A Day-ahead and Day-in Decision Model Considering the Uncertainty of Multiple Kinds of Demand Response
Abstract
:1. Introduction
- According to the different mechanisms of price-based demand response and incentive-based demand response, the fuzzy function and robust interval variable are used to describe the uncertainty of time-of-use model and the IL.
- Considering the response speed of different types of resources, and coordinating with the output resources such as wind turbine and gas turbine, the day-ahead and day-in interactive output decision model is established.
- The fuzzy stochastic optimization method and the multi-stage robust optimization method are used to deal with the uncertainty of different demand responses respectively, and the interactive decision model is transformed into a deterministic model that can be processed by traditional algorithms.
2. Uncertainty Models of Two Types of DR
2.1. Uncertain Model of Price-Based Demand Response
2.2. Uncertain Model of Incentive-Based Demand Response
3. Two-stage Interactive Decision Model Considering Uncertainty of Demand Response
3.1. Day-Ahead Scheduling
3.1.1. Objective Function
Operating Cost in Day-Ahead
User transfer coefficient
3.1.2. Restrictions
3.2. Day-In Scheduling
3.2.1. Objective Function
3.2.2. Restrictions
4. Model Transformation and Solution
4.1. Transformation of the Model of Uncertainty
4.1.1. Transformation of Uncertainty Model of PBDR
4.1.2. Transformation of Uncertainty Model of IBDR
4.2. Model Solving
5. Case Study and Discussion
5.1. Study Data
5.2. Influence of Uncertainty Model on Optimization Results
- (1)
- Uncertainty is not considered in the day-ahead and intraday scheduling
- (2)
- Only consider the uncertainty of intraday scheduling
- (3)
- Only consider the uncertainty of the day-ahead scheduling
- (4)
- Uncertainty is considered in both day-ahead and intraday scheduling
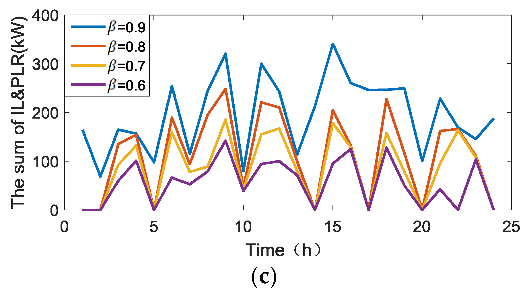
5.3. Influence of Uncertainty Parameters
5.4. Influence of Weight of Objective Functions in Day-Ahead Phase
5.5. Comparison of Algorithms in Day-Ahead Phase
6. Conclusions
- (1)
- Joint scheduling with different DR uncertainties at different time scales can effectively reduce the operating cost. But when the uncertainty of day-ahead stage is considered exclusively, the operating cost increases.
- (2)
- Considering the uncertainty of DR in the day-ahead stage will increase the cost of day-ahead, but reduce the cost of intraday scheduling, and the reduction will increase with the increase of the confidence of the day-ahead.
- (3)
- In the intraday phase, the operating cost increases with the increase of the robustness factor and the day-in reliability level. Among them, the day-in reliability has a greater impact on operating costs.
- (4)
- In the day-ahead stage, the excessive weight coefficient gap will affect the search for the optimal solution of the multi-objective solution. The entropy weight method can provide a more reasonable weight to avoid the deviation of an objective function from the ideal solution.
Author Contributions
Acknowledgments
Conflicts of Interest
Nomenclature
| Indexes | |
| t | The index of time |
| j | The index of IL user |
| k | The index of object |
| x | The index of the period of demand in mxy |
| y | The index of the period of price in mxy |
| X | The index of indicator |
| i | The index of bat |
| Parameters | |
| T | The number of operating cycles |
| mxy | The electricity price elasticity coefficient |
| E0.p, E0.f, E0.g | The initial demand of the peak, flat and valley periods |
| cp, cf, cg | The original electricity price at the peak, flat and valley periods |
| mxy1, mxy2, mxy3, mxy4 | Membership function parameters of elastic coefficient |
| Ex1, Ex2, Ex3, Ex4 | Membership function parameters of baseline load |
| kx,ky | The growth rate of uncertainty |
| M | The number of IL users |
| Pmt.max/Pmt.min | The upper/lower limits of the unit’s output |
| γup/γdown | The upper/lower limit of the unit’s output ramp rate |
| Pmin.j/Pmax.j | The lower and upper limits of the response |
| Dj | The upper limit of the total response time |
| ΔT | The duration of a period |
| fmin/fmax | The upper/lower limits of the pulse frequency |
| m | The number of indicators |
| n | The number of objects |
| Fk.max/Fk.min | Maximum/minimum of the object k in the initial solution |
| Set | |
| ETOU | The electricity consumption column vector after ToU |
| E0 | The column vector of the electricity consumption before PBDR |
| M | The electricity price elasticity matrix |
| W | The entropy weight matrix of the evaluation |
| Variables | |
| Δcp, Δcf, Δcg | Electricity price change at the peak, flat and valley periods |
| ΔEp, ΔEf, ΔEg | Demand change at the peak, flat and valley periods |
| The baseline demand considering uncertainty | |
| The elastic coefficient considering uncertainty | |
| ETOU.p, ETOU.f, ETOU.g | The demand of the peak, flat and valley periods after PBDR |
| μE0.x | Membership function of baseline load |
| μmxy | Membership function of elastic coefficient |
| The actual power of interruption of the j user at time t | |
| The planned interrupted power of the j user at time t | |
| The indeterminate portion of the interrupt capacity of the user at time t | |
| Upper limit of the absolute value of the response uncertainty of the user j at time t | |
| The uncertainty coefficient of the j | |
| The actual interrupted power of the system at time t | |
| The state of user j during t period | |
| Robustness factor | |
| Cday | The cost in day-ahead stage |
| The unit cost of wind turbine generation at t | |
| The output of wind turbine generation at t | |
| The unit cost of photovoltaic units at t | |
| The output of photovoltaic units at t | |
| The unit cost of the gas turbine at t | |
| The output of the gas turbine at t | |
| The unit purchasing price of electricity at t | |
| The purchasing power at t | |
| The unit price of electricity sold to microgrid at t | |
| The power purchased by the microgrid at t | |
| S | The user transfer coefficient |
| Pload0t | The load of the time t before ToU |
| Ploadt | The load of the time t after ToU |
| The fuzzy parameter of the load after ToU | |
| α | The confidence level in day-ahead stage |
| Cday-in | The operating cost during the intraday |
| β | The confidence level in day-in stage |
| The unit price of the IL at t | |
| The unit price of PLR | |
| The unit price of compensation to the main network | |
| The output of PLR at t | |
| The difference from the actual and the planned amount of purchased power | |
| The planned power of the IL at time t | |
| The demand at the peak period considering the uncertainty | |
| lt | Ratio of hourly demand to demand of per period |
| Generalization of decision variable | |
| Generalization of fuzzy variable | |
| μ | Membership function of |
| Generalization of robust interval variables | |
| The deterministic part of | |
| The indeterminate part of | |
| fi | The pulse frequency of bat i |
| The speed of bat i at t | |
| The position bat i at t | |
| Uniformly distributed random variable on [0, 1] | |
| x* | The current optimal bat position. |
| Ck | The entropy of object k |
| vkX | The magnitude of the indicator X of the object k. |
| wk | Entropy weight of object k |
| c1, c2 | The acceleration factor of the PSO |
| w | The inertia weight of the PSO |
| Fk | Function value that should be normalized |
| Nk | Normalized Fk |
| Abbreviations | |
| DR | Demand response |
| PBDR | Price-based demand response |
| IBDR | Incentive-based demand response |
| IL | Interruptible load |
| BA | Bat algorithm |
| DLC | Direct load control |
| DSB | Demand side bid |
| EDR | Emergency demand response |
| WT | Wind turbine |
| MT | Micro turbine |
| PLR | Peak load regulation |
| TOU | Time of Use |
| C&CG | Column-and-constraint generation |
| LA | Load aggregator |
Appendix A
| Time | B3 | B4 | B6 | B7 | B8 | B9 | ||||||
|---|---|---|---|---|---|---|---|---|---|---|---|---|
| P/kW | Q/kVar | P/kW | Q/kVar | P/kW | Q/kVar | P/kW | Q/kVar | P/kW | Q/kVar | P/kW | Q/kVar | |
| 1 | 98.25 | 45.23 | 52.32 | 25.69 | 74.39 | 36.53 | 101.34 | 53.69 | 78.69 | 40.47 | 28.59 | 14.23 |
| 2 | 90.55 | 41.68 | 48.22 | 23.68 | 71.16 | 34.94 | 96.94 | 51.36 | 75.27 | 38.71 | 27.35 | 13.61 |
| 3 | 86.67 | 39.9 | 46.15 | 22.66 | 70.42 | 34.58 | 95.93 | 50.82 | 74.49 | 38.31 | 27.06 | 13.47 |
| 4 | 82.87 | 38.14 | 44.13 | 21.66 | 69.61 | 34.18 | 94.83 | 50.24 | 73.63 | 37.87 | 26.75 | 13.32 |
| 5 | 87.69 | 40.05 | 46.69 | 22.75 | 68.55 | 33.66 | 93.38 | 49.47 | 72.51 | 37.29 | 26.34 | 13.11 |
| 6 | 108.97 | 49.77 | 58.03 | 28.27 | 74.86 | 36.76 | 101.98 | 54.03 | 79.19 | 40.73 | 28.77 | 14.32 |
| 7 | 126.93 | 57.97 | 67.59 | 32.93 | 95.88 | 47.08 | 130.61 | 69.2 | 101.42 | 52.16 | 36.85 | 18.34 |
| 8 | 147.64 | 67.44 | 78.62 | 38.3 | 107.69 | 52.89 | 146.71 | 77.73 | 113.92 | 58.59 | 41.39 | 20.6 |
| 9 | 162.44 | 74.19 | 86.5 | 42.14 | 119.11 | 58.49 | 162.26 | 85.97 | 125.99 | 64.8 | 45.78 | 22.78 |
| 10 | 170.01 | 77.65 | 90.53 | 44.1 | 128.71 | 63.2 | 175.34 | 92.9 | 136.15 | 70.02 | 49.47 | 24.62 |
| 11 | 181.47 | 82.89 | 96.63 | 47.08 | 136.59 | 67.07 | 186.07 | 98.58 | 144.48 | 74.31 | 52.49 | 26.13 |
| 12 | 168.93 | 77.17 | 89.96 | 43.83 | 160.23 | 78.68 | 218.28 | 115.64 | 169.49 | 87.17 | 61.58 | 30.65 |
| 13 | 168.92 | 77.17 | 89.95 | 43.83 | 152.34 | 74.81 | 207.54 | 109.96 | 161.15 | 82.88 | 58.55 | 29.14 |
| 14 | 165.14 | 75.44 | 87.94 | 42.85 | 128.71 | 63.2 | 175.33 | 92.9 | 136.15 | 70.02 | 49.46 | 24.62 |
| 15 | 174.39 | 79.67 | 92.87 | 45.25 | 130.08 | 63.88 | 177.21 | 93.89 | 137.6 | 70.77 | 49.99 | 24.88 |
| 16 | 175.48 | 80.16 | 93.45 | 45.53 | 135.27 | 66.43 | 184.28 | 97.63 | 143.09 | 73.59 | 51.99 | 25.88 |
| 17 | 176.55 | 80.67 | 94.02 | 45.82 | 131.33 | 64.49 | 178.91 | 94.79 | 138.92 | 71.45 | 50.47 | 25.12 |
| 18 | 172.16 | 78.66 | 91.68 | 44.68 | 144.46 | 70.94 | 196.8 | 104.27 | 152.81 | 78.6 | 55.52 | 27.64 |
| 19 | 176.57 | 80.67 | 94.03 | 45.82 | 152.34 | 74.81 | 207.53 | 109.96 | 161.14 | 82.88 | 58.55 | 29.14 |
| 20 | 210.45 | 96.16 | 112.07 | 54.62 | 145.77 | 71.59 | 198.58 | 105.22 | 154.2 | 79.31 | 56.02 | 27.89 |
| 21 | 211.58 | 96.67 | 112.67 | 54.91 | 136.58 | 67.07 | 186.06 | 98.58 | 144.47 | 74.31 | 52.49 | 26.13 |
| 22 | 172.19 | 78.67 | 91.69 | 44.69 | 133.95 | 65.78 | 182.48 | 96.69 | 141.69 | 72.88 | 51.48 | 25.63 |
| 23 | 126.35 | 57.73 | 67.28 | 32.79 | 122.13 | 59.98 | 166.38 | 88.16 | 129.19 | 66.45 | 46.94 | 23.36 |
| 24 | 103.92 | 47.48 | 55.34 | 26.97 | 94.55 | 46.44 | 128.81 | 68.25 | 100.02 | 51.44 | 36.34 | 18.09 |
| Time | B10 | B11 | B12 | B13 | B14 | B15 | ||||||
|---|---|---|---|---|---|---|---|---|---|---|---|---|
| P/kW | Q/kVar | P/kW | Q/kVar | P/kW | Q/kVar | P/kW | Q/kVar | P/kW | Q/kVar | P/kW | Q/kVar | |
| 1 | 53.67 | 26.74 | 32.14 | 15.42 | 52.97 | 27.12 | 150.75 | 70.75 | 50.25 | 20.32 | 124.25 | 55.35 |
| 2 | 51.34 | 25.58 | 30.74 | 14.75 | 50.67 | 25.94 | 140.75 | 67.42 | 45.25 | 19.36 | 113.28 | 52.75 |
| 3 | 50.8 | 25.31 | 30.42 | 14.6 | 50.14 | 25.67 | 128.75 | 64.05 | 43.25 | 18.4 | 105.73 | 50.11 |
| 4 | 50.22 | 25.02 | 30.07 | 14.43 | 49.57 | 25.38 | 115.45 | 59.63 | 39.24 | 17.13 | 102.78 | 46.65 |
| 5 | 49.46 | 24.64 | 29.62 | 14.21 | 48.81 | 24.99 | 112.89 | 56.29 | 37.26 | 16.17 | 99.56 | 44.04 |
| 6 | 54.01 | 26.91 | 32.34 | 15.52 | 53.31 | 27.29 | 107.89 | 54.21 | 34.26 | 15.57 | 95.56 | 42.41 |
| 7 | 69.17 | 34.46 | 41.42 | 19.87 | 68.27 | 34.95 | 106.3 | 53.34 | 33.26 | 15.32 | 94.66 | 41.73 |
| 8 | 77.7 | 38.71 | 46.53 | 22.32 | 76.68 | 39.26 | 118.25 | 61.35 | 41.54 | 17.62 | 105.38 | 47.99 |
| 9 | 85.93 | 42.81 | 51.46 | 24.69 | 84.81 | 43.42 | 140.95 | 74.47 | 60.88 | 21.39 | 121.47 | 58.26 |
| 10 | 92.86 | 46.27 | 55.61 | 26.68 | 91.65 | 46.92 | 150.85 | 81.03 | 68.95 | 23.27 | 132.33 | 63.39 |
| 11 | 98.54 | 49.1 | 59.01 | 28.31 | 97.26 | 49.8 | 156.81 | 84.27 | 71.76 | 24.2 | 137.69 | 65.93 |
| 12 | 115.6 | 57.6 | 69.23 | 33.21 | 114.09 | 58.41 | 149.75 | 82.03 | 69.85 | 22.27 | 130.53 | 63.59 |
| 13 | 109.91 | 54.76 | 65.82 | 31.58 | 108.48 | 55.54 | 153.04 | 84.49 | 71.39 | 22.94 | 133.4 | 65.5 |
| 14 | 92.86 | 46.27 | 55.61 | 26.68 | 91.65 | 46.92 | 163.14 | 90.05 | 76.1 | 24.45 | 142.21 | 69.81 |
| 15 | 93.85 | 46.76 | 56.2 | 26.97 | 92.63 | 47.43 | 161.02 | 88.93 | 75.11 | 24.15 | 140.36 | 68.94 |
| 16 | 97.59 | 48.63 | 58.44 | 28.04 | 96.32 | 49.32 | 149.14 | 82.26 | 69.1 | 22.34 | 129.13 | 63.77 |
| 17 | 94.75 | 47.21 | 56.74 | 27.22 | 93.52 | 47.88 | 148.25 | 81.82 | 68.69 | 22.21 | 128.75 | 63.43 |
| 18 | 104.23 | 51.93 | 62.42 | 29.95 | 102.87 | 52.67 | 134.82 | 74.35 | 62.42 | 20.19 | 117.65 | 57.64 |
| 19 | 109.91 | 54.76 | 65.82 | 31.58 | 108.47 | 55.54 | 135.61 | 74.8 | 63.79 | 20.31 | 117.34 | 57.99 |
| 20 | 105.17 | 52.4 | 62.98 | 30.22 | 103.8 | 53.15 | 148.23 | 81.81 | 69.68 | 22.21 | 128.34 | 63.42 |
| 21 | 98.54 | 49.1 | 59.01 | 28.31 | 97.25 | 49.8 | 164.22 | 90.65 | 76.63 | 24.61 | 142.77 | 70.27 |
| 22 | 96.64 | 48.15 | 57.87 | 27.77 | 95.38 | 48.84 | 154.97 | 85.39 | 72.82 | 23.18 | 134.21 | 66.2 |
| 23 | 88.11 | 43.91 | 52.77 | 25.32 | 86.96 | 44.53 | 145.73 | 80.16 | 68.51 | 21.77 | 126.15 | 62.15 |
| 24 | 68.22 | 33.99 | 40.85 | 19.6 | 67.33 | 34.47 | 138.05 | 75.92 | 64.93 | 20.61 | 119.47 | 58.85 |
| Time | B16 | B17 | B18 | B19 | B20 | B21 | ||||||
|---|---|---|---|---|---|---|---|---|---|---|---|---|
| P/kW | Q/kVar | P/kW | Q/kVar | P/kW | Q/kVar | P/kW | Q/kVar | P/kW | Q/kVar | P/kW | Q/kVar | |
| 1 | 90.75 | 40.23 | 74.25 | 30.78 | 124.75 | 50.25 | 60 | 25.68 | 45.28 | 21.59 | 92.1 | 44.83 |
| 2 | 88.77 | 38.34 | 72.67 | 29.33 | 123.75 | 47.89 | 59.65 | 24.47 | 41.73 | 19.9 | 84.88 | 41.32 |
| 3 | 87.25 | 36.42 | 70.58 | 27.87 | 121.74 | 45.49 | 55.93 | 23.25 | 39.94 | 19.04 | 81.24 | 39.54 |
| 4 | 85.86 | 33.91 | 65.58 | 25.94 | 108.43 | 42.35 | 51.78 | 21.65 | 38.19 | 18.21 | 77.68 | 37.8 |
| 5 | 81.54 | 32.01 | 60.6 | 24.49 | 105.48 | 39.98 | 45.32 | 20.43 | 40.41 | 19.12 | 82.2 | 39.7 |
| 6 | 79.54 | 30.83 | 57.6 | 23.58 | 100.85 | 38.5 | 44.9 | 19.68 | 50.22 | 23.76 | 102.15 | 49.33 |
| 7 | 77.64 | 30.33 | 56.3 | 23.21 | 99.3 | 37.89 | 44.3 | 19.36 | 58.5 | 27.67 | 118.98 | 57.46 |
| 8 | 87.94 | 34.88 | 67.65 | 26.69 | 111.2 | 43.57 | 54.8 | 22.27 | 68.04 | 32.19 | 138.4 | 66.84 |
| 9 | 105.75 | 42.35 | 86.85 | 32.4 | 129.23 | 52.89 | 69.57 | 27.03 | 74.86 | 35.42 | 152.27 | 73.54 |
| 10 | 115.35 | 46.07 | 95.75 | 35.25 | 138.83 | 57.55 | 78.82 | 29.41 | 78.35 | 37.07 | 159.37 | 76.96 |
| 11 | 119.96 | 47.92 | 99.58 | 36.66 | 144.38 | 59.85 | 81.97 | 30.59 | 83.63 | 39.57 | 170.11 | 82.16 |
| 12 | 117.45 | 46.37 | 92.65 | 35.75 | 140.63 | 58.55 | 79.95 | 29.61 | 77.85 | 36.84 | 158.35 | 76.49 |
| 13 | 121.03 | 47.77 | 94.69 | 36.82 | 143.72 | 60.31 | 81.71 | 30.5 | 77.85 | 36.83 | 158.35 | 76.48 |
| 14 | 127.96 | 50.91 | 101.94 | 39.25 | 153.21 | 64.27 | 87.1 | 32.51 | 76.11 | 36.01 | 154.8 | 74.77 |
| 15 | 126.29 | 50.28 | 99.63 | 38.76 | 151.22 | 63.48 | 85.97 | 32.1 | 80.37 | 38.03 | 163.47 | 78.97 |
| 16 | 117.19 | 46.51 | 92.66 | 35.85 | 139.12 | 58.72 | 80.09 | 29.69 | 80.87 | 38.26 | 164.5 | 79.45 |
| 17 | 116.49 | 46.25 | 91.81 | 35.66 | 138.49 | 58.4 | 79.62 | 29.53 | 81.37 | 38.5 | 165.5 | 79.95 |
| 18 | 104.96 | 42.04 | 83.8 | 32.41 | 125.67 | 53.07 | 72.45 | 26.84 | 79.34 | 37.55 | 161.38 | 77.96 |
| 19 | 106.58 | 42.29 | 83.29 | 32.6 | 127.42 | 53.39 | 71.87 | 27 | 81.37 | 38.51 | 165.52 | 79.96 |
| 20 | 115.48 | 46.25 | 92.09 | 35.66 | 138.57 | 58.4 | 79.61 | 29.53 | 96.99 | 45.9 | 197.28 | 95.31 |
| 21 | 129.82 | 51.25 | 100.99 | 39.51 | 154.28 | 64.7 | 87.14 | 32.72 | 97.51 | 46.15 | 198.34 | 95.82 |
| 22 | 121.76 | 48.28 | 96.26 | 37.22 | 145.59 | 60.95 | 82.2 | 30.82 | 79.36 | 37.55 | 161.41 | 77.98 |
| 23 | 114.51 | 45.32 | 89.54 | 34.94 | 136.92 | 57.22 | 77.27 | 28.94 | 58.23 | 27.56 | 118.44 | 57.22 |
| 24 | 108.5 | 42.92 | 84.8 | 33.09 | 129.71 | 54.19 | 74.17 | 27.4 | 47.89 | 22.66 | 97.41 | 47.06 |
| Time | B22 | B23 | B24 | B25 | B26 | B27 | ||||||
|---|---|---|---|---|---|---|---|---|---|---|---|---|
| P/kW | Q/kVar | P/kW | Q/kVar | P/kW | Q/kVar | P/kW | Q/kVar | P/kW | Q/kVar | P/kW | Q/kVar | |
| 1 | 92.5 | 42.49 | 20.3 | 9.46 | 40.94 | 21.77 | 101.35 | 52.36 | 41.69 | 23.58 | 76.58 | 39.87 |
| 2 | 85.25 | 39.16 | 18.71 | 8.72 | 37.73 | 20.06 | 97.05 | 50.14 | 39.92 | 22.58 | 73.33 | 38.18 |
| 3 | 81.6 | 37.48 | 17.91 | 8.34 | 36.11 | 19.2 | 88.03 | 45.48 | 36.21 | 20.48 | 66.52 | 34.63 |
| 4 | 78.02 | 35.83 | 17.12 | 7.98 | 34.53 | 18.36 | 85.46 | 44.15 | 35.15 | 19.88 | 64.57 | 33.62 |
| 5 | 82.55 | 37.62 | 18.12 | 8.38 | 36.54 | 19.28 | 82.02 | 42.37 | 33.74 | 19.08 | 61.97 | 32.27 |
| 6 | 102.59 | 46.76 | 22.51 | 10.41 | 45.41 | 23.96 | 84.13 | 43.46 | 34.61 | 19.57 | 63.57 | 33.1 |
| 7 | 119.5 | 54.46 | 26.22 | 12.13 | 52.89 | 27.9 | 90.94 | 46.98 | 37.41 | 21.16 | 68.72 | 35.78 |
| 8 | 139 | 63.35 | 30.5 | 14.1 | 61.52 | 32.46 | 103.32 | 53.38 | 42.5 | 24.04 | 78.07 | 40.65 |
| 9 | 152.93 | 69.7 | 33.56 | 15.52 | 67.69 | 35.71 | 126.48 | 65.34 | 52.03 | 29.43 | 95.56 | 49.75 |
| 10 | 160.06 | 72.95 | 35.13 | 16.24 | 70.84 | 37.38 | 140.98 | 72.83 | 57.99 | 32.8 | 106.52 | 55.46 |
| 11 | 170.85 | 77.87 | 37.49 | 17.34 | 75.62 | 39.9 | 158.14 | 81.7 | 65.05 | 36.79 | 119.49 | 62.21 |
| 12 | 159.04 | 72.49 | 34.9 | 16.14 | 70.39 | 37.14 | 156.84 | 81.03 | 64.52 | 36.49 | 118.51 | 61.7 |
| 13 | 159.03 | 72.49 | 34.9 | 16.14 | 70.39 | 37.14 | 127.31 | 65.77 | 52.37 | 29.62 | 96.2 | 50.08 |
| 14 | 155.48 | 70.87 | 34.12 | 15.78 | 68.81 | 36.31 | 134.58 | 69.53 | 55.36 | 31.31 | 101.69 | 52.94 |
| 15 | 164.18 | 74.85 | 36.03 | 16.66 | 72.67 | 38.35 | 133.33 | 68.88 | 54.84 | 31.02 | 100.74 | 52.45 |
| 16 | 165.21 | 75.3 | 36.26 | 16.77 | 73.12 | 38.58 | 142.32 | 73.53 | 58.54 | 33.11 | 107.54 | 55.99 |
| 17 | 166.22 | 75.78 | 36.48 | 16.87 | 73.57 | 38.83 | 143.16 | 73.96 | 58.89 | 33.31 | 108.17 | 56.32 |
| 18 | 162.08 | 73.89 | 35.57 | 16.45 | 71.74 | 37.86 | 142.74 | 73.74 | 58.72 | 33.21 | 107.86 | 56.15 |
| 19 | 166.24 | 75.79 | 36.48 | 16.87 | 73.57 | 38.83 | 133.72 | 69.09 | 55.01 | 31.11 | 101.04 | 52.61 |
| 20 | 198.14 | 90.33 | 43.48 | 20.11 | 87.69 | 46.28 | 147.45 | 76.18 | 60.65 | 34.31 | 111.41 | 58.01 |
| 21 | 199.2 | 90.82 | 43.72 | 20.22 | 88.17 | 46.53 | 165.06 | 85.27 | 67.9 | 38.4 | 124.72 | 64.93 |
| 22 | 162.11 | 73.91 | 35.58 | 16.45 | 71.75 | 37.87 | 142.73 | 73.74 | 58.71 | 33.21 | 107.85 | 56.15 |
| 23 | 118.95 | 54.23 | 26.11 | 12.07 | 52.65 | 27.79 | 123.51 | 63.81 | 50.81 | 28.74 | 93.33 | 48.59 |
| 24 | 97.83 | 44.6 | 21.47 | 9.93 | 43.3 | 22.85 | 113.18 | 58.47 | 46.56 | 26.33 | 85.52 | 44.53 |
| Time | B28 | B29 | B30 | B31 | B32 | |||||
|---|---|---|---|---|---|---|---|---|---|---|
| P/kW | Q/kVar | P/kW | Q/kVar | P/kW | Q/kVar | P/kW | Q/kVar | P/kW | Q/kVar | |
| 1 | 44.69 | 23.59 | 105.24 | 50.37 | 73.68 | 53.69 | 42.49 | 20.47 | 95.66 | 49.28 |
| 2 | 42.79 | 22.59 | 100.78 | 48.23 | 70.56 | 51.41 | 40.69 | 19.6 | 91.6 | 47.19 |
| 3 | 38.82 | 20.49 | 91.41 | 43.75 | 64 | 46.64 | 36.91 | 17.78 | 83.09 | 42.81 |
| 4 | 37.68 | 19.89 | 88.74 | 42.47 | 62.13 | 45.27 | 35.83 | 17.26 | 80.66 | 41.55 |
| 5 | 36.17 | 19.09 | 85.17 | 40.76 | 59.63 | 43.45 | 34.39 | 16.57 | 77.41 | 39.88 |
| 6 | 37.1 | 19.58 | 87.36 | 41.81 | 61.16 | 44.57 | 35.27 | 16.99 | 79.4 | 40.91 |
| 7 | 40.1 | 21.17 | 94.43 | 45.2 | 66.11 | 48.18 | 38.13 | 18.37 | 85.84 | 44.22 |
| 8 | 45.56 | 24.05 | 107.29 | 51.35 | 75.11 | 54.73 | 43.32 | 20.87 | 97.52 | 50.24 |
| 9 | 55.77 | 29.44 | 131.33 | 62.86 | 91.95 | 67 | 53.02 | 25.54 | 119.37 | 61.5 |
| 10 | 62.16 | 32.81 | 146.39 | 70.07 | 102.49 | 74.68 | 59.1 | 28.47 | 133.06 | 68.55 |
| 11 | 69.73 | 36.81 | 164.21 | 78.6 | 114.97 | 83.78 | 66.3 | 31.94 | 149.26 | 76.9 |
| 12 | 69.16 | 36.51 | 162.86 | 77.95 | 114.02 | 83.09 | 65.75 | 31.68 | 148.04 | 76.26 |
| 13 | 56.14 | 29.63 | 132.2 | 63.27 | 92.55 | 67.44 | 53.37 | 25.71 | 120.16 | 61.9 |
| 14 | 59.34 | 31.32 | 139.74 | 66.89 | 97.84 | 71.29 | 56.42 | 27.18 | 127.02 | 65.44 |
| 15 | 58.79 | 31.03 | 138.45 | 66.26 | 96.93 | 70.63 | 55.9 | 26.93 | 125.84 | 64.83 |
| 16 | 62.76 | 33.13 | 147.79 | 70.73 | 103.47 | 75.4 | 59.67 | 28.75 | 134.33 | 69.2 |
| 17 | 63.13 | 33.32 | 148.66 | 71.15 | 104.08 | 75.84 | 60.02 | 28.91 | 135.12 | 69.61 |
| 18 | 62.94 | 33.22 | 148.22 | 70.94 | 103.77 | 75.62 | 59.84 | 28.83 | 134.73 | 69.41 |
| 19 | 58.96 | 31.13 | 138.86 | 66.46 | 97.22 | 70.84 | 56.06 | 27.01 | 126.22 | 65.02 |
| 20 | 65.02 | 34.32 | 153.11 | 73.28 | 107.19 | 78.11 | 61.82 | 29.78 | 139.17 | 71.7 |
| 21 | 72.78 | 38.42 | 171.39 | 82.03 | 119.99 | 87.44 | 69.2 | 33.34 | 155.79 | 80.26 |
| 22 | 62.94 | 33.22 | 148.21 | 70.94 | 103.76 | 75.61 | 59.84 | 28.83 | 134.72 | 69.4 |
| 23 | 54.46 | 28.75 | 128.25 | 61.38 | 89.79 | 65.43 | 51.78 | 24.95 | 116.58 | 60.06 |
| 24 | 49.91 | 26.34 | 117.53 | 56.25 | 82.28 | 59.96 | 47.45 | 22.86 | 106.83 | 55.03 |
| Branch Number | Starting Node | End Node | Resistance | Reactance | Branch Number | Starting Node | End Node | Resistance | Reactance |
|---|---|---|---|---|---|---|---|---|---|
| /Ω | /Ω | /Ω | /Ω | ||||||
| 1 | B0 | B1 | 0.0922 | 0.047 | 17 | B23 | B24 | 0.786 | 0.564 |
| 2 | B1 | B13 | 0.493 | 0.2511 | 18 | B5 | B6 | 1.059 | 0.9337 |
| 3 | B13 | B14 | 0.164 | 0.1565 | 19 | B6 | B7 | 1.03 | 0.74 |
| 4 | B14 | B15 | 0.4512 | 0.3083 | 20 | B7 | B8 | 0.8042 | 0.7006 |
| 5 | B15 | B16 | 0.366 | 0.1864 | 21 | B8 | B9 | 1.044 | 0.74 |
| 6 | B16 | B17 | 1.504 | 1.3554 | 22 | B9 | B10 | 0.5075 | 0.2585 |
| 7 | B17 | B18 | 0.3811 | 0.1941 | 23 | B10 | B11 | 0.1966 | 0.065 |
| 8 | B18 | B19 | 0.4095 | 0.4784 | 24 | B11 | B12 | 0.9744 | 0.963 |
| 9 | B1 | B2 | 0.896 | 0.7011 | 25 | B5 | B25 | 0.3744 | 0.1238 |
| 10 | B2 | B3 | 0.819 | 0.707 | 26 | B25 | B26 | 0.3105 | 0.3619 |
| 11 | B3 | B4 | 0.7089 | 0.9373 | 27 | B26 | B27 | 1.468 | 1.115 |
| 12 | B4 | B5 | 0.203 | 0.1034 | 28 | B25 | B28 | 0.341 | 0.5302 |
| 13 | B2 | B20 | 0.1872 | 0.6188 | 29 | B28 | B29 | 0.5412 | 0.7129 |
| 14 | B20 | B21 | 0.2842 | 0.1447 | 30 | B28 | B30 | 0.591 | 0.526 |
| 15 | B21 | B22 | 0.7114 | 0.2351 | 31 | B30 | B31 | 0.7463 | 0.545 |
| 16 | B22 | B23 | 0.732 | 0.574 | 32 | B31 | B32 | 1.289 | 1.721 |
Appendix B
| Unit Type | Power Output | Years of Use | Installation Cost (Wanyuan) | Operation & Maintenance (yuan/kW·h) | |
|---|---|---|---|---|---|
| Lower Limit | Upper Limit | ||||
| WT | 0 | 700 | 10 | 2.375 | 0.0296 |
| PT | 0 | 500 | 20 | 6.65 | 0.0096 |
| MT | 0 | 350 | 15 | 1.667 | 0.03 |
| Parameters | Population Size | Number of Iterations | Parameters | Frequency | Pulse Frequency Increase Factor |
| data | 100 | 100 | data | [0,2] | 0.9 |
| Parameters | Pulse Loudness | Loudness Attenuation Coefficient | Parameters | Mutation Probability | Random Coefficient |
| data | [1,2] | 0.9 | data | 0.9 | 0.5 |

| Time | Peak | Flat | Valley |
|---|---|---|---|
| Peak | −0.0173 | 0.0383 | 0.052 |
| Flat | 0.0192 | −0.0426 | 0.0577 |
| Valley | 0.0202 | 0.0448 | −0.0607 |
| Parameters | mxy2 | mxy3 | kx | ky | Ex1 | Ex2 | Ex3 | Ex4 |
|---|---|---|---|---|---|---|---|---|
| Data | 95%mxy | 105%mxy | 1%mxy | 1%mxy | 92%mxy | 95%mxy | 105%mxy | 108%mxy |
Appendix C
Appendix C.1. Algorithm of PBDR:
| for t = 1 to T |
| if t = (8 to 12) or (16 to 20), |
| else if t = (22 to 24) or (1 to 6), |
| else |
| end if |
| end for |
| for x = 1 to 3 |
| for y = 1 to 3 |
| end for |
| end for |
| for t = 1 to T |
| if t = (8 to 12) or (16 to 20) |
| else if t = (22 to 24) or (1 to 6) |
| else |
| end if |
| end for |
Appendix C.2. Sketch Map of IBDR:

References
- Notice on Printing and Distributing the Measures for Power Demand Side Management. Available online: http://bgt.ndrc.gov.cn/zcfb/201011/t20101116_498818.html (accessed on 4 November 2010).
- Meng, X.; Cao, J.; Wang, Z.; Du, W. Construction and Energy Storage Mode Analysis of Energy Interconnected Microgrid Multi-energy Complementary System. Proc. CSEE 2018, 38, 5727–5737. [Google Scholar]
- Zhang, L.; Yuan, Y.; Sun, D.; Yuan, X.; Li, Q.; Su, D. Based wind farm joint operation scheduling model based on two-stage robust interval optimization. Electr. Power Automat. Equip. 2018, 38, 59–66. [Google Scholar]
- Zhang, Y.; Ren, S.; Yang, X.; Bao, W.; Xie, L.; Qi, J. Independent Microgrid Optimization Configuration Considering Price Demand Response. Electr. Power Automat. Equip. 2017, 37, 55–62. [Google Scholar]
- Cao, W.; Li, B.; Zheng, A.; Qi, B.; Yang, Z.; Su, Y. The Architecture and Technology of Demand Response within Energy Internet. In Proceedings of the 2016 China International Conference on Electricity Distribution (CICED), Xi’an, China, 10–13 August 2016. [Google Scholar]
- Niu, W.; Li, Y.; Wang, L. Based on risk assessment and opportunity constraints for uncertain interruptible load optimization scheduling. Electr. Power Automat. Equip. 2016, 36, 62–67. [Google Scholar]
- Huang, H.; Li, F.X.; Mishra, Y. Modeling Dynamic Demand Response Using Monte Carlo Simulation and Interval Mathematics for Boundary Estimation. IEEE Trans. Smart Grid 2015, 6, 2704–2713. [Google Scholar] [CrossRef]
- Zhu, L.; Liu, S.; Tang, Y.; Wang, J.; Huang, C. Modeling of charge and discharge uncertainty response and electric vehicle dealer’s dispatching strategy. Power Syst. Technol. 2018, 42, 3305–3317. [Google Scholar]
- Wang, B.; Sun, Y.; Li, Y. Application of Uncertainty Demand Response Modeling in Power Integral Incentive Decision. Automat. Electr. Power Syst. 2015, 39, 93–99. [Google Scholar]
- Zhou, B.; Lv, L.; Gao, H.; Tan, X.; Wu, H. virtual power plant optimization trading strategy based on two-stage stochastic programming. Power Constr. 2018, 39, 70–77. [Google Scholar]
- Yu, H.; Chung, C.; Wong, K.; Lee, H.; Zhang, J. Probabilistic Load Flow Evaluation with Hybrid Latin Hypercube Sampling and Cholesky Decomposition. IEEE Trans. Power Syst. 2009, 24, 661–667. [Google Scholar] [CrossRef]
- Meng, A.; Lin, Y.; Yin, H. Considers the uncertainty of the factor of household grid-wind-light-storage collaborative economic dispatch optimization method. Power Syst. Technol. 2018, 42, 162–173. [Google Scholar]
- Good, N.; Karangelos, E.; Navarro-Espinosa, A.; Mancarella, P. Optimization Under Uncertainty of Thermal Storage-Based Flexible Demand Response With Quantification of Residential Users’ Discomfort. IEEE Trans. Smart Grid 2015, 6, 2333–2342. [Google Scholar] [CrossRef]
- Niu, W.; Li, Y.; Wang, B. Considers uncertainty in demand response virtual power plant modeling. Proc. CSEE 2014, 34, 3630–3637. [Google Scholar]
- Zeng, D.; Yao, J.; Yang, S.; Wang, W.; Zhou, J.; Shi, F. Probabilistic power flow calculation with taking into account price-type load response uncertainty. Automat. Electr. Power Syst. 2015, 39, 66–71. [Google Scholar]
- Zhang, M.; Hu, Z.; Li, Y.; Xie, S. Based on feasibility test for unit combination robust optimization considering wind power and demand response. Proc. CSEE 2018, 38, 3184–3194. [Google Scholar]
- Yi, J.; Lyons, P.F.; Davison, P.J.; Wang, P.; Taylor, P.C. Robust Scheduling Scheme for Energy Storage to Facilitate High Penetration of Renewables. IEEE Trans. Sustain. Energy 2016, 7, 797–807. [Google Scholar] [CrossRef]
- Yi, W.; Zhang, Y.; Zhao, Z.; Huang, Y. Multiobjective Robust Scheduling for Smart Distribution Grids: Considering Renewable Energy and Demand Response Uncertainty. IEEE Access 2018, 6, 45715–45724. [Google Scholar] [CrossRef]
- Zeng, M.; Yang, Y.; Xiang, H.; Wang, L.; Sun, J. Power System Robust Optimization Programming Model with Taking Demand Side Response. Automat. Electr. Power Syst. 2016, 40, 137–145. [Google Scholar]
- Zhao, C.; Wang, J.; Watson, J.; Guan, Y. Multi-Stage Robust Unit Commitment Considering Wind and Demand Response Uncertainties. IEEE Trans. Power Syst. 2013, 28, 2708–2717. [Google Scholar] [CrossRef]
- Luo, C.; Li, Y.; Xu, H.; Li, L.X.; Hou, T.; Miao, S. Analysis of the Influence of Demand Response Uncertainty on Day-Time Optimization Scheduling. Automat. Electr. Power Syst. 2017, 41, 22–29. [Google Scholar]
- Liu, X.; Gao, B.; Li, Y. Bayesian Game-Theoretic Bidding Optimization for Aggregators Considering the Breach of Demand Response Resource. Appl. Sci. 2019, 9, 576. [Google Scholar] [CrossRef]
- Gao, Y.; Sun, Y.; Wang, X.; Chen, F.; Ehsan, A.; Li, H.; Li, H. Multi-Objective Optimized Aggregation of Demand Side Resources Based on a Self-organizing Map Clustering Algorithm Considering a Multi-Scenario Technique. Energies 2017, 10, 2144. [Google Scholar] [CrossRef]
- Liu, B.; Zhao, R.; Wang, G. Uncertain Planning and Application, 1st ed.; Tsinghua University Press: Beijing, China, 2003; pp. 185–187. [Google Scholar]
- Yang, X.S. A New Metaheuristic Bat-Inspired Algorithm. Comput. Knowl. Technol. 2010, 284, 65–74. [Google Scholar]
- Khan, K.; Sahai, A. A Comparison of BA, GA, PSO, BP and LM for Training Feed forward Neural Networks in e-Learning Context. Int. J. Intell. Syst. Appl. 2012, 4, 23–29. [Google Scholar] [CrossRef]
- Ghosh, S.; Kaur, M.; Bhullar, S.; Karar, V. Hybrid ABC-BAT for Solving Short-Term Hydrothermal Scheduling Problems. Energies 2019, 12, 551. [Google Scholar] [CrossRef]
- Dinh, B.H.; Nguyen, T.T.; Quynh, N.V.; Van Dai, L. A Novel Method for Economic Dispatch of Combined Heat and Power Generation. Energies 2018, 11, 3113. [Google Scholar] [CrossRef]
- Fayaz, M.; Kim, D. Energy Consumption Optimization and User Comfort Management in Residential Buildings Using a Bat Algorithm and Fuzzy Logic. Energies 2018, 11, 161. [Google Scholar] [CrossRef]
- Jose, J.T. In Economic load dispatch including wind power using Bat Algorithm. In Proceedings of the 2014 International Conference on Advances in Electrical Engineering (ICAEE), Vellore, India, 9–11 January 2014. [Google Scholar]
- Wang, J.Q.; Chen, J.; Qu, T.; Huang, G.Q.; Zhang, Y.F.; Sun, S.D. New entropy weight-based TOPSIS for evaluation of multi-objective job-shop scheduling solutions. In Proceedings of the 2012 IEEE International Conference on Industrial Engineering and Engineering Management, Hong Kong, China, 10–13 December 2012. [Google Scholar]
- Lu, J.; Wang, W.; Zhang, Y.; Cheng, S. Multi-Objective Optimal Design of Stand-Alone Hybrid Energy System Using Entropy Weight Method Based on HOMER. Energies 2017, 10, 1664. [Google Scholar] [CrossRef]
- Sun, C.; Mi, Z.; Ren, H.; Jing, Z.; Lu, J.; Watts, D. Multi-Dimensional Indexes for the Sustainability Evaluation of an Active Distribution Network. Energies 2019, 12, 369. [Google Scholar] [CrossRef]
- Li, H.; Li, G.; Liu, S.; Wang, Y.; Wang, Z.; Wang, J.; Zhang, N. Research on Optimal Planning of Access Location and Access Capacity of Large-Scale Integrated Wind Power Plants. Energies 2017, 10, 442. [Google Scholar] [CrossRef]
- Huang, W.; Xiong, W.; Yan, B.; Liu, L.F.; Liu, Z.F. Optimization scheduling strategy of virtual microgrid with at different time scales. Automat. Electr. Power Syst. 2017, 41, 12–19. [Google Scholar]
- Zhang, X.H.; Zhao, C.M.; Liang, J.X.; Li, K.; Zhong, J.Q. Robust Fuzzy Economic Scheduling for Power Systems Considering Bilateral Uncertainty of Power Generation. Automat. Electr. Power Syst. 2018, 17, 67–75. [Google Scholar]









| Period | Time | Price (yuan/(kW·h)) |
|---|---|---|
| Peak | 8:00–12:00, 16:00–20:00 | 0.55 |
| Flat | 6:00–8:00, 12:00–16:00, 20:00–22:00 | 0.52 |
| Valley | 22:00–24:00, 0:00–6:00 | 0.3 |
| Scenario | Day-ahead Cost (yuan) | The Cost of IL (yuan) | Extra Purchase Cost (yuan) | Peak Load Regulation (yuan) | Total Cost (yuan) |
|---|---|---|---|---|---|
| 1 | 28,692 | 953.47 | 876.21 | 1844.6 | 32,264.28 |
| 2 | 28,955 | 1104.38 | 659.79 | 1305.93 | 32,025.1 |
| 3 | 30,845 | 894.33 | 326.85 | 1178.47 | 33,244.65 |
| 4 | 29,681 | 917.4 | 235.42 | 904.81 | 31,738.63 |
| Entropy Weights | Data |
|---|---|
| w1 | 0.3145 |
| w2 | 0.6855 |
| Algorithm | PSO | BA |
|---|---|---|
| Optimal solution | 0.9344 | 0.9632 |
| Standard deviation | 0.0279 | 0.0001 |
| Average time consuming (s) | 18.47 | 24.58 |
| Operating costs (yuan) | 28022 | 27715 |
| User transfer coefficient | 0.0763 | 0.0759 |
© 2019 by the authors. Licensee MDPI, Basel, Switzerland. This article is an open access article distributed under the terms and conditions of the Creative Commons Attribution (CC BY) license (http://creativecommons.org/licenses/by/4.0/).
Share and Cite
Sheng, S.; Gu, Q. A Day-ahead and Day-in Decision Model Considering the Uncertainty of Multiple Kinds of Demand Response. Energies 2019, 12, 1711. https://doi.org/10.3390/en12091711
Sheng S, Gu Q. A Day-ahead and Day-in Decision Model Considering the Uncertainty of Multiple Kinds of Demand Response. Energies. 2019; 12(9):1711. https://doi.org/10.3390/en12091711
Chicago/Turabian StyleSheng, Siqing, and Qing Gu. 2019. "A Day-ahead and Day-in Decision Model Considering the Uncertainty of Multiple Kinds of Demand Response" Energies 12, no. 9: 1711. https://doi.org/10.3390/en12091711
APA StyleSheng, S., & Gu, Q. (2019). A Day-ahead and Day-in Decision Model Considering the Uncertainty of Multiple Kinds of Demand Response. Energies, 12(9), 1711. https://doi.org/10.3390/en12091711
