A Case Study of an Optimized Intermittent Ventilation Strategy Based on CFD Modeling and the Concept of FCT
Abstract
1. Introduction
2. Model Development
2.1. Geometric Model and Research Background
2.2. Mathematical Formulation
2.2.1. Governing Conservation Equations
2.2.2. Constitutive Relations
2.2.3. Turbulence Model
2.2.4. Boundary Conditions
- (i)
- Walls: standard wall function is defined;
- (ii)
- Inlet: the inlet of ventilation duct is prescribed as the velocity-inlet, the basic 15 m/s and various time varying air velocity are specified according to different ventilation patterns;
- (iii)
- Driving face: methane gas is released evenly at a volume flow rate of 0.031 m3/s;
- (iv)
- Outlet: the outlet of the laneway is set to the pressure-outlet boundary condition with standard atmospheric pressure (101.325 kPa), and with the average temperature in the Sijiazhuang coal mine of 300 K.
3. Numerical Methodology
4. Results and Discussion
4.1. Intermittent Ventilation Strategies and Parametric Studies
4.2. The Spatiotemporal Characteristics of the Airflow and Methane Distribution
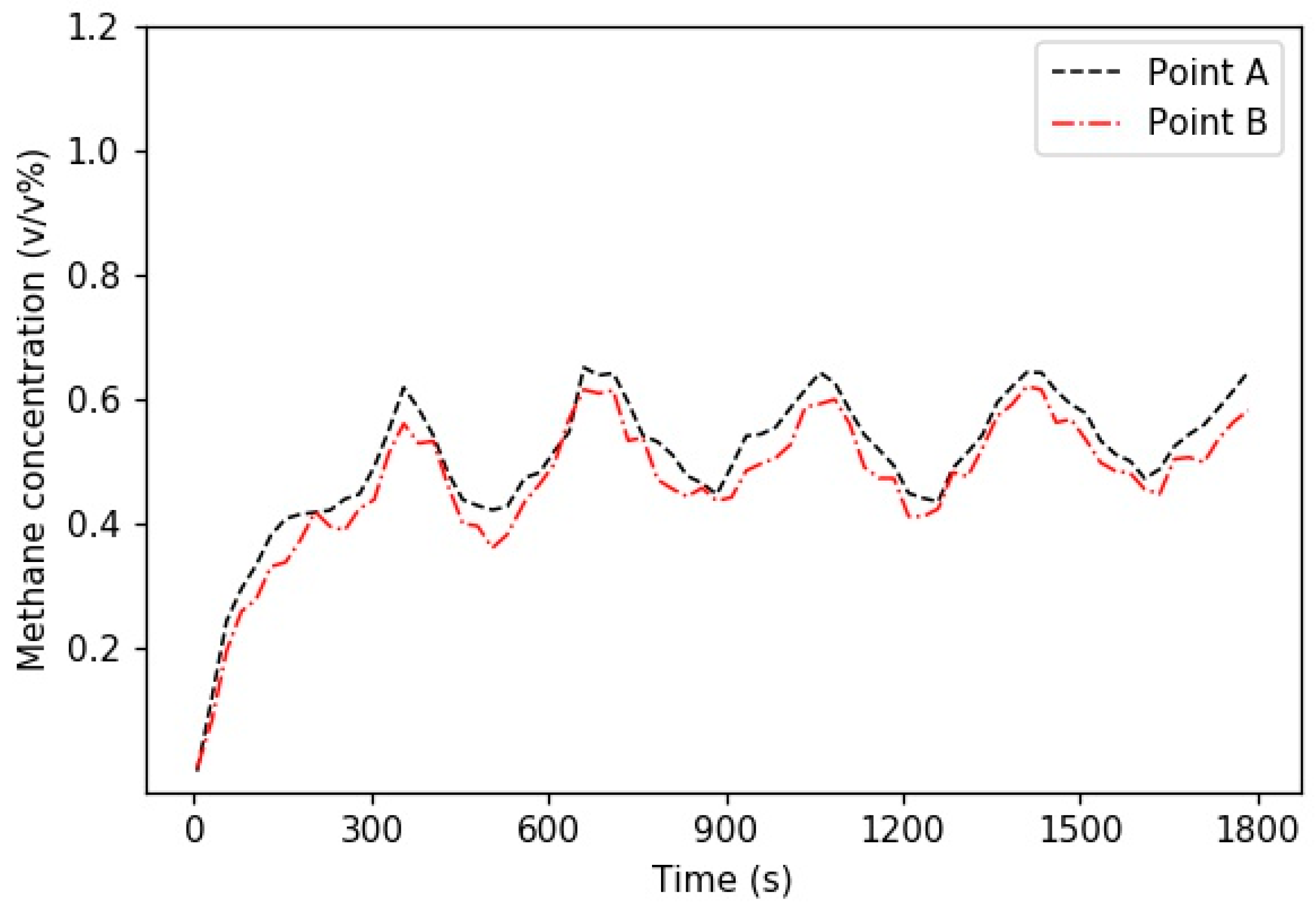
4.3. The Optimal Intermittent Ventilation Pattern and Data Validation
5. Conclusions
Author Contributions
Funding
Acknowledgments
Conflicts of Interest
References
- Baris, K. Assessing ventilation air methane (VAM) mitigation and utilization opportunities: A case study at Kozlu Mine, Turkey. Energy Sustain. 2013, 17, 13–23. [Google Scholar] [CrossRef]
- Karakurt, I.; Aydin, G.; Aydiner, K. Mine ventilation air methane as a sustainable energy source. Renew. Sustain. Energy Rev. 2011, 15, 1042–1049. [Google Scholar] [CrossRef]
- Somers, J.; Burklin, C. A 2102 update on the world VAM oxidizer technology market. In Proceedings of the 14th U.S./North American Mine Ventilation Symposium, Salt Lake City, UT, USA, 17–20 June 2012; pp. 259–263. [Google Scholar]
- Torano, J.; Torno, S.; Menendez, M.; Gent, M.; Velasco, J. Models of methane behaviour in auxiliary ventilation of underground coal mining. Int. J. Coal Geol. 2009, 80, 35–43. [Google Scholar] [CrossRef]
- Zheng, Y.; Tien, J.C. DPM dispersion study using CFD for underground metal/nonmetal mines. In Proceedings of the 12th North American Mine Ventilation Symposium, University of Nevada, Reno, NV, USA, 9–11 June 2008; pp. 281–286. [Google Scholar]
- Noack, K. Control of gas emissions in underground coal mines. Intern. J. Coal Geol. 1998, 35, 57–82. [Google Scholar] [CrossRef]
- Sasmito, A.P.; Birgersson, E.; Ly, H.; Mujumdar, A.S. Some approaches to improve ventilation system in underground coal mines environment-A computational fluid dynamic study. Tunn. Undergr. Space Technol. 2013, 34, 82–95. [Google Scholar] [CrossRef]
- Reddy, A.C. Development of a Coal Reserve GIS Model and Estimation of the Recoverability and Extraction Costs. Master’s Thesis, West Virginia University, Morgantown, WV, USA, 2009. [Google Scholar]
- Jeswiet, J.; Szekeres, A. Energy Consumption in Mining Comminution. Proced. CIRP 2016, 48, 140–145. [Google Scholar] [CrossRef]
- Jeswiet, J.; Archibald, J.; Thorley, U.; De Souza, E. Energy Use in Premanufacture (Mining). Proced. CIRP 2015, 29, 816–821. [Google Scholar] [CrossRef]
- Mielli, F.; Bongiovanni, M. Production energy optimization in mining. In Proceedings of the World Mining Congress, Montreal, QC, Canada, 11–15 August 2013. [Google Scholar]
- Tuck, M.A.; Finch, C.; Holden, J. Ventilation on demand: A preliminary study for Ballarat Goldfields NL. In Proceedings of the 11th North American Mine Ventilation Symposium, University Park, PA, USA, 5–7 June 2006; pp. 11–14. [Google Scholar]
- Hu, S.; Wang, Z. Temporal and Spatial Distribution of Respirable Dust After Blasting of Coal Roadway Driving Faces: A Case Study. Minerals 2015, 5, 679–692. [Google Scholar] [CrossRef]
- Allen, C.; Keen, B. Ventilation on demand (VOD) project—Vale Inco Ltd., Coleman Mine. In Proceedings of the 12th North American Mine Ventilation Symposium, Reno, NV, USA, 9–11 June 2008; pp. 45–49. [Google Scholar]
- Liu, H.; Wu, X.; Mao, S. A Time Varying Ventilation and Dust Control Strategy Based on the Temporospatial Characteristics of Dust Dispersion. Minerals 2017, 7, 59. [Google Scholar] [CrossRef]
- Heerden, J.; Sullivan, P. The application of CFD for evaluation of dust suppression and auxiliary ventilation systems used with continuous miners. In Proceedings of the 6th US Mine Ventilation Symposium, Littleton, CO, USA, 21–23 June 1993; pp. 293–297. [Google Scholar]
- Uchino, K.; Inoue, M. Auxiliary ventilation at a heading of a face by a fan. In Proceedings of the 6th International Mine Ventilation Congress, Pittsburgh, PA, USA, 17–22 May 1997; pp. 493–496. [Google Scholar]
- Nakayama, S.; Kim, Y.K.; Jo, Y.D. Simulation of methane gas distribution by computational fluid dynamics. In Mining and Science Technology; Xie, H.P., Golosinski, T.S., Eds.; Balkema Publisher: Brookfield, WI, USA, 1999; pp. 259–262. [Google Scholar]
- Niu, W.; Jiang, Z.G.; Tian, D.M. Numerical simulation of the factors influencing dust in drilling tunnels: It’s application. Min. Sci. Technol. 2011, 21, 11–15. [Google Scholar]
- Parra, M.T.; Villafruela, J.M.; Castro, F.; Mendez, C. Numerical and experimental analysis of different ventilation systems in deep mines. Build. Environ. 2006, 41, 87–93. [Google Scholar] [CrossRef]
- De Souza, E. Application of ventilation management programs for improved mine Safety. Intern. J. Min. Sci. Technol. 2017, 27, 647–650. [Google Scholar] [CrossRef]
- Wala, A.M.; Vytla, S.; Taylor, C.D.; Huang, G. Mine face ventilation: A comparison of CFD results against benchmark experiments for the CFD code validation. Min. Eng. 2007, 59, 1–7. [Google Scholar]
- Torano, J.; Torno, S.; Mendez, M.; Gent, M. Auxiliary ventilation in mining roadways driven with road headers: Validated CFD modeling of dust behavior. Tunn. Undergr. Space Technol. 2011, 26, 201–210. [Google Scholar] [CrossRef]
- Szlązak, N.; Obracaj, D.; Borowski, M.; Swolkień, J.; Korzec, M. Monitoring and controlling methane hazard in excavation in hard coal mines. AGH J. Min. Geoeng. 2013, 37, 105–116. [Google Scholar] [CrossRef]
- Zhong, M.; Xing, W.; Weicheng, F.; Peide, L.; Baozhi, C. Airflow optimizing control research based on genetic algorithm during mine fire period. J. Fire Sci. 2003, 21, 131–153. [Google Scholar] [CrossRef]
- Kurnia, J.C.; Sasmito, A.P.; Mujumdar, A.S. CFD simulation of methane dispersion and innovative methane management in underground mining faces. Appl. Math Model 2014, 38, 3467–3484. [Google Scholar] [CrossRef]
- Kurnia, J.C.; Sasmito, A.P.; Mujumdar, A.S. Prediction and innovative control strategies for oxygen and hazardous gases from diesel emission in underground mines. Sci. Total Environ. 2014, 481, 317–334. [Google Scholar] [CrossRef]
- Kurnia, J.C.; Sasmito, A.P.; Hassani, F.P. Introduction and evaluation of a novel hybrid brattice for improved dust control in underground mining faces: A computational study. Int. J. Min. Sci. Technol. 2015, 24, 537–543. [Google Scholar] [CrossRef]
- Kurnia, J.C.; Peng, X.; Sasmito, A.P. A novel concept of enhanced gas recovery strategy from ventilation air methane in underground coal mines—A computational investigation. J. Nat. Gas Sci. Eng. 2016, 35, 661–672. [Google Scholar] [CrossRef]
- Pach, G. Optimization of Forced Air Flow by the Comparison of Positive and Negative Regulations in Mine Ventilation Network. Arch. Min. Sci. 2018, 63, 853–870. [Google Scholar]
- Pach, G.; Sułkowski, J.; Różański, Z.; Wrona, P. Costs Reduction of Main Fans Operation According to Safety Ventilation in Mines—A Case Study. Arch. Min. Sci. 2018, 63, 43–60. [Google Scholar]
- Kurnia, J.C.; Sasmito, A.P.; Mujumdar, A.S. Simulation of a novel intermittent ventilation system for underground mines. Tunn. Undergr. Space Technol. 2014, 42, 206–215. [Google Scholar] [CrossRef]
- Xu, G.; Kray, D.; Luxbacher, S.R.; Xu, J.L.; Ding, X.H. Computational fluid dynamics applied to mining engineering: A review. Intern. J. Min. Reclam. Environ. 2017, 31, 251–275. [Google Scholar] [CrossRef]
- Wu, J.H. Research on Mine ventilator frequency conversion energy saving technology ventilator. Opencast Min. Technol. 2010, 4, 68–72. [Google Scholar]
- Yang, Z.; Yu, Z.Z. Research on frequency conversion technology of metro station’s ventilation and air-conditioning system. Appl. Therm. Eng. 2017, 69, 123–129. [Google Scholar] [CrossRef]
- Fluent 6.3 documentations. Available online: https://www.ansys.com/ (accessed on 31 January 2019).












| Mesh Amount | Interval of Laneway (m) | Interval of Windpipes (m) | Elapsed Time (s) | RAM Required (GB) | Deviation |
|---|---|---|---|---|---|
| 3.94 × 105 | 0.2 | 0.2 | 11 | 3.4 | 14.6% |
| 5.11 × 105 | 0.2 | 0.1 | 18 | 3.9 | 10.4% |
| 1.15 × 106 | 0.15 | 0.1 | 35 | 4.8 | 4.2% |
| 4.04 × 106 | 0.1 | 0.05 | 114 | 7.1 | - |
| Parameters | Setting |
|---|---|
| Air density (kg/m3) | 1.225 |
| Turbulent viscosity (m2/s) | 1.7894 × 10−5 |
| Turbulent kinetic energy | 1.3 |
| The relative intensity of turbulence | 5.1 |
| Volume flow rate of methane gas (m3/s) | 0.031 |
| Convergence criteria | 1 × 10−6 |
| Initialization method | Hybrid Initialization |
| Number of time steps for transient simulation | 1800 |
| Time step size (s) | 1 |
| Max iterations/time step | 15 |
| Cases | Average Pressure Difference (Pa) | Average Volumetric Flow Rate (m3/s) | Average Fan Power (Watt) | Energy Saving (%) |
|---|---|---|---|---|
| Case 0 | 137.81 | 7.54 | 1038.56 | 0 |
| Case 1 | 113.01 | 6.78 | 785.15 | 24.40 |
| Case 2 | 93.71 | 6.03 | 631.44 | 39.20 |
| Case 3 | 113.01 | 6.78 | 785.15 | 24.40 |
| Case 4 | 104.74 | 6.53 | 700.68 | 32.53 |
| Case 5 | 79.01 | 5.53 | 495.74 | 52.27 |
| Case 6 | 79.93 | 5.28 | 552.51 | 46.80 |
| Average Pressure Difference (Pa) | Average Volumetric Flow Rate (m3/s) | Average Fan Power (Watt) | Energy Saving (%) |
|---|---|---|---|
| 93.71 | 6.03 | 631.44 | 39.20 |
| Specifications | Range |
|---|---|
| Measurement range | 0–4%v/v CH4 |
| Relative error | 0–1% CH4 ≤ ±0.1% CH4 1–3% CH4 ≤ 10% CH4 3–4% CH4 ≤ ±0.3% CH4 |
| Working voltage | 9VDC–24VDC |
© 2019 by the authors. Licensee MDPI, Basel, Switzerland. This article is an open access article distributed under the terms and conditions of the Creative Commons Attribution (CC BY) license (http://creativecommons.org/licenses/by/4.0/).
Share and Cite
Liu, H.; Mao, S.; Li, M. A Case Study of an Optimized Intermittent Ventilation Strategy Based on CFD Modeling and the Concept of FCT. Energies 2019, 12, 721. https://doi.org/10.3390/en12040721
Liu H, Mao S, Li M. A Case Study of an Optimized Intermittent Ventilation Strategy Based on CFD Modeling and the Concept of FCT. Energies. 2019; 12(4):721. https://doi.org/10.3390/en12040721
Chicago/Turabian StyleLiu, Hui, Shanjun Mao, and Mei Li. 2019. "A Case Study of an Optimized Intermittent Ventilation Strategy Based on CFD Modeling and the Concept of FCT" Energies 12, no. 4: 721. https://doi.org/10.3390/en12040721
APA StyleLiu, H., Mao, S., & Li, M. (2019). A Case Study of an Optimized Intermittent Ventilation Strategy Based on CFD Modeling and the Concept of FCT. Energies, 12(4), 721. https://doi.org/10.3390/en12040721

