBT. IEEE Trans. Ind. Electron. 2018, 65, 2693–2703. [Google Scholar] [CrossRef]
- Peng, Y.; Zhou, L.; Du, X.; Sun, P.; Wang, K.; Cai, J. Junction temperature estimation of IGBT module via a bond wires lift-off independent parameter VgE-np. IET Power Electron. 2018, 11, 320–328. [Google Scholar] [CrossRef]
- Wang, Z.; Tian, B.; Qiao, W.; Qu, L. Real-Time Aging Monitoring for IGBT Modules Using Case Temperature. IEEE Trans. Ind. Electron. 2016, 63, 1168–1178. [Google Scholar] [CrossRef]
- Sun, P.; Gong, C.; Du, X.; Peng, Y.; Wang, B.; Zhou, L. Condition Monitoring IGBT Module Bond Wires Fatigue Using Short-Circuit Current Identification. IEEE Trans. Power Electron. 2017, 32, 3777–3786. [Google Scholar] [CrossRef]
- Haque, M.S.; Baek, J.; Herbert, J.; Choi, S. Prognosis of Wire Bond Lift-Off Fault of an IGBT Based on Multisensory Approach. In Proceedings of the IEEE Applied Power Electronics Conference and Exposition, Long Beach, CA, USA, 20–24 March 2016; pp. 3004–3011. [Google Scholar]
- Han, J.; Ma, M.; Chu, K.; Zhang, X.; Lin, Z. In-Situ Diagnostics and Prognostics of Wire Bonding Faults in IGBT Modules of Three-Level Neutral-Point-Clamped Inverters. In Proceedings of the IEEE 8th International Power Electronics and Motion Control Conference, Hefei, China, 22–26 May 2016; pp. 3262–3267. [Google Scholar]
- Pedersen, K.B.; Kristensen, P.K.; Pedersen, K.; Uhrenfeldt, C.; Munk-Nielsen, S. Vce as Early Indicator of IGBT Module Failure Mode. In Proceedings of the IEEE International Reliability Physics Symposium, Monterey, CA, USA, 2–6 April 2017; pp. FA-1.1–FA-1.6. [Google Scholar]
- Ghimire, P.; Bęczkowski, S.; Munk-Nielsen, S.; Rannestad, B.; Thøgersen, P.B. A Review on Real Time Physical Measurement Techniques and Their Attempt to Predict Wear-Out Status of IGBT. In Proceedings of the European Conference on Power Electronics and Applications, Lille, France, 2–6 September 2013; pp. 1–10. [Google Scholar]
- Hoeer, M.; Weiss, F.; Bernet, S. Online Collector-Emitter Saturation Voltage Measurement for the In-Situ Temperature Estimation of a High-Power 4.5 kV IGBT Module. In Proceedings of the European Conference on Power Electronics and Applicationsin, Warsaw, Poland, 11–14 September 2017; pp. 1–9. [Google Scholar]
- Degrenne, N.; Mollov, S. On-line Health Monitoring of Wire-Bonded IGBT Power Modules Using On-State Voltage at Zero-Temperature-Coefficient. In Proceedings of the International Exhibition and Conference for Power Electronics, Intelligent Motion, Renewable Energy and Energy Management, Nuremberg, Germany, 5–7 June 2018; pp. 1–7. [Google Scholar]
- Choi, U.; Blaabjerg, F. Separation of Wear-Out Failure Modes of IGBT Modules in Grid-Connected Inverter Systems. IEEE Trans. Power Electron. 2018, 33, 6217–6223. [Google Scholar] [CrossRef]
- Halick, M.S.M.; Kandasamy, K.; Jet, T.K.; Sundarajan, P. Online Computation of IGBT On-State Resistance for Off-Shelf Three-Phase Two-Level Power Converter Systems. Microelectron. Reliab. 2016, 64, 379–386. [Google Scholar] [CrossRef]
- Kong, Q.; Du, M.; Ouyang, Z.; Wei, K.; Hurley, W.G. A Model of the On-State Voltage across IGBT Modules Based on Physical Structure and Conduction Mechanisms. Energies 2019, 12, 851. [Google Scholar] [CrossRef]
- Smet, V.; Forest, F.; Huselstein, J.J.; Richardeau, F.; Khatir, Z.; Lefebvre, S.; Berkani, M. Ageing and Failure Modes of IGBT Modules in High-Temperature Power Cycling. IEEE Trans. Ind. Electron. 2011, 58, 4931–4941. [Google Scholar] [CrossRef]
- Tounsi, M.; Oukaour, A.; Tala-Ighil, B.; Gualous, H.; Boudart, B.; Aissani, D. Characterization of high-voltage IGBT module degradations under PWM power cycling test at high ambient temperature. Microelectron. Reliab. 2010, 50, 1810–1814. [Google Scholar] [CrossRef]
- Ji, B.; Song, X.; Sciberras, E.; Cao, W.; Hu, Y.; Pickert, V. Multiobjective Design Optimization of IGBT Power Modules Considering Power Cycling and Thermal Cycling. IEEE Trans. Power Electron. 2015, 30, 2493–2504. [Google Scholar] [CrossRef]
- Wei, K.; Du, M.; Xie, L.; Li, J. Study of Bonding Wire Failure Effects on External Measurable Signals of IGBT Module. IEEE Trans. Device Mater. Reliab. 2014, 14, 83–89. [Google Scholar]













| Junction Temperature (°C) | a | b | R-Square | Vce-th (V) |
|---|---|---|---|---|
| 30 | 5.46076 | −3.48651 | 0.99852 | 0.6384 |
| 40 | 5.15092 | −3.23811 | 0.99792 | 0.6286 |
| 50 | 5.3208 | −3.28535 | 0.9975 | 0.6174 |
| 60 | 5.32871 | −3.24046 | 0.99879 | 0.6081 |
| 70 | 5.34749 | −3.20471 | 0.99878 | 0.5929 |
| Voltage | Ic (Increases) | Tj (Increases) | Bond Wire Failure |
|---|---|---|---|
| Vce-th | ----- | ↓ | ----- |
| Von-chip | ↑ | ↑ | ----- |
| Vpackage | ↑ | ↑ | ↑ |
| Voltage (V) | Vce (V) | Ic (A) | Vce-th (V) | Rpackage (mΩ) |
|---|---|---|---|---|
| 2 bond wires liftoff | 0.6463 | 0.4877 | 0.6448 | 3.0757 |
| 4 bond wires liftoff | 0.6478 | 0.5383 | 0.6448 | 5.5731 |
© 2019 by the authors. Licensee MDPI, Basel, Switzerland. This article is an open access article distributed under the terms and conditions of the Creative Commons Attribution (CC BY) license (http://creativecommons.org/licenses/by/4.0/).
Share and Cite
Kong, Q.; Du, M.; Ouyang, Z.; Wei, K.; Hurley, W.G. A Method to Monitor IGBT Module Bond Wire Failure Using On-State Voltage Separation Strategy. Energies 2019, 12, 1791. https://doi.org/10.3390/en12091791
Kong Q, Du M, Ouyang Z, Wei K, Hurley WG. A Method to Monitor IGBT Module Bond Wire Failure Using On-State Voltage Separation Strategy. Energies. 2019; 12(9):1791. https://doi.org/10.3390/en12091791
Chicago/Turabian StyleKong, Qingyi, Mingxing Du, Ziwei Ouyang, Kexin Wei, and William Gerard Hurley. 2019. "A Method to Monitor IGBT Module Bond Wire Failure Using On-State Voltage Separation Strategy" Energies 12, no. 9: 1791. https://doi.org/10.3390/en12091791
APA StyleKong, Q., Du, M., Ouyang, Z., Wei, K., & Hurley, W. G. (2019). A Method to Monitor IGBT Module Bond Wire Failure Using On-State Voltage Separation Strategy. Energies, 12(9), 1791. https://doi.org/10.3390/en12091791

