Flow Boiling Heat Transfer Characteristics in Horizontal, Three-Dimensional Enhanced Tubes
Abstract
1. Introduction
2. Experimental Procedure
2.1. Test Apparatus
2.2. Experimental Test Conditions
3. Data Reduction and Uncertainty Analysis
3.1. Data Reduction
3.2. Experimental Uncertainty Analysis
4. Results and Discussion
4.1. Single-Phase Heat Transfer
4.2. Flow Pattern Analysis
4.3. Flow Boiling Heat Transfer Coefficient
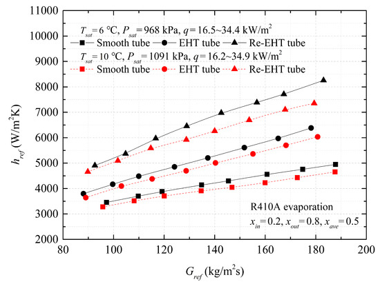
4.4. Effect of Saturation Temperature on Flow Boiling Heat Transfer Characteristics
4.5. Evaluation of Flow Boiling Heat Transfer Correlations
4.6. Performance Factor
5. Conclusions
- Intermittent/annular flows could be the major flow patterns over the entire experimental range for R134A and R410A flow boiling in the enhanced tubes in this study (as shown in Wojtan et al.’s map [29]).
- The boiling heat transfer coefficients increase with the increasing mass flux. Two enhanced tubes present better heat transfer performance than the smooth tube. This can be attributed to the complex two-layer surface structures of enhanced tubes. The dimples/protrusions enhance the in-tube heat transfer by increasing heat transfer surface area, promoting the interfacial turbulence, providing more nucleation sites and destroying the boundary layer.
- An increase in heat transfer coefficient is found at a lower saturation temperature, in view of the fact that the gas-liquid interfacial and wall shear stresses are weakened as the saturation temperature increases.
- Boiling heat transfer coefficients are evaluated using the four widely-used correlations. The correlations of Wojtan et al. [38] and Liu and Winterton [35] show a good predictive ability. Considering the effect of the surface roughness, an optimization model was presented, which can predict all data points within a ± 10% error band.
- The enhanced tubes showed a good performance factor. Hence, the dimples/protrusions and petal arrays are the effective surface structures for enhancing the tube-side evaporation. The Re-EHT tube has the largest potential for boiling heat-transfer enhancement.
Author Contributions
Funding
Conflicts of Interest
Nomenclature
| Ac | cross sectional area, m2 |
| Ai | inner surface area of test tube, m2 |
| Ao | outer surface area of test tube, m2 |
| Bo | Boiling number, [-] |
| cp | specific heat, J/(kg·K) |
| C | enhancement factor, [-] |
| Co | convective number, [-] |
| di | inner diameter of test tube, m |
| do | outer diameter of test tube, m |
| dh | hydraulic diameter, m |
| E | enhancement factor, [-] |
| f | Fanning friction factor, [-] |
| Fr | Froude number, [-] |
| G | mass flux, kg/(m2s) |
| h | heat transfer coefficient, W/(m2·K) |
| hlv | latent heat of vaporization, J/kg |
| k | thermal conductivity, W/(m·K) |
| L | tube length, m |
| LMTD | logarithmic mean temperature, K |
| m | mass flow rate, kg/s |
| M | molecular weight, g/mol |
| Pw | wetted perimeter, m |
| PF | performance factor, [-] |
| Pr | Prandtl number, [-] |
| Pr | reduce pressure, [-] |
| Q | heat transfer amount, W |
| q | heat flux, W/m2 |
| r | bubble radius, m |
| Rp | surface roughness, m |
| Re | Reynolds number, [-] |
| S | suppression factor, [-] |
| T | temperature, K |
| U | total heat transfer coefficient, W/(m2·K) |
| x | vapor quality, [-] |
| xIA | Transition quality from intermittent flow to annular flow, [-] |
| Xtt | Martinelli parameter, [-] |
| σ | surface tension, N/m |
| μ | dynamic viscosity, Pa·s |
| θ | angle, [º] |
| ρ | density, kg/m3 |
| ε | void fraction, [-] |
| δ | liquid film thickness, m |
| ave | average |
| cal | calculation |
| cb | convective boiling |
| dry | dry-out |
| e | enhanced |
| exp | experiment |
| i | inner |
| in | inlet |
| l | liquid phase |
| lat | latent heat |
| nb | nucleate boiling |
| o | outer |
| ONB | onset of nucleate boiling |
| out | outlet |
| pre | Preheating section |
| ref | refrigerant |
| s | smooth |
| sat | saturated |
| sens | sensible heat |
| tp | two-phase |
| ts | test section |
| v | vapor phase |
| wall | tube wall |
| w | water |
References
- Yu, M.H.; Lin, T.K.; Tseng, C.C. Heat transfer and flow pattern during two-phase flow boiling of R-134a in horizontal smooth and microfin tubes. Int. J. Refrig. 2002, 25, 789–798. [Google Scholar] [CrossRef]
- Spindler, K.; Müller-Steinhagen, H. Flow boiling heat transfer of R134a and R404A in a microfin tube at low mass fluxes and low heat fluxes. Heat Mass Transf. 2009, 45, 967–977. [Google Scholar] [CrossRef]
- Rollmann, P.; Spindler, K. New models for heat transfer and pressure drop during flow boiling of R407C and R410A in a horizontal microfin tube. Int. J. Therm. Sci. 2016, 103, 57–66. [Google Scholar] [CrossRef]
- Padovan, A.; Col, D.D.; Rossetto, L. Experimental study on flow boiling of R134a and R410A in a horizontal microfin tube at high saturation temperatures. Appl. Therm. Eng. 2011, 31, 3814–3826. [Google Scholar] [CrossRef]
- Celen, A.; Çebi, A.; Ahmet, S.D. Experimental investigation of flow boiling heat transfer characteristics of R134a flowing in smooth and microfin tubes. Int. Commun. Heat Mass Transf. 2018, 93, 21–33. [Google Scholar] [CrossRef]
- Wu, Z.; Wu, Y.; Sundén, B.; Li, W. Convective vaporization in micro-fin tubes of different geometries. Exp. Therm. Fluid Sci. 2013, 44, 398–408. [Google Scholar] [CrossRef]
- Kukulka, D.J.; Smith, R.; Fuller, K.G. Development and evaluation of enhanced heat transfer tubes. Appl. Therm. Eng. 2011, 31, 2141–2145. [Google Scholar] [CrossRef]
- Kukulka, D.J.; Yan, H.; Smith, R.; Li, W. Condensation and evaporation characteristics of flows inside three dimensional Vipertex enhanced heat transfer tubes. Chem. Eng. Trans. 2017, 61, 1777–1782. [Google Scholar]
- Kukulka, D.J.; Smith, R.; Li, W.; Zhang, A.; Yan, H. Condensation and evaporation characteristics of flows inside Vipertex 1EHT and 4EHT small diameter enhanced heat transfer tubes. Chem. Eng. Trans. 2018, 70, 13–18. [Google Scholar]
- Guo, S.P.; Wu, Z.; Li, W.; Kukulka, D.J.; Sundén, B.; Zhou, X.P.; Wei, J.J.; Simon, T. Condensation and evaporation heat transfer characteristics in horizontal smooth, herringbone and enhanced surface EHT tubes. Int. J. Heat Mass Transf. 2015, 85, 281–291. [Google Scholar] [CrossRef]
- Li, W.; Chen, J.X.; Zhu, H.; Kukulka, D.J.; Minkowycz, W.J. Experimental study on condensation and evaporation flow inside horizontal three dimensional enhanced tubes. Int. Commun. Heat Mass Transf. 2017, 80, 30–40. [Google Scholar] [CrossRef]
- Chen, J.; Li, W. Local flow boiling heat transfer characteristics in three-dimensional enhanced tubes. Int. J. Heat Mass Transf. 2018, 121, 1021–1032. [Google Scholar] [CrossRef]
- Shafaee, M.; Mashouf, H.; Sarmadian, A.; Mohseni, S.G. Evaporation heat transfer and pressure drop characteristics of R-600a in horizontal smooth and helically dimpled tubes. Appl. Therm. Eng. 2016, 107, 28–36. [Google Scholar] [CrossRef]
- Ayub, Z.H.; Ayub, A.H.; Ribatski, G.; Moreira, T.A.; Khan, T.S. Two-phase pressure drop and flow boiling heat transfer in an enhanced dimpled tube with a solid round rod insert. Int. J. Refrig. 2017, 75, 1–13. [Google Scholar] [CrossRef]
- Kundu, A.; Kumar, R.; Gupta, A. Heat transfer characteristics and flow pattern during two-phase flow boiling of R134a and R407C in a horizontal smooth tube. Exp. Therm. Fluid Sci. 2014, 57, 344–352. [Google Scholar] [CrossRef]
- Lillo, G.; Mastrullo, R.; Mauro, A.W.; Viscito, L. Flow boiling of R32 in a horizontal stainless steel tube with 6.00 mm ID. Experiments, assessment of correlations and comparison with refrigerant R410A. Int. J. Refrig. 2018. [Google Scholar] [CrossRef]
- Greco, A.; Vanoli, G.P. Flow-boiling of R22, R134a, R507, R404A and R410A inside a smooth horizontal tube. Int. J. Refrig. 2005, 28, 872–880. [Google Scholar] [CrossRef]
- Li, W.; Wu, Z. A general criterion for evaporative heat transfer in micro/mini-channels. Int. J. Heat Mass Transf. 2010, 53, 1778–1787. [Google Scholar] [CrossRef]
- Jige, D.; Sagawa, K.; Inoue, N. Effect of tube diameter on boiling heat transfer and flow characteristic of refrigerant R32 in horizontal small-diameter tubes. Int. J. Refrig. 2017, 76, 206–218. [Google Scholar] [CrossRef]
- Saitoh, S.; Daiguji, H.; Hihara, E. Correlation for boiling heat transfer of R-134a in horizontal tubes including effect of tube diameter. Int. J. Heat Mass Transf. 2007, 50, 5215–5225. [Google Scholar] [CrossRef]
- Chen, J.C. Correlation for boiling heat transfer to saturated fluids in convective flow. Ind. Eng. Chem. Process Des. Dev. 1966, 5, 322–329. [Google Scholar] [CrossRef]
- Saisorn, S.; Wongpromma, P.; Wongwises, S. The difference in flow pattern, heat transfer and pressure drop characteristics of mini-channel flow boiling in horizontal and vertical orientations. Int. J. Multiph. Flow 2018, 101, 97–112. [Google Scholar] [CrossRef]
- Gnielinski, V. New equations for heat and mass transfer in turbulent pipe and channel Flow. Int. Chem. Eng. 1976, 16, 359–368. [Google Scholar]
- Petukhov, B.S. Heat transfer and friction in turbulent pipe flow with variable physical properties. Adv. Heat Transf. 1970, 6, 503–564. [Google Scholar]
- José Fernández-Seara Francisco, J.; Uhía Sieres, J.; Campo, A. A general review of the Wilson plot method and its modifications to determine convection coefficients in heat exchange devices. Appl. Therm. Eng. 2007, 27, 2745–2757. [Google Scholar] [CrossRef]
- Lemmon, E.W.; Huber, M.L.; Mclinden, M.O. NIST Standard Reference Database 23, Reference Fluid Thermodynamic and Transport Properties—REFPROP, Version 9.0, Standard Reference Data Program; National Institute of Standards and Technology: Gaithersburg, MD, USA, 2010.
- Moffat, R.J. Describing the uncertainties in experimental results. Exp. Therm. Fluid Sci. 1988, 1, 3–17. [Google Scholar] [CrossRef]
- Dittus, F.W.; Boelter LM, K. Heat transfer in automobile radiators of the tubular type. Int. Commun. Heat Mass Transf. 1985, 12, 3–22. [Google Scholar] [CrossRef]
- Wojtan, L.; Ursenbacher, T.; Thome, J.R. Investigation of flow boiling in horizontal tubes: Part I—A new diabatic two-phase flow pattern map. Int. J. Heat Mass Transf. 2005, 48, 2955–2969. [Google Scholar] [CrossRef]
- Kattan, N.; Thome, J.R.; Favrat, D. Flow boiling in horizontal tubes. Part 1—development of a diabatic two-phase flow pattern map. J. Heat Transf. 1998, 120, 140–147. [Google Scholar] [CrossRef]
- Singh, A.; Ohadi, M.M.; Dessiatoun, S. Flow boiling heat transfer coefficients of R-134a in a microfin tube. J. Heat Transf. 1996, 118, 497–499. [Google Scholar] [CrossRef]
- Mashouf, H.; Shafaee, M.; Sarmadian, A.; Mohseni, S.G. Visual study of flow patterns during evaporation and condensation of R-600a inside horizontal smooth and helically dimpled tubes. Appl. Therm. Eng. 2017, 124, 1392–1400. [Google Scholar] [CrossRef]
- Steiner, D.; Taborek, J. Flow boiling heat transfer in vertical tubes correlated by an asymptotic model. Heat Transf. Eng. 1992, 13, 43–69. [Google Scholar] [CrossRef]
- Lima RJ, D.S.; Jesús Moreno Quibén Thome, J.R. Flow boiling in horizontal smooth tubes: New heat transfer results for R-134a at three saturation temperatures. Appl. Therm. Eng. 2009, 29, 1289–1298. [Google Scholar] [CrossRef]
- Liu, Z.; Winterton RH, S. A general correlation for saturated and subcooled flow boiling in tubes and annuli, based on a nucleate pool boiling equation. Int. J. Heat Mass Transf. 1991, 34, 2759–2766. [Google Scholar] [CrossRef]
- Gungor, K.E.; Winterton, R.H.S. A general correlation for flow boiling in tubes and annuli. Int. J. Heat Mass Transf. 1986, 29, 351–358. [Google Scholar] [CrossRef]
- Kandlikar, S.G. A general correlation for saturated two-phase flow boiling heat transfer inside horizontal and vertical tubes. J. Heat Transf. 1990, 112, 219–228. [Google Scholar] [CrossRef]
- Wojtan, L.; Ursenbacher, T.; Thome, J.R. Investigation of flow boiling in horizontal tubes: Part II—Development of a new heat transfer model for stratified-wavy, dryout and mist flow regimes. Int. J. Heat Mass Transf. 2005, 48, 2970–2985. [Google Scholar] [CrossRef]
- Cooper, M.G. Saturated nucleate pool boiling: A simple correlation. Inst. Chem. Eng. Symp. Ser. 1984, 86, 785–792. [Google Scholar]















| Refrigerant | R134A (Pure Refrigerant) | R410A (Near-Azeotropic Refrigerant) | |
|---|---|---|---|
| Composition | C2H2F4 | R32, R125, 50/50 (weight percent) | |
| ASHRAE safety | A1 | A1 | |
| ODP | 0 | 0 | |
| GWP | 1430 | 2100 | |
| Molecular | 102 | 72.6 | |
| Pc (kPa) | 4066 | 4950 | |
| Tc (°C) | 101.1 | 72.5 | |
| Saturation Properties of Refrigerants | |||
| Tsat | 6 °C | 6 °C | 10 °C |
| Psar (kPa) | 361.98 | 965.29 | 1088.4 |
| Pr (-), Psar/Pc | 0.089 | 0.195 | 0.220 |
| ρl (kg/m3) | 1274.7 | 1145.4 | 1128.4 |
| ρv (kg/m3) | 17.72 | 36.35 | 41.177 |
| μl (Pa·s) | 2.47 × 10−4 | 1.50 × 10−4 | 1.43 × 10−4 |
| μv (Pa·s) | 1.09 × 10−5 | 1.25 × 10−5 | 1.27 × 10−5 |
| kl (W/m·K) | 0.089 | 0.100 | 0.097 |
| Prl | 3.753 | 1.183 | 2.315 |
| σ (N/m) | 0.01060 | 0.00813 | 0.00753 |
| hlv (kJ/kg) | 194 | 219 | 213 |
| Authors | Tube | do (mm) | Refrigerant | G (kg/m2s) | q (kW/m2) | x (-) |
|---|---|---|---|---|---|---|
| Yu te al. [1] | Smooth tube/Micro-fin tube | 10.7 | R134A | 163–408 | 2.2–56 | 0.1–0.9 |
| Spindler and Müller-Steinhagen [2] | Micro-fin tube | 9.52 | R134A/R404A | 25–150 | 1–15 | 0.1–0.7 |
| Rollmann and Spindler [3] | Micro-fin tube | 9.52 | R407C/R410A | 25–300 | 1–20 | 0.1–1.0 |
| Padovan et al. [4] | Micro-fin tube | 7.69 | R134A/R410A | 80–600 | 14–83.5 | 0.1–0.99 |
| Celen et al. [5] | Smooth tube/Micro-fin tube | 9.52 | R134A | 190–381 | 10 | 0.2–0.77 |
| Wu et al. [6] | Micro-fin tube | 5.00 | R22/R410A | 100–620 | 5–31 | 0.1–0.8 |
| Kukulka et al. [8] | 1EHT tube/3EHT tube | 12.7 | R410A | 80–180 | - | 0.2–0.9 |
| Kukulka et al. [9] | 1EHT tubes/4EHT tube | 9.52 | R410A | 160–390 | - | 0.2–0.8 |
| Guo et al. [10] | Smooth tube/Herringbone micro-fin tube/1EHTtube | 12.7 | R22/R32/R410A | 50–150 | 13.9–36 | 0.1–0.9 |
| Li and Chen [11,12] | Smooth tube/2EHT tube | 12.7 | R410A | 60–175 | - | 0.1–0.9 |
| Shafaee et al. [13] | Smooth tube/Helical dimpled tube | 9.45 | R600a | 155–470 | 15.8 | 0–0.8 |
| Ayub et al. [14] | Enhanced dimpled tube | 19.05 | R134A | 80–200 | 2.5–15 | 0.12–0.72 |
| Kundu et al. [15] | Smooth tube | 9.52 | R134A/R407C | 100–400 | 3–10 | 0.1–0.9 |
| Lillo et al. [16] | Smooth tube | 6.00 | R32 | 146–507 | 2.4–41.2 | 0.02–0.99 |
| Greco and Vanoli [17] | Smooth tube | 6.00 | R22/R134A/R507C/R404A/R410A | 360 | 11–21 | 0–1 |
| Jije et al. [19] | Horizontal small-diameter tube | 1.00/2.20/3.50 | R32 | 50–600 | 5–40 | 0–1 |
| Saitoh et al. [20] | Horizontal circular mini-channel | 1.75 | R134A | 200–1000 | 1–83 | 0–1 |
| Sira et al. [22] | Horizontal and vertical mini-channels | 1.00 | R134A | 250–820 | 1–60 | 0.1–0.9 |
| Tube Type | EHT Tube | Re-EHT Tube | Smooth Tube |
|---|---|---|---|
| Inside diameter of inner tube di (mm) | 11.5 | ||
| Outside diameter of inner tube do (mm) | 12.7 | ||
| Average wall thickness (mm) | 0.6 | ||
| Height of dimple/protrusion (mm) | 1.71 | 1.81 | - |
| Projection diameter (mm) | 4.4 | 4.0 | - |
| Dimpled/protruded pitch (mm) | 9.86 | 9.86 | - |
| Helix angle, deg | 60 | 60 | - |
| Ratio of actual heat transfer area, AE/AS | 1.20 | 1.34 | 1 |
| Inside diameter of outer tube Di (mm) | 17.0 | ||
| Tube length L (m) | 2.0 | ||
| Tube material | Copper | ||
| Thermal conductivity (W/m2·K) | 379 | ||
| Parameters | Range | |
|---|---|---|
| Refrigerant | R134A | R410A |
| Saturation temperature Tsat, (°C) | 6 | |
| Refrigerant mass velocity G, (kg/m2s) | 70–200 | |
| Heat flux q, (kW/m2) | 10–40 | |
| Inlet vapor quality xin | 0.2 | |
| Outlet vapor quality xout | 0.8 | |
| Measured Parameters | Uncertainty |
|---|---|
| Diameter | ±0.05 mm |
| Length | ±0.5 mm |
| Temperature | ±0.1 K |
| Pressure, range: 0–5000 kPa | ±0.075% of full scale |
| Differential pressure, range: 0–50 kPa | ±0.075% of full scale |
| Refrigerant mass flow rate, range: 0–120 kg/h | ±0.2% of reading |
| Water mass flow rate, range: 0–600 kg/h | ±0.2% of reading |
| Calculated Parameters | Uncertainty |
| Mass velocity G, (kg/m2s) | ±1.17% |
| Heat flux q (kW/m2) | ±2.64% |
| Vapor quality x | ±3.96% |
| Heat transfer coefficient h (W/m2K) | ±8.34% |
© 2019 by the authors. Licensee MDPI, Basel, Switzerland. This article is an open access article distributed under the terms and conditions of the Creative Commons Attribution (CC BY) license (http://creativecommons.org/licenses/by/4.0/).
Share and Cite
Sun, Z.-C.; Ma, X.; Ma, L.-X.; Li, W.; Kukulka, D.J. Flow Boiling Heat Transfer Characteristics in Horizontal, Three-Dimensional Enhanced Tubes. Energies 2019, 12, 927. https://doi.org/10.3390/en12050927
Sun Z-C, Ma X, Ma L-X, Li W, Kukulka DJ. Flow Boiling Heat Transfer Characteristics in Horizontal, Three-Dimensional Enhanced Tubes. Energies. 2019; 12(5):927. https://doi.org/10.3390/en12050927
Chicago/Turabian StyleSun, Zhi-Chuan, Xiang Ma, Lian-Xiang Ma, Wei Li, and David J. Kukulka. 2019. "Flow Boiling Heat Transfer Characteristics in Horizontal, Three-Dimensional Enhanced Tubes" Energies 12, no. 5: 927. https://doi.org/10.3390/en12050927
APA StyleSun, Z.-C., Ma, X., Ma, L.-X., Li, W., & Kukulka, D. J. (2019). Flow Boiling Heat Transfer Characteristics in Horizontal, Three-Dimensional Enhanced Tubes. Energies, 12(5), 927. https://doi.org/10.3390/en12050927

