Flicker of Modern Lighting Technologies Due to Rapid Voltage Changes
Abstract
1. Introduction
2. Characterization of RVCs and Their Effect on Flicker
2.1. Flicker Measurement Method
2.2. RVC Measurement Method
2.3. Flicker Due to RVCs
3. Materials and Methods
Experimental Setup
4. Results
4.1. Set of Recorded Signals
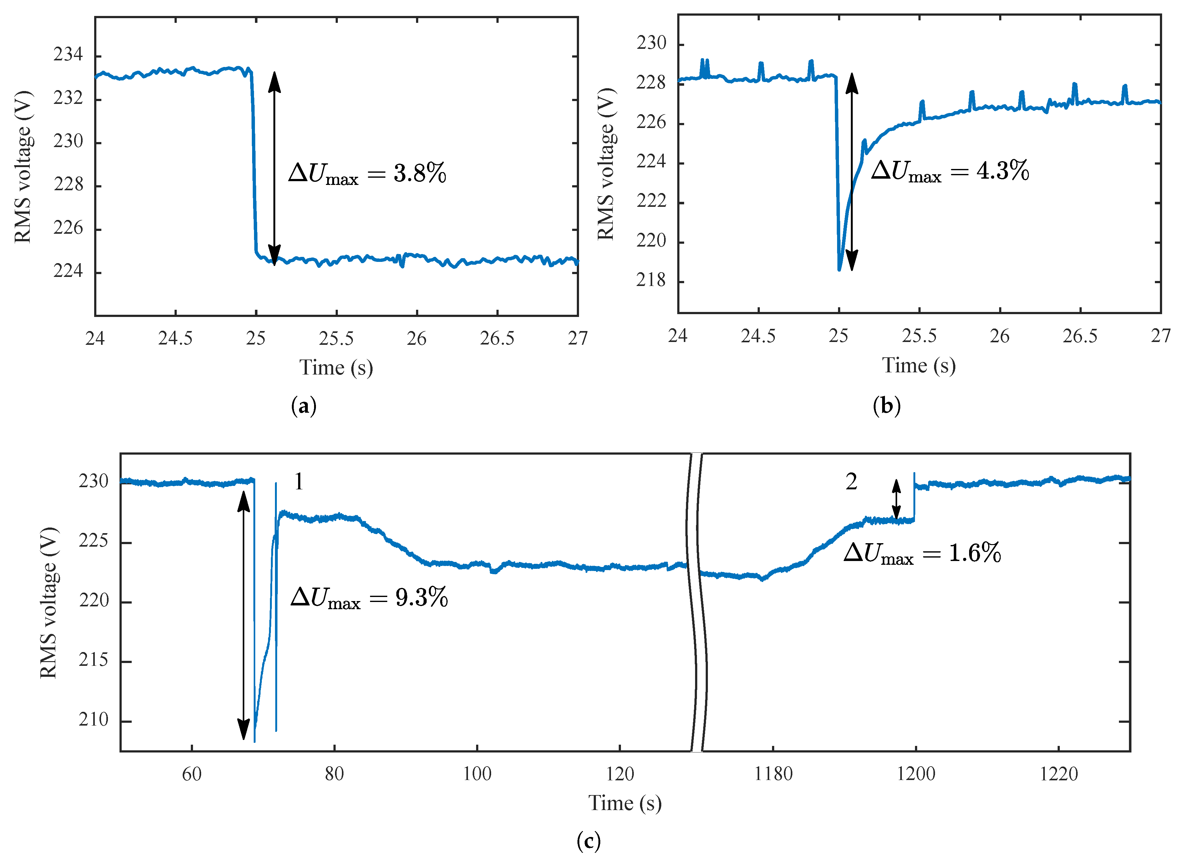
- Site 1: A small urban area, far from big industrial loads, that can reach 100,000 inhabitants during tourist season among residents and visitors. The whole set of measurements, which lasted nine days, showed flicker severity values above the irritability threshold, with . Flicker severity has been found above the limit 67% of the time. Figure 4a shows an example of an RVC measured in Site 1.
- Site 2: A rural area with low population density but close to several arc furnaces, which cause flicker severity values sensibly above the irritability threshold, with . The measurement campaign lasted five days and the value has been found above the irritability threshold 77% of the time. Figure 4b shows an example of an RVC measured in Site 2.
- Site 3: Several pumping stations for public water supply constitute the third group of measurements. These sites allowed for measuring close to loads that are known to cause RVCs. Three pumping stations have been selected for the measurements, with different types of pumps connected: with soft starter, with star delta starter and without starter. Pumps with a variable-frequency drive were also measured, but no RVCs were detected for this configuration. Measurements have been performed at LV level. The pumps’ start up was produced upon the request for measurement purposes. Figure 4c shows the RMS voltage of a pump equipped with a star delta starter. Points 1 and 2 in Figure 4c indicate, respectively, the controlled start and stop of the pump.
4.2. Characteristic of the Detected RVCs
4.3. Response of Lighting Technologies to RVCs
5. Discussion
6. Conclusions
Author Contributions
Funding
Conflicts of Interest
References
- International Electrotechnical Vocabulary—Part 614: Generation, Transmission and Distribution of Electricity—Operation; IEC 60050-614; International Electrotechnical Commission (IEC): Geneva, Switzerland, 2016.
- Electromagnetic Compatibility (EMC)—Part 4-15: Testing and Measurement Techniques—Flickermeter—Functional and Design Specifications; IEC 61000-4-15 Ed.2; International Electrotechnical Commission (IEC): Geneva, Switzerland, 2010.
- Electromagnetic Compatibility (EMC)—Part 3-7: Limits—Assessment of Emission Limits for the Connection of Fluctuating Installations to MV, HV and EHV Power Systems; IEC 61000-3-7; International Electrotechnical Commission (IEC): Geneva, Switzerland, 2008.
- U.S. Department of Energy. Energy Savings Forecast of Solid-State Lighting in General Illumination Applications; Technical Report; U.S. Department of Energy: Washington, DC, USA, 2016.
- McKinsey & Company Inc. Lighting the Way: Perspectives on the Global Lighting Market, 2nd ed.; Technical Report; McKinsey & Company Inc.: New York, NY, USA, 2012. [Google Scholar]
- Phannil, N.; Jettanasen, C.; Ngaopitakkul, A. Harmonics and Reduction of Energy Consumption in Lighting Systems by Using LED Lamps. Energies 2018, 11, 3169. [Google Scholar] [CrossRef]
- Wlas, M.; Galla, S. The influence of LED lighting sources on the nature of power factor. Energies 2018, 11, 1479. [Google Scholar] [CrossRef]
- Hermoso-Orzáez, M.J.; Gago-Calderón, A.; Rojas-Sola, J.I. Power quality and energy efficiency in the pre-evaluation of an outdoor lighting renewal with light-emitting diode technology: Experimental study and amortization analysis. Energies 2017, 10, 836. [Google Scholar] [CrossRef]
- Bollen, M.H.; Rönnberg, S.K.; Larsson, E.O.A.; Wahlberg, M.; Lundmark, C.M. Harmonic emission from installations with energy-efficient lighting. In Proceedings of the International Conference on Electrical Power Quality and Utilisation, EPQU, Lisbon, Portugal, 17–19 October 2011; pp. 797–802. [Google Scholar] [CrossRef]
- Halpin, M.; Cai, R.; De Jaeger, E.; Papic, I.; Perera, S.; Yang, X. A review of flicker objectives related to complaints, measurements, and analysis techniques. In Proceedings of the 20th International Conference on Electricity Distribution (CIRED), Prague, Czech Republic, 8–11 June 2009; Number 0755. pp. 1–4. [Google Scholar] [CrossRef]
- Arlt, D.; Stark, M.; Eberlein, C. Examples of International flicker requirements in high voltage networks and real world measurements. In Proceedings of the International Conference on Electrical Power Quality and Utilisation, EPQU, Barcelona, Spain, 9–11 October 2007. [Google Scholar] [CrossRef]
- Gallo, D.; Landi, C.; Pasquino, N. Design and Calibration of an Objective Flickermeter. IEEE Trans. Instrum. Meas. 2006, 55, 2118–2125. [Google Scholar] [CrossRef]
- Cai, R.; Cobben, J.; Myrzik, J.M.; Kling, W. Improving Weighting Filter of UIE/IEC Flickermeter-Building the Lamp Model. In Proceedings of the 19th International Conference on Electricity Distribution (CIRED), Vienna, Austria, 21–24 May 2007. [Google Scholar]
- Azcarate, I.; Gutierrez, J.J.; Lazkano, A.; Leturiondo, L.A.; Saiz, P.; Redondo, K.; Barros, J. Type Testing of a Highly Accurate Illuminance Flickermeter. In Proceedings of the International Conference on Harmonics and Quality of Power, ICHQP, Hong Kong, China, 17–20 June 2012; pp. 897–903. [Google Scholar] [CrossRef]
- Hooshyar, A.; El-Saadany, E.F. Development of a flickermeter to measure non-incandescent lamps flicker. IEEE Trans. Power Deliv. 2013, 28, 2103–2115. [Google Scholar] [CrossRef]
- Drapela, J.; Langella, R.; Slezingr, J.; Testa, A. A Tunable Flickermeter to Account for Different Lamp Technologies. IEEE Trans. Power Deliv. 2016, PP, 1. [Google Scholar] [CrossRef]
- CIGRE/CIRED. Review of Flicker Objectives for HV, MV and LV Systems; Final Report CIGRE/CIRED WG C4.108; CIGRE: Paris, France, 2009. [Google Scholar]
- Cai, R.; Cobben, J.; Myrzik, J.M.; Blom, J.; Kling, W. Flicker responses of different lamp types. IET Gener. Transm. Distrib. 2009, 3, 816. [Google Scholar] [CrossRef]
- Chmielowiec, K. Flicker effect of different type of light sources. In Proceedings of the International Conference on Electrical Power Quality and Utilisation, EPQU, Lisbon, Portugal, 17–19 October 2011; pp. 3–8. [Google Scholar]
- Drapela, J.; Langella, R.; Testa, A.; Collin, A.J.; Xu, X.; Djokic, S.Z. Experimental evaluation and classification of LED lamps for light flicker sensitivity. In Proceedings of the International Conference on Harmonics and Quality of Power, ICHQP, Ljubljana, Slovenia, 13–16 May 2018. [Google Scholar] [CrossRef]
- Azcarate, I.; Gutierrez, J.J.; Lazkano, A.; Saiz, P.; Redondo, K.; Leturiondo, L.A. Experimental Study of the Response of Efficient Lighting Technologies to Complex Voltage Fluctuations. Int. J. Electr. Power Energy Syst. 2014, 63, 499–506. [Google Scholar] [CrossRef]
- Azcarate, I. Tecnologías de Iluminación ante Fluctuaciones de Tensión: Análisis de Sensibilidad y Control de Inmunidad. Ph.D. Thesis, Universidad del País Vasco (UPV/EHU), Bilbao, Spain, 2016. [Google Scholar]
- Equipment for General Lighting Purposes—EMC Immunity Requirements—Part 1: An Objective Light Flickermeter and Voltage Fluctuation Immunity Test Method; IEC TR 61547-1; International Electrotechnical Commission (IEC): Geneva, Switzerland, 2017.
- Barros, J.; Gutierrez, J.J.; De Apraiz, M.; Saiz, P.; Diego, R.I.; Lazkano, A. Rapid Voltage Changes in Power System Networks and Their Effect on Flicker. IEEE Trans. Power Deliv. 2016, 31, 262–270. [Google Scholar] [CrossRef]
- Bollen, M.H.; Hager, M.; Schwaegerl, C. Quantifying voltage variations on a time scale between 3 seconds and 10 minutes. In Proceedings of the 18th International Conference on Electricity Distribution (CIRED), Turin, Italy, 6–9 June 2005. [Google Scholar] [CrossRef]
- Halpin, M.; De Jaeger, E. Suggestions for overall EMC co-ordination with regard to rapid voltage changes. In Proceedings of the 20th International Conference on Electricity Distribution (CIRED), Prague, Czech Republic, 8–11 June 2009. [Google Scholar]
- Bollen, M.H.; Gu, I.Y. Characterization of Voltage Variations in the Very-Short Time-Scale. IEEE Trans. Power Deliv. 2005, 20, 1198–1199. [Google Scholar] [CrossRef]
- Brekke, K.; Seljeseth, H.; Mogstad, O. Rapid Voltage Changes—Definition and Minimum Requirements. In Proceedings of the 20th International Conference on Electricity Distribution (CIRED), Prague, Czech Republic, 8–11 June 2009. [Google Scholar] [CrossRef]
- Electromagnetic Compatibility (EMC)—Part 4-30: Testing and Measurement Techniques—Power Quality Measurement Methods; IEC 61000-4-30 Ed.3; International Electrotechnical Commission (IEC): Geneva, Switzerland, 2015.
- Lodetti, S.; Azcarate, I.; Gutierrez, J.J.; Redondo, K.; Saiz, P.; Melero, J.J.; Bruna, J. Sensitivity of Modern Lighting Technologies to Rapid Voltage Changes. In Proceedings of the International Conference on Harmonics and Quality of Power, ICHQP, Ljubljana, Slovenia, 13–16 May 2018. [Google Scholar]
- Rashbass, C. The visibility of transient changes of luminance. J. Physiol. 1970, 210, 165–186. [Google Scholar] [CrossRef] [PubMed]
- De Lange, H. Experiments on flicker and some calculations on an electrical analogue of the foveal systems. Physica 1952, 18, 935–950. [Google Scholar] [CrossRef]
- Ailleret, P. Détermination des lois expérimentales du papillotement (flicker) en vue de leur application aux réseaux basse tension sur lesquels les charges varient priodiquement ou aléatoirement (soudeuses démarrages de moteurs). Bulletin de la Société Française des Electriciens 1957, 7, 257–262. [Google Scholar]
- UIE. Flicker Measurement and Evaluation; Technical Report; International Union for Electroheat, Disturbances WG: Paris, France, 1992. [Google Scholar]
- Voltage Characteristics of Electricity Supplied by Public Distribution Networks; EN 50160:2010; CENELEC: Brussels, Belgium, 2010.
- Voltage Characteristics of Electricity Supplied by Public Distribution Networks; EN 50160:2010/A1:2015; CENELEC: Brussels, Belgium, 2015.
- Gutierrez, J.J.; Beeckman, P.; Azcarate, I. A Protocol to Test The Sensitivity Of Lighting Equipment to Voltage Fluctuations. In Proceedings of the 23rd International Conference on Electricity Distribution (CIRED), Lyon, France, 15–18 June 2015. [Google Scholar]











| ID | Technology | Luminous Flux [lm] | Power [W] | Manufacturer |
|---|---|---|---|---|
| I01 | Inc | 710 | 60 | General Electrics |
| C01 | CFL | 1380 | 23 | Lexman |
| C02 | CFL | 570 | 11 | Megaman |
| C03 | CFL | 570 | 11 | Philips |
| L01 | LED | 2452 | 23 | Lexman |
| L02 | LED | 1200 | 15 | CristalRecord |
| L03 | LED | 1521 | 13 | Philips |
| L04 | LED | 1100 | 12 | CristalRecord |
| L05 | LED | 650 | 12 | Osram |
| L06 | LED | 1521 | 12 | Philips |
| L07 | LED | 1055 | 11 | Philips |
| L08 | LED | 1055 | 11 | Xanlite |
| L09 | LED | 806 | 10 | Eglo |
| L10 | LED | 1100 | 10 | Lexman |
| L11 | LED | 470 | 10 | Sylvania |
| L12 | LED | 806 | 9.5 | Lexman |
| L13 | LED | 806 | 9.5 | Philips |
| L14 | LED | 1020 | 8 | Garza |
| L15 | LED | 806 | 8 | Osram |
| L16 | LED | 470 | 8 | Philips |
| L17 | LED | 560 | 7 | Awox |
| L18 | LED | 806 | 6 | Lexman |
| L19 | LED | 370 | 6 | Philips |
| L20 | LED | 345 | 5.5 | Xanlite |
| L21 | LED | 470 | 5 | aDeo |
| L22 | LED | 250 | 3.3 | Osram |
| L23 | LED | 250 | 3 | Lexman |
| L24 | LED | 100 | 1 | Philips |
© 2019 by the authors. Licensee MDPI, Basel, Switzerland. This article is an open access article distributed under the terms and conditions of the Creative Commons Attribution (CC BY) license (http://creativecommons.org/licenses/by/4.0/).
Share and Cite
Lodetti, S.; Azcarate, I.; Gutiérrez, J.J.; Leturiondo, L.A.; Redondo, K.; Sáiz, P.; Melero, J.J.; Bruna, J. Flicker of Modern Lighting Technologies Due to Rapid Voltage Changes. Energies 2019, 12, 865. https://doi.org/10.3390/en12050865
Lodetti S, Azcarate I, Gutiérrez JJ, Leturiondo LA, Redondo K, Sáiz P, Melero JJ, Bruna J. Flicker of Modern Lighting Technologies Due to Rapid Voltage Changes. Energies. 2019; 12(5):865. https://doi.org/10.3390/en12050865
Chicago/Turabian StyleLodetti, Stefano, Izaskun Azcarate, José Julio Gutiérrez, Luis Alberto Leturiondo, Koldo Redondo, Purificación Sáiz, Julio J. Melero, and Jorge Bruna. 2019. "Flicker of Modern Lighting Technologies Due to Rapid Voltage Changes" Energies 12, no. 5: 865. https://doi.org/10.3390/en12050865
APA StyleLodetti, S., Azcarate, I., Gutiérrez, J. J., Leturiondo, L. A., Redondo, K., Sáiz, P., Melero, J. J., & Bruna, J. (2019). Flicker of Modern Lighting Technologies Due to Rapid Voltage Changes. Energies, 12(5), 865. https://doi.org/10.3390/en12050865

