Transmission Channel Analysis for Broadband Communication over Multiconductor UIC Cables Onboard Regional Trains
Abstract
:1. Introduction
- This electrical connection is extremely common in hauled stock and it is unified by regulation [14].
- It connects the whole length of the train and, for safety and functional reasons, particular care should be taken to avoid any possible disconnection.
- Its use could lead to an easy procedure for revamping older trains at a reduced cost.
- In Barmada et al. [17], the authors evaluate the channel capacity (hence the maximum data rate available) as a function of the noise produced by the other signals carried by the cable. The above described cable is a multiconductor transmission line and the crosstalk phenomena can create undesired voltages and currents which might disrupt either the BPL signal or the other signals.
2. System Description
2.1. UIC Cable Descrcription
- Conductors 1 to 8 are by default dedicated to the transmission of voice signals and are characterized by AC signals at a frequency range 100–8000 Hz, and permanent DC signals characterized by a value between 18 and 33 V.
- Conductors 9 to 16 are by default dedicated to the transmission of DC pulses (with amplitude between 15 and 33 V and 2-second duration) for doors opening and closing and for the light signals “stop” and “go”, with conductor #12 as common ground.
- In addition, some users (German railways, DB, Austrian railways, ÖBB, French railways, SNFC, and Swiss railways, CFF) utilize conductors 9 to 12 for additional functions.
- Conductors 9 to 12 are dedicated to the emergency brake and the electropneumatic actuators (DC pulses with value between 15 and 33 V, DB, ÖBB, CFF).
- Conductors 9 and 10 can carry an AC signal at 1 kHz relating to the emergency brake information (DB, ÖBB, CFF).
- Conductors 10 and 11 carry AC signals (around 100 kHz, 600–950 mV) relating to traction commands (DB).
- Conductors 7, 9, 10 and 11 carry additional signals in case the train has to leave the station in the opposite direction of its arrival (6 V, frequency band 10–20 kHz (SNCF).
- Conductors 7 and 8 are used for voice messages in case there are external loudspeakers (DC signal, between 18 and 33 V, SNCF).
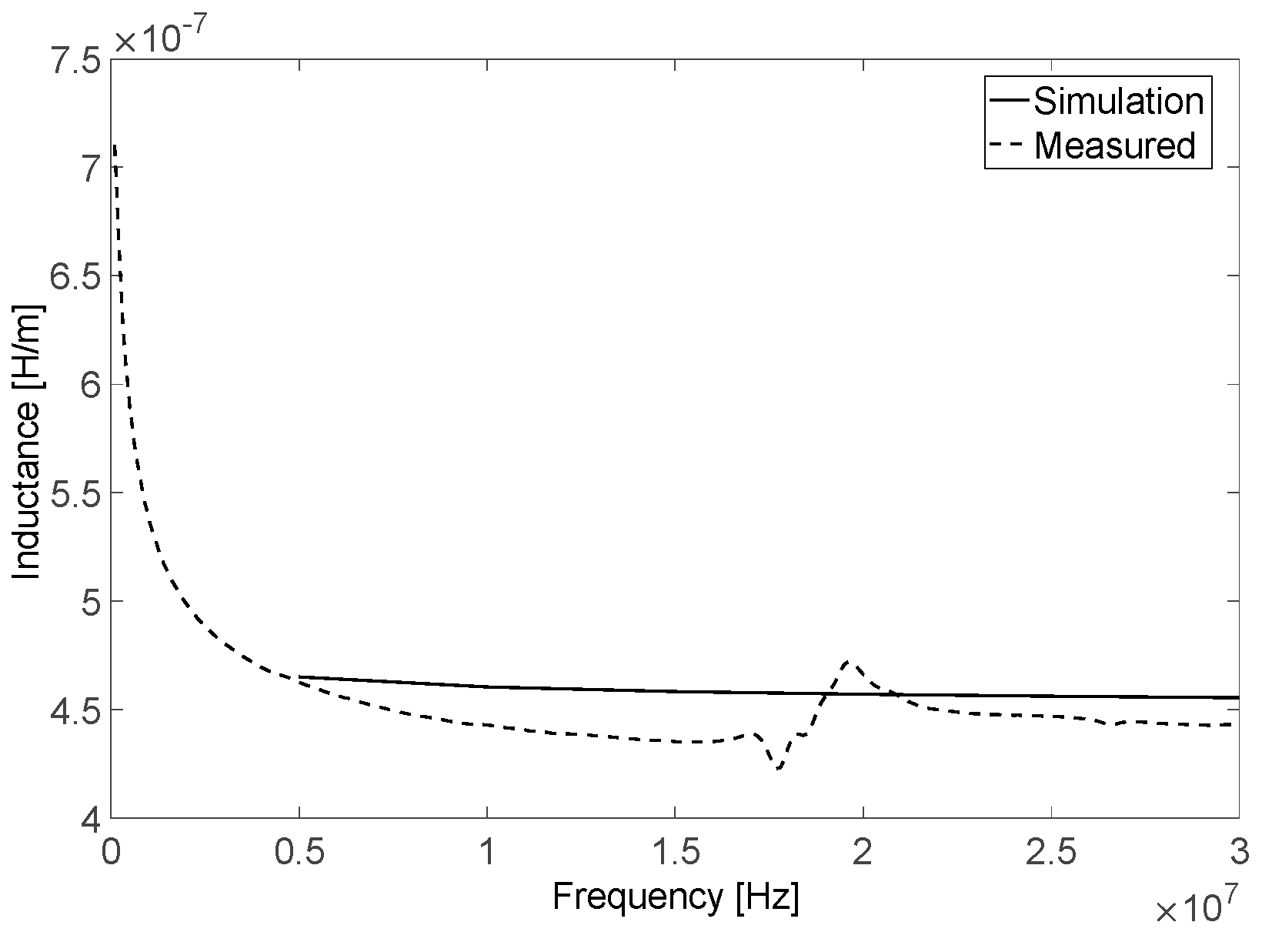
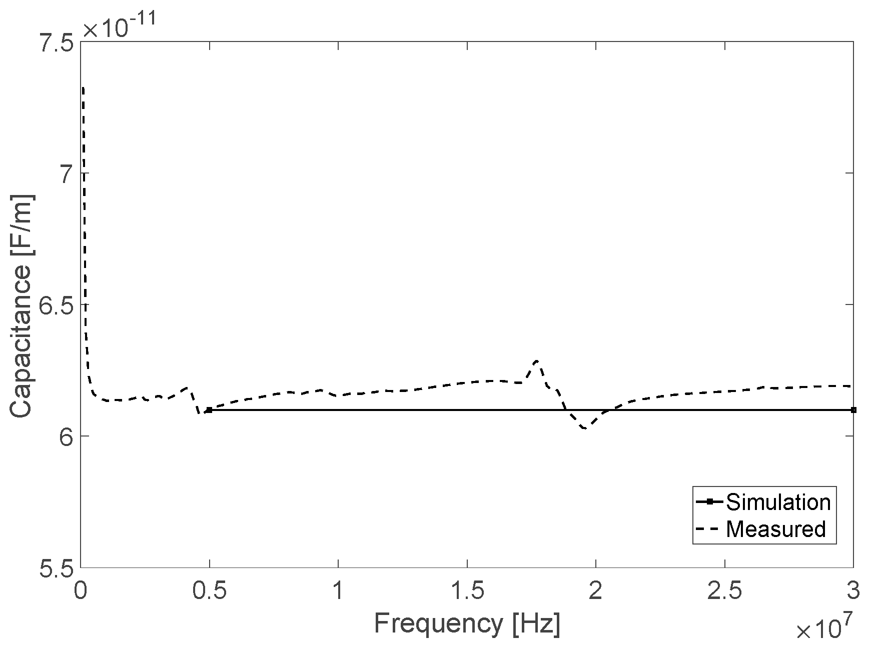
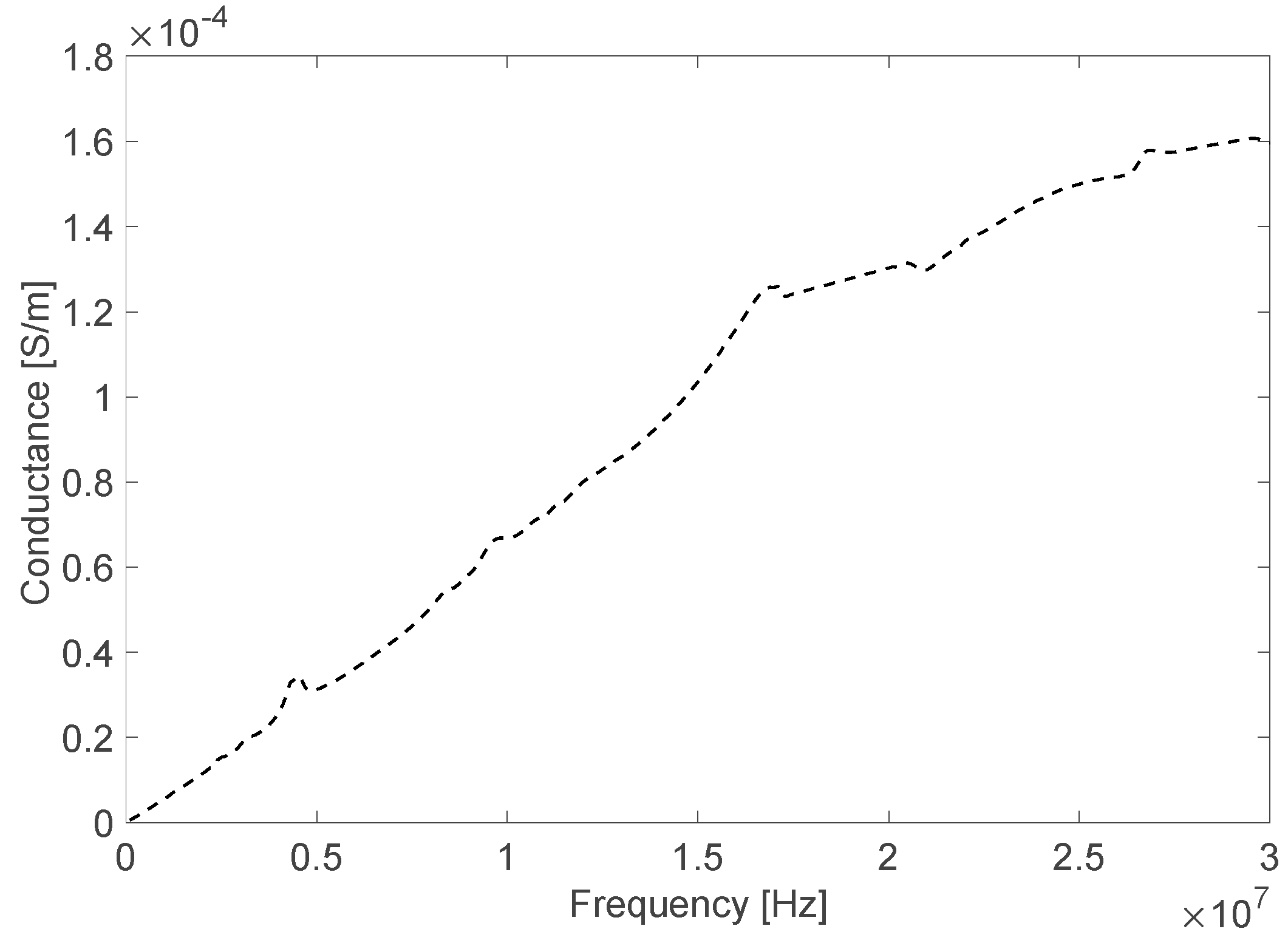
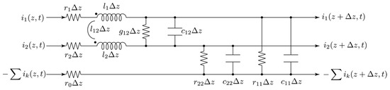
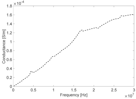
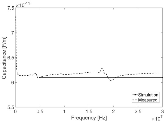
2.2. UIC Cable Modelling and Measurements
2.3. Simulated System
2.4. Formulation of Signal Propagation over the Multiconductor Cable
3. Simulation Results
3.1. Frequency Response and Crosstalk
3.2. Channel Capacity
3.3. Root-Mean-Square Delay Spread and Cumulative Density Function
3.4. Bit Error Rate
4. Conclusions
Author Contributions
Funding
Conflicts of Interest
References
- Van Rensburg, P.A.J.; Ferreira, H.C.; Snyders, A.J. An experimental setup for in-circuit optimization of broadband automotive power-line communications. In Proceedings of the IEEE International Symposium on Power Line Communications and Its Applications 2005, Vancouver, BC, Canada, 6–8 April 2005; pp. 322–325. [Google Scholar]
- Barmada, S.; Raugi, M.; Tucci, M.; Maryanka, Y.; Amrani, O. PLC systems for electric vehicles and smart grid applications. In Proceedings of the IEEE International Symposium on Power Line Communications and Its Applications 2013, Johannesburg, South Africa, 24–27 March 2013; pp. 23–28. [Google Scholar]
- Barmada, S.; Raugi, M.; Tucci, M.; Zheng, T. Power line communication in a full electric vehicle: Measurements, modelling and analysis. In Proceedings of the IEEE International Symposium on Power Line Communications and Its Applications 2010, Rio de Janeiro, Brazil, March 2010; pp. 331–336. [Google Scholar]
- Huck, T.; Schirmer, J.; Hogenm, T.; Dostert, K. Tutorial about the implementation of a vehicular high speed communication system. In Proceedings of the IEEE International Symposium on Power Line Communications and Its Applications 2005, Vancouver, BC, Canada, 6–8 April 2005; pp. 162–166. [Google Scholar]
- Degardin, V.; Laly, P.; Lienard, M.; Degauque, P. Impulsive noise on in-vehicle power lines: Characterization and impact on communication performance. In Proceedings of the IEEE International Symposium on Power Line Communications and Its Applications 2006, Orlando, FL, USA, 26–29 March 2006; pp. 222–226. [Google Scholar]
- Degardin, V.; Laly, P.; Lienard, M.; Degauque, P. Performances of the HomePlug PHY Layer in the Context of in-vehicle Powerline Communications. In Proceedings of the IEEE International Symposium on Power Line Communications and Its Applications 2007, Pisa, Italy, 26–28 March 2007; pp. 93–98. [Google Scholar]
- Liu, E.; Gao, Y.; Samdani, G.; Mukhtar, O.; Korhonen, T. Powerline Communication over Special Systems. In Proceedings of the IEEE International Symposium on Power Line Communications and Its Applications 2005, Vancouver, BC, Canada, 6–8 April 2005; pp. 167–171. [Google Scholar]
- Pittolo, A.; De Piante, M.; Versolatto, F.; Tonello, A.M. In-Vehicle Power Line Communication: Differences and Similarities Among the In-Car and the In-Ship Scenarios. IEEE Veh. Technol. Mag. 2016, 11, 43–51. [Google Scholar] [CrossRef]
- Tsuzuki, S.; Yoshida, M.; Yamada, Y.; Kawasaki, H.; Murai, K.; Matsuyama, K.; Suzuki, M. Characteristics of Power-Line Channels in Cargo Ships. In Proceedings of the IEEE International Symposium on Power Line Communications and Its Applications 2007, Pisa, Italy, 26–28 March 2007. [Google Scholar] [CrossRef]
- Barmada, S.; Bellanti, L.; Raugi, M.; Tucci, M. Analysis of power-line communication channels in ships. IEEE Trans. Veh. Technol. 2010, 59, 3161–3170. [Google Scholar] [CrossRef]
- Antoniali, M.; Tonello, A.M.; Lenardon, M.; Qualizza, A. Measurements and analysis of PLC channels in a cruise ship. In Proceedings of the IEEE International Symposium on Power Line Communications and Its Applications 2011, Udine, Italy, 3–6 April 2011; pp. 102–107. [Google Scholar]
- Jones, C.H. Communication over aircraft power lines. In Proceedings of the IEEE International Symposium on Power Line Communications and Its Applications 2006, Orlando, FL, USA, 26–29 March 2006; pp. 149–154. [Google Scholar]
- Degardin, V.; Junqua, I.; Lienard, M.; Degauque, P.; Bertuol, S. Theoretical approach to the feasibility of power-line communication in aircrafts. IEEE Trans. Veh. Technol. 2013, 62, 1362–1366. [Google Scholar] [CrossRef]
- UIC 558. Ligne de Telecommande et D’information. Caracteristiquest Techniques Unifiees por L’equipment des Voitures RIC; Union Internationale des Chemins de fer: Paris, France, 1992. [Google Scholar]
- Barmada, S.; Gaggelli, A.; Masini, P.; Musolino, A.; Rizzo, R.; Tucci, M. Modeling of UIC Cables in railway Systems for their Use as Power Line Communications Channels. Appl. Comput. Electromagn. J. 2009, 24, 609–617. [Google Scholar]
- Barmada, S.; Tucci, M.; Romano, F. Channel Capacity Evaluation of UIC Cables for High Speed Data Transmission Onboard Regional Trains. In Proceedings of the Third International Conference on Railway Technology: Research, Development and Maintenance, Cagliari, Italy, 5–8 April 2016; pp. 1–12. [Google Scholar]
- Barmada, S.; Gaggelli, A.; Musolino, A.; Rizzo, R.; Raugi, M.; Tucci, M. Design of a PLC System Onboard Trains: Selection and Analysis of the PLC Channel. In Proceedings of the IEEE International Symposium on Power Line Communications and Its Applications 2008, Jeju Island, Korea, 2–4 April 2008; pp. 13–17. [Google Scholar]
- Paul, C. Analysis of Multiconductor Transmission Lines; Wiley: Hoboken, NJ, USA, 1994. [Google Scholar]
- Eisenstadt, E.R.; Eo, Y. S-parameter-based IC interconnect transmission line characterization. IEEE Trans. Compon. Hybridsmanuf. Technol. 1992, 15, 483–490. [Google Scholar] [CrossRef]
- Galli, S. A simplified model for the indoor power line channel. In Proceedings of the IEEE International Symposium on Power Line Communications and Its Applications 2009, Dresden, Germany, 29 March–1 April 2009; pp. 13–19. [Google Scholar]















| Termination | Characteristic Impedance | Open Circuit |
|---|---|---|
| L = 25 m | 5.2117 × 10−8 s | 5.2131 × 10−8 s |
| L = 50 m | 3.1263 × 10−8 s | 2.9852 × 10−8 s |
| L = 75 m | 5.4672 × 10−8 s | 6.2786 × 10−8 s |
| L = 100 m | 1.5101 × 10−7 s | 1.8992 × 10−7 s |
| L = 125 m | 3.1154 × 10−7 s | 3.9555 × 10−7 s |
| L = 150 m | 5.1555 × 10−7 s | 5.0826 × 10−7 s |
| L = 175 m | 6.0195 × 10−7 s | 4.1073 × 10−7 s |
| SNR (TX) | 25 db | 30 db | 35 db | 40 db | 45 db | 50 db | 55 db | 60 db |
|---|---|---|---|---|---|---|---|---|
| L = 25 m | 6.59 × 10−3 | 6.42 × 10−4 | 1.53 × 10−5 | 3.28 × 10−8 | 1.05 × 10−12 | 0 | 0 | 0 |
| L = 50 m | 6.84 × 10−2 | 2.84 × 10−2 | 7.78 × 10−3 | 1.10 × 10−3 | 5.10 × 10−5 | 3.50 × 10−7 | 8.45 × 10−11 | 5.43 × 10−17 |
| L = 75 m | 1.72 × 10−1 | 1.13 × 10−1 | 6.31 × 10−2 | 2.78 × 10−2 | 8.53 × 10−3 | 1.46 × 10−3 | 9.35 × 10−5 | 1.12 × 10−6 |
| L = 100 m | 2.66 × 10−1 | 2.10 × 10−1 | 1.53 × 10−1 | 9.95 × 10−2 | 5.55 × 10−2 | 2.45 × 10−2 | 7.55 × 10−3 | 1.29 × 10−3 |
| L = 125 m | 3.36 × 10−1 | 2.90 × 10−1 | 2.39 × 10−1 | 1.84 × 10−1 | 1.31 × 10−1 | 8.25 × 10−2 | 4.40 × 10−2 | 1.81 × 10−2 |
| L = 150 m | 3.84 × 10−1 | 3.49 × 10−1 | 3.08 × 10−1 | 2.60 × 10−1 | 2.08 × 10−1 | 1.55 × 10−1 | 1.05 × 10−1 | 6.20 × 10−2 |
| L = 175 m | 4.01 × 10−1 | 3.71 × 10−1 | 3.34 × 10−1 | 2.90 × 10−1 | 2.41 × 10−1 | 1.89 × 10−1 | 1.38 × 10−1 | 9.01 × 10−2 |
© 2019 by the authors. Licensee MDPI, Basel, Switzerland. This article is an open access article distributed under the terms and conditions of the Creative Commons Attribution (CC BY) license (http://creativecommons.org/licenses/by/4.0/).
Share and Cite
Barmada, S.; Tucci, M.; Romano, F. Transmission Channel Analysis for Broadband Communication over Multiconductor UIC Cables Onboard Regional Trains. Energies 2019, 12, 497. https://doi.org/10.3390/en12030497
Barmada S, Tucci M, Romano F. Transmission Channel Analysis for Broadband Communication over Multiconductor UIC Cables Onboard Regional Trains. Energies. 2019; 12(3):497. https://doi.org/10.3390/en12030497
Chicago/Turabian StyleBarmada, Sami, Mauro Tucci, and Francesco Romano. 2019. "Transmission Channel Analysis for Broadband Communication over Multiconductor UIC Cables Onboard Regional Trains" Energies 12, no. 3: 497. https://doi.org/10.3390/en12030497
APA StyleBarmada, S., Tucci, M., & Romano, F. (2019). Transmission Channel Analysis for Broadband Communication over Multiconductor UIC Cables Onboard Regional Trains. Energies, 12(3), 497. https://doi.org/10.3390/en12030497

