Multi-Criteria Decision-Making under mHF ELECTRE-I and HmF ELECTRE-I
Abstract
:1. Introduction
2. The Concept of -Polar Hesitant Fuzzy Sets and Hesitant -Polar Fuzzy Sets
- C.V evaluation
- Interview evaluation
- Knowledge evaluation
- Color
- Shape and size
- Texture
3. The -Polar Hesitant Fuzzy ELECTRE-I Approach
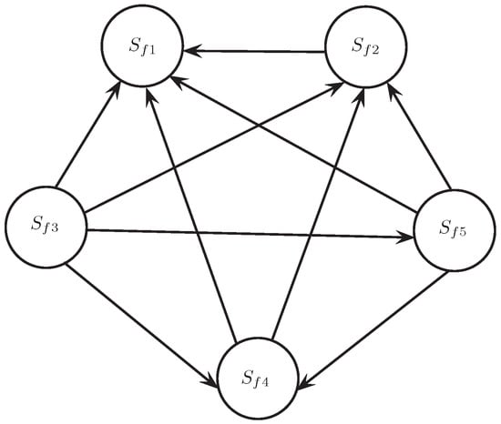
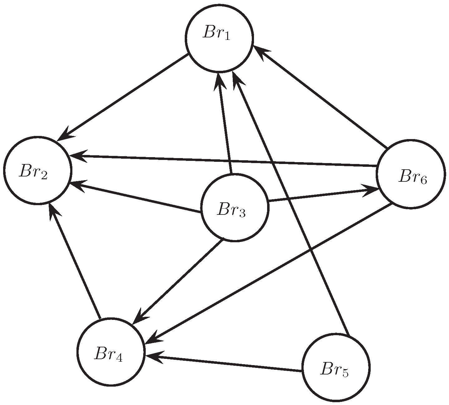
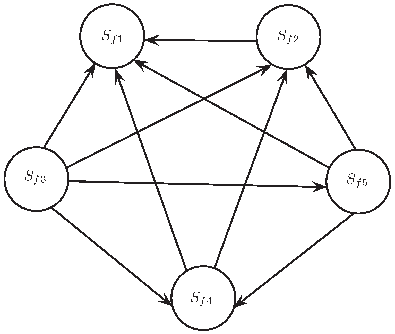
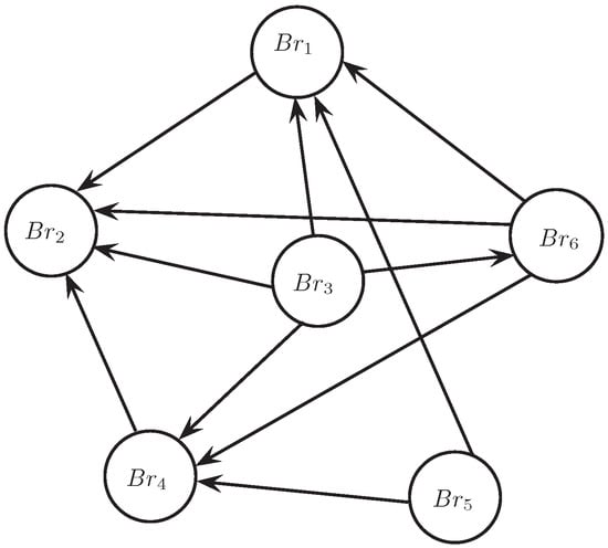
- There exists a unique directed edge from to , which shows is preferred over
- There exists directed edges from to and to , which shows and are indifferent.
- There does not exist any edge between and , which shows and are not comparable.
3.1. Selection of a Best Brick for Construction
- The “Physical Properties” may include
- “Shape”, normally an ideal brick has absolutely rectangular shape. Its edges are sharp, well defined and having even and regular surface.
- “Size and Color”, in construction the practiced size of brick differs from place to place and from country to country, where as the color of bricks may vary from dull red to light red and from buff to purple.
- “Density”, the weight per unit volume or the density of bricks mostly depends on the process of brick molding and type of clay used to prepare it.
- The “Mechanical Properties” may include
- “Compressive Strength”, it is the highest considerable and crucial estate of bricks specifically when they are utilized in load-bearing walls, it depends on the degree of burning and formation of the clay.
- “Flexure Strength”, usually bricks are utilized in directions and stages where tilting and twisting loads are feasible in a building. In essence, they maintain satisfactory strength across transverse loads.
- “Slenderness Ratio”, in turn it depends upon the effective height, length and thickness of the wall or column.
- The “Durability” may include
- “Absorption Value”, this estate is depicted to the brick porosity. True Porosity is described as the rate of the volume of pores to the gross volume of the sample of the substance.
- “Frost Resistance”, when bricks are utilized in cold climates, their decomposition due to this phenomenon of frost action may be a common process. therefore, it is significant that bricks in such areas should be accordingly protected from rain to decrease absorption.
- “Efflorescence”, it is a natural distorting and depreciating process of bricks in humid and hot climates.
4. The Hesitant -Polar Fuzzy ELECTRE-I Approach
4.1. Site Selection for Farming Purposes
- The “Climatic Factor” may include
- “Rainfall”, which is the most frequent and familiar form of precipitation. The extent, measure and consistency of rainfall differ with area, climate and location types. It induce the influence of certain types of vegetation, growth of crop and its yield.
- “Humidity”, which is the actual measure of water vapor in the air, considered as the percentage of the maximal capacity of water vapor it can dominate at usual temperature. It has different affects on the closing and opening of the stomata, which coordinates deficiency of water from the plant through photosynthesis and transpiration.
- “Wind Pressure”, which is caused by differences in heating and due to the presence of pressure gradient on local and global scale. It compacts and the pressure raises, when the air close to the ground cools and it expands and drops pressure, when it warms.
- “Temperature”, which has a great ascendancy on all growth processes of a plant such as respiration, photosynthesis, etc. At huge temperatures the alteration of photosyntheses is much more rapid and active so that plants tend to develop earlier.
- The “Socioeconomic Factor” may include
- “Infrastructure”, which is the requirement of large scale farming infrastructure to assure the highest yields per acre. Water movement towards the crops as well as away from the crops, is an analytical process to production.
- “Land Tenancy”, which includes all models and plans of tenancy and ownership in any form. Land tenancy and land tenure affect the agricultural actions, activities and cropping patterns in many ways. The cultivators proceed the agricultural activities and farm management, by keeping in mind their benefits and occupancy duration on the land.
- “Labor”, the availability and possibility of labor is also a major constraint in the use of agricultural land and cropping impressions of a region. It serves as all human maintenance except decision-making and fundamentals. In decision-making process of the farmer, the availability of labor, its quality and quantity at the periods of peak labor demand have a great significance.
- “Marketing facility”, the accessibility and approach to the market is a major discussion. The concentration of agriculture and the production of crops descent as the location of cultivation takes away from the marketing centers.
- The “Edaphic Factor” may include
- “Structure”, to execute effectually as a growing medium, soils demand an open structure through the soil profile. For healthy plant growth, an effective soil structure allows water and air into the soil which are crucial. It improves drainage and lower the soil destruction due to excess surface run-off.
- “Fertility”, which is the capacity of a soil to assist agricultural growth of plant, to maintain the plant surroundings and result in defend and homogeneous yields of immense quality. It supplies fundamental plant nutrients and water in sufficient amount and proportion for growth and reproduction of plant.
- “Texture”,which is an essential soil exclusive that consequences storm water in filtration estimates. The texturing class of a soil is resolved by the ratio of clay, sand and slit.
- “Porosity and Consistency”, soil porosity indicates the amount of pores and open spaces between soil particles. The soil compactness is the durability with which soil materials are held together or the resistance of soils to deformation.
- The “Essential Factor” may include
- “Environment”, the different operations of farming should not have a negative impact on the environment. The environment is not suitable or sometimes even harmful when the farming sites are close to an urban area.
- “Government Policies”, it is in the interests of distinct governments to make policies that are convenient to attain growth in agriculture. It is possible to use this influence and set up the farm in an area likely to gain from the performance of the policy.
- “Biotic Interactions”, which reveal the existence or absence of some beneficial or harmful organisms. The natural population of certain organisms like bees and other pollinators have a great importance in site selection for farming purposes.
- “Economic Agents”, this factor is considered as the most important to develop the agricultural business. It includes the benefits, terms of lease or acquisition and cost.
| Algorithm 1 - The algorithm of proposed approaches for dealing MCGDM problems. |
|
5. Differences and Comparative Analysis of Proposed Approaches
5.1. Differences of Proposed Approaches
- m-Polar hesitant fuzzy ELECTRE-I approach
- An mHF ELECTRE-I approach based on the concept mHF-sets, which is the generalization of mF sets under hesitancy.
- An mHF-set can be reduced to an mF set by reducing the the factor of hesitancy up to one.
- An mHF ELECTRE-I method is able to deal with problems, when we have multipolar information in terms of hesitancy.
- This approach deals with the hesitant situation of each degree of membership of mF sets separately.
- Hesitant m-polar fuzzy ELECTRE-I approach
- The HmF ELECTRE-I approach based on the concept HmF-sets, which is the natural generalization of HFSs in terms of mF knowledge.
- The HmF-set can be reduced to a HFS by contracting the multipolar information up to one.
- The HmF ELECTRE-I method is able to deal with problems, when we have to facilitate the management of hesitation, uncertainty and vagueness motivated by multipolar information.
- This approach deals the hesitant situation of m tuple degrees of membership of mF sets.
5.2. Comparative Analysis of Proposed Approaches
- Existing method (mFL ELECTRE-I)Existing method described in [6] is used to handle the multipolar information in terms of mF linguistic variables in which hesitancy is not allowed. The method is limited up to the mF linguistic variables, we are bound to take the alternatives having mF linguistic variable and cannot apply this method to deal the problems having decision-makers uncertain and hesitant decision. In (Section 3, Subsection 3.1 of [6]), we have applied the mFL ELECTRE-I approach to salary analysis of companies, which is bound only to deal the multipolar information in terms of 4F linguistic variable (salary). Its criteria are the linguistic values of 4F linguistic variable, which are not used to discuss the wide range of problems having multipolar information with different properties or factors under hesitancy.
- Proposed methods (mHF ELECTRE-I and HmF ELECTRE-I)Both the proposed approaches are used to solve the problems having multipolar information under hesitancy. The proposed approaches are not bound to any kind of restriction such as linguistic variables. In these approaches we are free to choose the set of alternatives. In Section 3.1 and Section 4.1 we have applied the mHF ELECTRE-I and HmF ELECTRE-I to the selection of a best brick for construction and site selection for farming purposes, which are not bound to deal with the multipolar information under any restriction. These approaches are used to discuss the wide range of problems having multipolar information with different properties or factors under hesitancy.
6. Conclusions
Author Contributions
Funding
Acknowledgments
Conflicts of Interest
Appendix A
| MATLAB Computer Programming Code |
|---|
| 1. clc |
| 2. n=input(‘no. of alternatives against mHF-sets or HmF-sets’); |
| 3. k=input(‘no.of criteria’); |
| 4. m=input(‘no. of poles’); |
| 5. r=input(‘no. of hesitation values’); |
| 6. Rr=(1:n);Cr=1:m∗r∗k;Cw=1:k;w_g=zeros(1,k); |
| 7. D= input(‘enter the mHF-sets or HmF-sets decision matrix nxkxm’); |
| 8. w=input(‘enter the weights’); |
| 9. W=zeros(n,m∗k);Sm=zeros(n,k);Y_uv=zeros(n,n∗k); Z_uv=zeros(n,n∗k); |
| 10. for p=1:n |
| 11. l=1; |
| 12. for Cr=1:m∗r∗k |
| 13. W(p,Cr)=D(p,Cr.*)w(l,1); |
| 14. if mod(Cr,m∗r)==0 |
| 15. l=l+1; |
| 16. end |
| 17. end |
| 18. end |
| 19. W |
| 20. for p=1:n |
| 21. l=1; |
| 22. for Cr=1:m∗r∗k |
| 23. Sm(p,l)=Sm(p,l)+W(p,Cr); |
| 24. if mod(Cr,m∗r)==0 |
| 25. l=l+1; |
| 26. end |
| 27. end |
| 28. end |
| 29. Q=Sm’ |
| 30. Q=Q(:)’; |
| 31. for p=1:n |
| 32. for j=1:k∗n |
| 33. l=mod(j,k); |
| 34. if l==0 |
| 35. l=k; |
| 36. end |
| 37. if Sm(p,l)≥ Q(1,j) |
| 38. Y_uv(p,j)=1; |
| 39. end |
| 40. if Sm(p,l)≤ Q(1,j) |
| 41. Z_uv(p,j)=1; |
| 42. end |
| 43. end |
| 44. end |
| 45. Y=zeros(n,n);fprintf(‘∖n concordance Set Y_uv =∖n’) |
| 46. for p=1:n |
| 47. v=0; |
| 48. for j=1:k∗n |
| 49. if mod(j,k)==1 |
| 50. v=v+1; |
| 51. end |
| 52. l=mod(j,k); |
| 53. if l==0 |
| 54. l=k; |
| 55. end |
| 56. if u==v |
| 57. if l==1 |
| 58. fprintf(‘ - ’) |
| 59. end |
| 60. elseif p∼=v |
| 61. if l==1 |
| 62. fprintf(‘ { ’) |
| 63. c=0; |
| 64. end |
| 65. if Y_uv(p,j)==1; |
| 66. c=c+1; |
| 67. fprintf(‘%d,’,l) |
| 68. end |
| 69. if l==k & c==0 |
| 70. fprintf(‘ ,’,l) |
| 71. end |
| 72. if l==k |
| 73. fprintf(‘∖b} ’) |
| 74. end |
| 75. end |
| 76. end |
| 77. fprintf(‘∖n’) |
| 78. end |
| 79. fprintf(‘∖n discordance Set Z_uv =∖n’) |
| 80. for u=1:n |
| 81. v=0; |
| 82. for j=1:k∗n |
| 83. if mod(j,k)==1 |
| 84. v=v+1; |
| 85. end |
| 86. l=mod(j,k); |
| 87. if l==0 |
| 88. l=k; |
| 89. end |
| 90. fprintf(‘∖nY=∖n’) |
| 91. for u=1:n |
| 92. for v=1:n |
| 93. if u==v |
| 94. fprintf(‘ - ’) |
| 95. else |
| 96. fprintf‘%.4f ’,Y(u,v)) |
| 97. end |
| 98. end |
| 99. fprintf(‘ ∖n ’) |
| 100. end |
| 101. fprintf(‘ ∖n Discordance Set =∖n’) |
| 102. for u=1:n |
| 103. v=0; |
| 104. for j=1:k∗n |
| 105. if mod(j,k)==1 |
| 106. v=v+1; |
| 107. end |
| 108. l=mod(j,k); |
| 109. if l==0 |
| 110. l=k; |
| 111. end |
| 112. if u==v |
| 113. if l==1 |
| 114. fprintf(‘ - ’) |
| 115. end |
| 116. else if u =v |
| 117. if l==1 |
| 118. fprintf( ‘ ’) |
| 119. c=0; |
| 120. end |
| 121. if (u,j)==1; |
| 122. c=c+1; |
| 123. fprintf(‘ %d, ’,l) |
| 124. end |
| 124. if l==k & c==0 |
| 126. fprintf(‘ , ’,l) |
| 127. end |
| 128. if l==k |
| 129. fprintf(‘ ’) |
| 130. end |
| 131. end |
| 132. end |
| 133. fprintf(‘%.4f ’,Y(u,v)) |
| 134. end |
| 135. end |
| 136. end |
| 137. fprintf(‘∖n ’) |
| 138. end |
| 139. z=zeros(n, 2,m∗r∗k); Cr=1:m∗r∗k; v=0; |
| 140. for u=1:n |
| 141. for q=1:n |
| 142. v=v+1; |
| 143. z(v,Cr)=(W(u,Cr)-W(j,Cr)). 2; |
| 144. end |
| 145. end |
| 146. A=zeros(n 2,k);g=0; s=0; C=zeros(n 2,1);B=zeros(n,k);Z1=zeros(n,n); |
| 147. for p=1:n 2 |
| 148. x=1; |
| 149. for Cr=1:m∗r∗k |
| 150. A(p,x)=A(p,x)+z(p,Cr); |
| 151. if mod(Cr,m∗)==0 |
| 152. x=x+1; |
| 153. end |
| 154. A(p,:)=sqrt(A(p,:)/m∗r); |
| 155. C(p,1)=max(A(p,:)); |
| 156. if mod(p,n)==1 |
| 157. g=g+1; |
| 158. end |
| 159. for f=1:k |
| 160. s=s+1; |
| 161. B(g,s)=A(p,f); |
| 162. end |
| 163. t=mod(p,n); |
| 164. if t==0 |
| 165. t=n; |
| 166. end |
| 167. Z1(g,t)=C(p,1); |
| 168. if mod(p,n)==0 |
| 169. s=0; |
| 170. end |
| 171. end |
| 172. D=zeros(n,n); |
| 173. for p=1:n |
| 174. q=0; |
| 175. for j=1:k∗n |
| 176. if mod(j,k)==1 |
| 177. q=q+1; |
| 178. end |
| 179. l=mod(j,k); |
| 180. if l==0 |
| 181. l=k; |
| 182. end |
| 183. if Z_uv(p,j)==1 |
| 184. D(p,q)=max(D(p,q),B(p,j)); |
| 185. end |
| 186. end |
| 187. end |
| 188. for u=1:n |
| 189. for v=1:n |
| 190. if u∼=v |
| 191. Z(u,v)=D(u,v)/Z1(u,v); |
| 192. end |
| 193. end |
| 194. end |
| 195. fprintf(‘∖nZ=∖n’) |
| 196. for u=1:n |
| 197. for v=1:n |
| 198. if u==v |
| 199. fprintf(‘ - ’) |
| 200. else |
| 201. fprintf(‘%.4f ’,Z(u,v)) |
| 202. end |
| 203. end |
| 204. fprintf(‘ ∖n ’) |
| 205. end |
| 206. a=sum(Y); b=sum(a); a1=sum(Z); b1=sum(a1); R=zeros(n,n);S=zeros(n,n); |
| 207. y_bar=b/(n∗(n-1)) |
| 208. z_bar=b1/(n∗(n-1)) |
| 209. for u=1:n |
| 210. for v=1:n |
| 211. if u∼=v |
| 212. if Y(u,v)≥ y_bar |
| 213. R(u,v)=1; |
| 214. end |
| 215. if Z(u,v)< z_bar |
| 216. S(u,v)=1; |
| 217. end |
| 218. end |
| 219. end |
| 220. end |
| 221. fprintf(‘∖nR=∖n’) |
| 222. for u=1:n |
| 223. for v=1:n |
| 224. if u==v |
| 225. fprintf(‘- ’) |
| 226. else |
| 227. fprintf(‘%d ’,R(u,v)) |
| 228. end |
| 229. end |
| 230. fprintf(‘ ∖n ’) |
| 231. end |
| 232. fprintf(‘∖nS=∖n’) |
| 233. for u=1:n |
| 234. for v=1:n |
| 235. if u==v |
| 236. fprintf(‘- ’) |
| 237. else |
| 238. fprintf(‘%d ’,S(u,v)) |
| 239. end |
| 240. end |
| 241. fprintf(‘∖n ’) |
| 242. end |
| 243. T=R. S; fprintf(‘∖nT=∖n’) |
| 243. for u=1:n |
| 244. for v=1:n |
| 245. if u==v |
| 246. fprintf(‘- ’) |
| 247. else |
| 248. fprintf(‘%d ’,T(u,v)) |
| 249. end |
| 250. end |
| 251. fprintf(‘ ∖n ’) |
| 252. end |
| 253. G=digraphs(T) |
| 254. plot(G) |
References
- Evangelos, T. Multi-Criteria Decision-Making Methods: A Comparative Study; Kluwer Academic Publishers: Dordrecht, The Netherlands, 2000. [Google Scholar]
- Zadeh, L.A. Fuzzy sets. Inf. Control 1965, 8, 338–353. [Google Scholar] [CrossRef]
- Zhang, W.R. Bipolar fuzzy sets and relations: A computational framework forcognitive modeling and multiagent decision analysis. In Proceedings of the Fuzzy Information Processing Society Biannual Conference, Industrial Fuzzy Control and Intelligent Systems Conference, and the NASA Joint Technology Workshop on Neural Networks and Fuzzy Logic, San Antonio, TX, USA, 18–21 December 1994; pp. 305–309. [Google Scholar]
- Torra, V.; Narukawa, Y. On hesitant fuzzy sets and decisions. In Proceedings of the International Conference on Fuzzy Systems, Jeju Island, Korea, 20–24 August 2009; Volume 1, pp. 1378–1382. [Google Scholar]
- Chen, J.; Li, S.; Ma, S.; Wang, X. m-Polar fuzzy sets: An extension of bipolar fuzzy sets. Sci. World J. 2014, 2014, 416530. [Google Scholar] [CrossRef]
- Adeel, A.; Akram, M.; Ahmad, I.; Nazar, K. Novel m-polar fuzzy linguistic ELECTRE-I method for group decision-making. Symmetry 2019, 11, 471. [Google Scholar] [CrossRef]
- Adeel, A.; Akram, M.; Alcantud, J.C.R. TOPSIS approach for MCGDM based on m-polar hesitant fuzzy sets. 2019; submitted. [Google Scholar]
- Akram, M.; Adeel, A. Novel TOPSIS method for group decision-making based on hesitant m-polar fuzzy model. J. Intell. Fuzzy Syst. 2019, in press. [Google Scholar] [CrossRef]
- Akram, M.; Ali, G.; Alshehri, N.O. A new multi-attribute decision-making method based on m-polar fuzzy soft rough sets. Symmetry 2017, 9, 271. [Google Scholar] [CrossRef]
- Akram, M.; Adeel, A. Novel hybrid decision-making methods based on mF rough information. Granul. Comput. 2018, 1–17. [Google Scholar] [CrossRef]
- Akram, M.; Ali, G.; Waseem, N.; Davvaz, B. Decision-making methods based on hybrid mF models. J. Intell. Fuzzy Syst. 2018, 35, 3387–3403. [Google Scholar] [CrossRef]
- Akram, M. m-Polar Fuzzy Graphs-Theory, Methods & Applications; Studies in Fuzziness and Soft Computing; Springer Nature: Basel, Switzerland, 2019; Volume 371, pp. 1–284. ISBN 978-3-030-03750-5. [Google Scholar]
- Torra, V. Hesitant fuzzy sets. Int. J. Intell. Syst. 2010, 25, 529–539. [Google Scholar] [CrossRef]
- Zhu, B.; Xu, Z.S.; Xu, J.P. Deriving a ranking from hesitant fuzzy preference relations under group decision making. IEEE Trans. Cybern. 2014, 44, 1328–1337. [Google Scholar] [CrossRef] [PubMed]
- Sun, G.; Guan, X.; Yi, X.; Zhou, Z. Grey relational analysis between hesitant fuzzy sets with applications to pattern recognition. Expert Syst. Appl. 2018, 92, 521–532. [Google Scholar] [CrossRef]
- Farhadinia, B. Hesitant fuzzy set lexicographical ordering and its application to multi-attribute decision-making. Inf. Sci. 2016, 327, 233–245. [Google Scholar] [CrossRef]
- Alcantud, J.C.R.; Torra, V. Decomposition theorems and extension principles for hesitant fuzzy sets. Inf. Fusion 2018, 41, 48–56. [Google Scholar] [CrossRef]
- Xia, M.M.; Xu, Z.S. Hesitant fuzzy information aggregation in decision-making. Int. J. Approx. Reason. 2011, 52, 395–407. [Google Scholar] [CrossRef]
- Xia, M.; Xu, Z.; Chen, N. Some hesitant fuzzy aggregation operators with their application in group decision-making. Group Decis. Negot. 2013, 22, 259–279. [Google Scholar] [CrossRef]
- Chen, N.; Xu, Z.; Xia, M. Interval-valued hesitant preference relations and their applications to group decision-making. Knowl.-Based Syst. 2013, 37, 528–540. [Google Scholar] [CrossRef]
- Xu, Z. Hesitant Fuzzy Sets Theory; Studies in Fuzziness and Soft Computing; Springer Nature: Basel, Switzerland, 2014; Volume 314. [Google Scholar]
- Pei, Z.; Yi, L. A note on operations of hesitant fuzzy sets. Int. J. Comput. Intell. Syst. 2015, 8, 226–239. [Google Scholar] [CrossRef]
- Chen, N.; Xu, Z.; Xia, M. Correlation coefficients of hesitant fuzzy sets and their applications to clustering analysis. Appl. Math. Model. 2013, 37, 2197–2211. [Google Scholar] [CrossRef]
- Ebrahimpour, M.K.; Eftekhari, M. Ensemble of feature selection methods: Ahesitant fuzzy sets approach. Appl. Soft Comput. 2017, 50, 300–312. [Google Scholar] [CrossRef]
- Qian, G.; Wang, H.; Feng, X. Generalized hesitant fuzzy sets and their application in decision support system. Knowl.-Based Syst. 2013, 37, 357–365. [Google Scholar] [CrossRef]
- Alcantud, J.C.R.; Giarlotta, A. Necessary and possible hesitant fuzzy sets: A novel model for group decision-making. Inf. Fusion 2019, 46, 63–76. [Google Scholar] [CrossRef]
- Mandal, P.; Ranadive, A.S. Hesitant bipolar-valued fuzzy sets and bipolar-valued hesitant fuzzy sets and their applications in multi-attribute group decision-making. Granul. Comput. 2018, 1–25. [Google Scholar] [CrossRef]
- Yu, D.; Wu, Y.; Zhou, W. Multi-criteria decision-making based on Choquet integral under hesitant fuzzy environment. J. Comput. Inf. Syst. 2011, 7, 4506–4513. [Google Scholar]
- Liu, J.; Sun, M. Generalized power average operator of hesitant fuzzy numbers and its application in multiple attribute decision making. J. Comput. Inf. Syst. 2013, 9, 3051–3058. [Google Scholar]
- Zhang, Z. Hesitant fuzzy power aggregation operators and their application to multiple attribute group decision-making. Inf. Sci. 2013, 234, 150–181. [Google Scholar] [CrossRef]
- Benayoun, R.; Roy, B.; Sussman, N. Manual de reference du programme electre. Note de Synthese et Formation 1966, 25, 79. [Google Scholar]
- Roy, B. Classement et choix en presence de points de vue multiples. Revue Franiaise d Informatique et de Recherche Operationnelle 1968, 2, 57–75. [Google Scholar] [CrossRef]
- Sevkli, M. An application of the fuzzy ELECTRE method for supplier selection. Int. J. Prod. Res. 2010, 48, 3393–3405. [Google Scholar] [CrossRef]
- Rouyendegh, B.D.; Erkan, T.E. An Application of the Fuzzy ELECTRE Method for Academic Staff Selection. Hum. Factors Ergon. Manuf. Serv. Ind. 2013, 23, 107–115. [Google Scholar] [CrossRef]
- Hatami-Marbini, A.; Tavana, M.; Moradi, M.; Kangi, F. A fuzzy group ELECTRE method for safety and health assessment in hazardous waste recycling facilities. Saf. Sci. 2013, 51, 414–426. [Google Scholar] [CrossRef]
- Kheirkhah, A.S.; Dehghani, A. The group fuzzy ELECTRE method to evaluate the quality of public transportation service. Int. J. Eng. Math. Comput. Sci. 2013, 1, 3. [Google Scholar]
- Hatami-Marbini, A.; Tavana, M. An extension of the ELECTRE-I method for group decision making under a fuzzy environment. Omega 2011, 39, 373–386. [Google Scholar] [CrossRef]
- Asghari, F.; Amidian, A.A.; Muhammadi, J.; Rabiee, H. A fuzzy ELECTRE approach for evaluating mobile payment business models. In Proceedings of the International Conference on Management of e-Commerce and e-Government, Chengdu, China, 23–24 October 2010; pp. 351–355. [Google Scholar]
- Aytac, E.; Tus-Isk, A.; Kundaki, N. Fuzzy ELECTRE-I method for evaluating catering firm alternatives. Edge Acad. Rev. 2011, 11, 125–134. [Google Scholar]
- Kaya, T.; Kahraman, C. An integrated fuzzy AHP-ELECTRE methodology for environmental impact assessment. Expert Syst. Appl. 2011, 38, 8553–8562. [Google Scholar] [CrossRef]
- Liao, H.C.; Yang, L.Y.; Xu, Z.S. Two new approaches based on ELECTRE II to solve the multiple criteria decision-making problems with hesitant fuzzy linguistic term sets. Appl. Soft Comput. 2018, 63, 223–234. [Google Scholar] [CrossRef]
- Lin, M.; Chen, Z.; Liao, H.; Xu, Z. ELECTRE II method to deal with probabilistic linguistic term sets and its application to edge computing. Nonlinear Dyn. 2019, 96, 2125–2143. [Google Scholar] [CrossRef]
- Liao, H.; Wu, X.; Mi, X.; Herrera, F. An integrated method for cognitive complex multiple experts multiple criteria decision making based on ELECTRE III with weighted Borda rule. Omega 2019. [Google Scholar] [CrossRef]
- Lupo, T. Fuzzy ServPerf model combined with ELECTRE-III to comparatively evaluate service quality of international airports in Sicily. J. Air Transp. Manag. 2015, 42, 249–259. [Google Scholar] [CrossRef]
- Akram, M.; Waseem, N.; Liu, P. Novel approach in decision-making with m-polar fuzzy ELECTRE-I. Int. J. Fuzzy Syst. 2018. [Google Scholar] [CrossRef]
- Akram, M.; Shumaiza Smarandache, F. Decision-making with bipolar neutrosophic topsis and bipolar neutrosophic ELECTRE-I. Axioms 2018, 7, 33. [Google Scholar] [CrossRef]
- Alghamdi, M.A.; Alshehria, N.O.; Akram, M. Multi-criteria decision-making methods in bipolar fuzzy environment. Int. J. Fuzzy Syst. 2018, 20, 2057–2064. [Google Scholar] [CrossRef]
- Vahdani, B.; Mousavi, S.M.; Tavakkoli-Moghaddam, R.; Hashemi, H. A new design of the elimination and choice translating reality method for multi-criteria group decision-making in an intuitionistic fuzzy environment. Appl. Math. Model. 2013, 37, 1781–1799. [Google Scholar] [CrossRef]
- Devi, K.; Yadav, S.P. A multicriteria intuitionistic fuzzy group decision making for plant location selection with ELECTRE method. Int. J. Adv. Manuf. Technol. 2013, 66, 1219–1229. [Google Scholar] [CrossRef]
- Vahdani, B.; Hadipour, H. Extension of the ELECTRE method based on interval-valued fuzzy sets. Soft Comput. 2011, 15, 569–579. [Google Scholar] [CrossRef]
- Wu, M.-C.; Chen, T.-Y. The ELECTRE multicriteria analysis approach based on Atanssovs intuitionistic fuzzy sets. Expert Syst. Appl. 2011, 38, 12318–12327. [Google Scholar] [CrossRef]
- Chen, N.; Xu, Z. Hesitant fuzzy ELECTRE-II approach: A new way to handle multi-criteria decision-making problems. Inf. Sci. 2015, 292, 175–197. [Google Scholar] [CrossRef]
- Chen, N.; Xu, Z.; Xia, M. The ELECTRE-I multi-criteria decision-making method based on hesitant fuzzy sets. Int. J. Inf. Technol. Decis.-Mak. 2015, 14, 621–657. [Google Scholar] [CrossRef]
- Wang, F.; Li, X.; Chen, X. Hesitant fuzzy soft set and its applications in multicriteria decision-making. J. Appl. Math. 2014, 2014, 643785. [Google Scholar] [CrossRef]
- Rouyendegh, B.D.; Erol, S. Selecting the best project using the fuzzy ELECTRE method. Math. Probl. Eng. 2012, 2012, 790142. [Google Scholar]
- Akram, M.; Adeel, A. TOPSIS approach for MAGDM based on interval-valued hesitant fuzzy N-soft environment. Int. J. Fuzzy Syst. 2019, 21, 993–1009. [Google Scholar] [CrossRef]
- Xu, D.-L. An introduction and survey of the evidential reasoning approach for multiple criteria decision analysis. Ann. Oper. Res. 2012, 195, 163–187. [Google Scholar] [CrossRef]
- Xu, Z.S.; Xia, M.M. Distance and similarity measures for hesitant fuzzy sets. Inf. Sci. 2011, 181, 2128–2138. [Google Scholar] [CrossRef]
- Zhang, S.; Xu, Z.; He, Y. Operations and integrations of probabilistic hesitant fuzzy information in decision-making. Inf. Fusion 2017, 38, 1–11. [Google Scholar] [CrossRef]
- Rodri guez, R.; Bedregal, B.; Bustince, H.; Dong, Y.; Farhadinia, B.; Kahraman, C.; Nez, L.M.; Torra, V.; Xu, Y.; Xu, Z.; et al. A position and perspective analysis of hesitant fuzzy sets on information fusion in decision-making, towards high quality progress. Inf. Fusion 2016, 29, 89–97. [Google Scholar] [CrossRef]


| Alternatives | Criteria | |||
|---|---|---|---|---|
| ⋯ | ||||
| ⋯ | ||||
| ⋯ | ||||
| ⋮ | ⋮ | ⋮ | ⋮ | ⋮ |
| ⋯ | ||||
| Bricks | Physical Properties | ||
|---|---|---|---|
| Shape | Size and Color | Density | |
| Bricks | Mechanical Properties | ||
| Compressive Strength | Flexure Strength | Slenderness Ratio | |
| Bricks | Durability | ||
| Absorption Value | Frost Resistance | Efflorescence | |
| Bricks | Physical Properties | ||
|---|---|---|---|
| Shape | Size and Color | Density | |
| Bricks | Mechanical Properties | ||
| Compressive Strength | Flexure Strength | Slenderness Ratio | |
| Bricks | Durability | ||
| Absorption Value | Frost Resistance | Efflorescence | |
| Bricks | Physical Properties with Weight 0.234 | ||
|---|---|---|---|
| Shape | Size and Color | Density | |
| Bricks | Mechanical Properties with Weight 0.395 | ||
| Compressive Strength | Flexure Strength | Slenderness Ratio | |
| Bricks | Durability with Weight 0.371 | ||
| Absorption Value | Frost Resistance | Efflorescence | |
| v | 1 | 2 | 3 | 4 | 5 | 6 |
|---|---|---|---|---|---|---|
| − | ||||||
| − | ||||||
| − | ||||||
| − | ||||||
| − | ||||||
| − |
| v | 1 | 2 | 3 | 4 | 5 | 6 |
|---|---|---|---|---|---|---|
| − | ||||||
| − | ||||||
| − | ||||||
| − | ||||||
| − | ||||||
| − |
| Comparison of CS of Bricks | ||||||||
|---|---|---|---|---|---|---|---|---|
| 1 | 1 | 1 | ||||||
| 0 | 1 | 0 | 0 | 0 | Incomparable | |||
| 0 | 1 | 0 | Incomparable | |||||
| 0 | 1 | 0 | 0 | 0 | Incomparable | |||
| 0 | 1 | 0 | 0 | 0 | Incomparable | |||
| 1 | 0 | 0 | 0 | Incomparable | ||||
| 1 | 0 | 0 | 0 | Incomparable | ||||
| 1 | 0 | 0 | 0 | Incomparable | ||||
| 1 | 0 | 0 | 0 | Incomparable | ||||
| 1 | 0 | 0 | 0 | Incomparable | ||||
| 1 | 0 | 1 | 1 | 1 | ||||
| 1 | 1 | 1 | ||||||
| 1 | 0 | 1 | 1 | 1 | ||||
| 1 | 1 | 0 | 0 | Incomparable | ||||
| 1 | 0 | 1 | 1 | 1 | ||||
| 1 | 1 | 0 | 0 | Incomparable | ||||
| 1 | 1 | 1 | ||||||
| 0 | 1 | 0 | 0 | 0 | Incomparable | |||
| 1 | 0 | 0 | 0 | Incomparable | ||||
| 0 | 1 | 0 | 0 | 0 | Incomparable | |||
| 1 | 0 | 1 | 1 | 1 | ||||
| 1 | 0 | 0 | Incomparable | |||||
| 0 | 0 | 0 | Incomparable | |||||
| 1 | 1 | 1 | ||||||
| 0 | 0 | 0 | Incomparable | |||||
| 1 | 0 | 1 | 1 | 1 | ||||
| 1 | 1 | 1 | ||||||
| 0 | 1 | 0 | 0 | 0 | Incomparable | |||
| 1 | 0 | 1 | 1 | 1 | ||||
| 1 | 1 | 0 | 0 | Incomparable |
| Alternatives | Hesitant m-Polar Fuzzy Criteria | |||
|---|---|---|---|---|
| ⋯ | ||||
| ⋯ | ||||
| ⋯ | ||||
| ⋮ | ⋮ | ⋮ | ⋮ | ⋮ |
| ⋯ | ||||
| Sites | H4F Factor as Criteria |
|---|---|
| Climatic Factors | |
| Sites | H4F Factor as Criteria |
| Socio-Economic Factors | |
| Sites | H4F Factor as Criteria |
| Edaphic Factors | |
| Sites | H4F Factor as Criteria |
| Essential Factors | |
| Sites | H4F Factor as Criteria |
|---|---|
| Climatic Factors | |
| Sites | H4F Factor as Criteria |
| Socio-Economic Factors | |
| Sites | H4F Factor as Criteria |
| Edaphic Factors | |
| Sites | H4F Factor as Criteria |
| Essential Factors | |
| Sites | H4F Factor as Criteria with Weight 0.2501 |
|---|---|
| Climatic Factors | |
| Sites | H4F Factor as Criteria with Weight 0.2458 |
| Socio-Economic Factors | |
| Sites | H4F Factor as Criteria with Weight 0.2633 |
| Edaphic Factors | |
| Sites | H4F Factor as Criteria with Weight 0.2408 |
| Essential Factors | |
| v | 1 | 2 | 3 | 4 | 5 |
|---|---|---|---|---|---|
| − | |||||
| − | |||||
| − | |||||
| − | |||||
| − |
| v | 1 | 2 | 3 | 4 | 5 |
|---|---|---|---|---|---|
| − | |||||
| − | |||||
| − | |||||
| − | |||||
| − |
| Comparison of CS of Bricks | ||||||||
|---|---|---|---|---|---|---|---|---|
| 1 | 0 | 1 | 0 | Incomparable | ||||
| 1 | 0 | 1 | 0 | Incomparable | ||||
| 1 | 0 | 1 | 0 | Incomparable | ||||
| 1 | 0 | 1 | 0 | Incomparable | ||||
| 1 | 1 | 1 | ||||||
| 0 | 1 | 0 | Incomparable | |||||
| 0 | 1 | 0 | Incomparable | |||||
| 0 | 1 | 0 | Incomparable | |||||
| 1 | 1 | 1 | ||||||
| 1 | 1 | 1 | 1 | |||||
| 1 | 1 | 1 | 1 | |||||
| 1 | 1 | 1 | 1 | |||||
| 1 | 1 | 1 | ||||||
| 1 | 1 | 1 | 1 | |||||
| 0 | 1 | 0 | Incomparable | |||||
| 1 | 0 | 1 | 0 | Incomparable | ||||
| 1 | 1 | 1 | ||||||
| 1 | 1 | 1 | 1 | |||||
| 0 | 1 | 0 | Incomparable | |||||
| 1 | 1 | 1 |
© 2019 by the authors. Licensee MDPI, Basel, Switzerland. This article is an open access article distributed under the terms and conditions of the Creative Commons Attribution (CC BY) license (http://creativecommons.org/licenses/by/4.0/).
Share and Cite
Adeel, A.; Akram, M.; Koam, A.N.A. Multi-Criteria Decision-Making under mHF ELECTRE-I and HmF ELECTRE-I. Energies 2019, 12, 1661. https://doi.org/10.3390/en12091661
Adeel A, Akram M, Koam ANA. Multi-Criteria Decision-Making under mHF ELECTRE-I and HmF ELECTRE-I. Energies. 2019; 12(9):1661. https://doi.org/10.3390/en12091661
Chicago/Turabian StyleAdeel, Arooj, Muhammad Akram, and Ali N.A. Koam. 2019. "Multi-Criteria Decision-Making under mHF ELECTRE-I and HmF ELECTRE-I" Energies 12, no. 9: 1661. https://doi.org/10.3390/en12091661
APA StyleAdeel, A., Akram, M., & Koam, A. N. A. (2019). Multi-Criteria Decision-Making under mHF ELECTRE-I and HmF ELECTRE-I. Energies, 12(9), 1661. https://doi.org/10.3390/en12091661

