Highly Photoactive Polythiophenes Obtained by Electrochemical Synthesis from Bipyridine-Containing Terthiophenes
Abstract
1. Introduction
2. Materials and Methods
2.1. Chemicals
2.2. Morphology
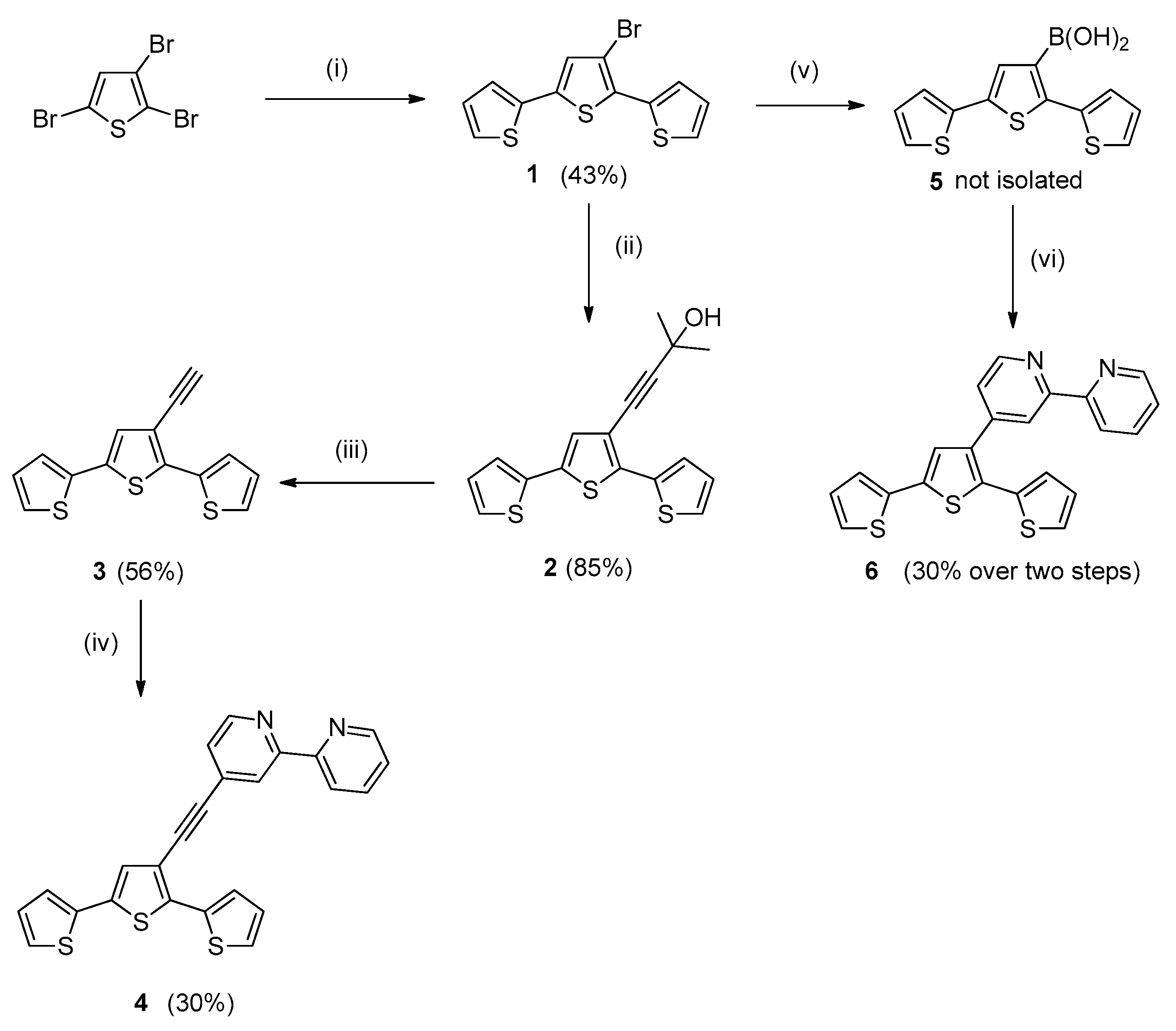
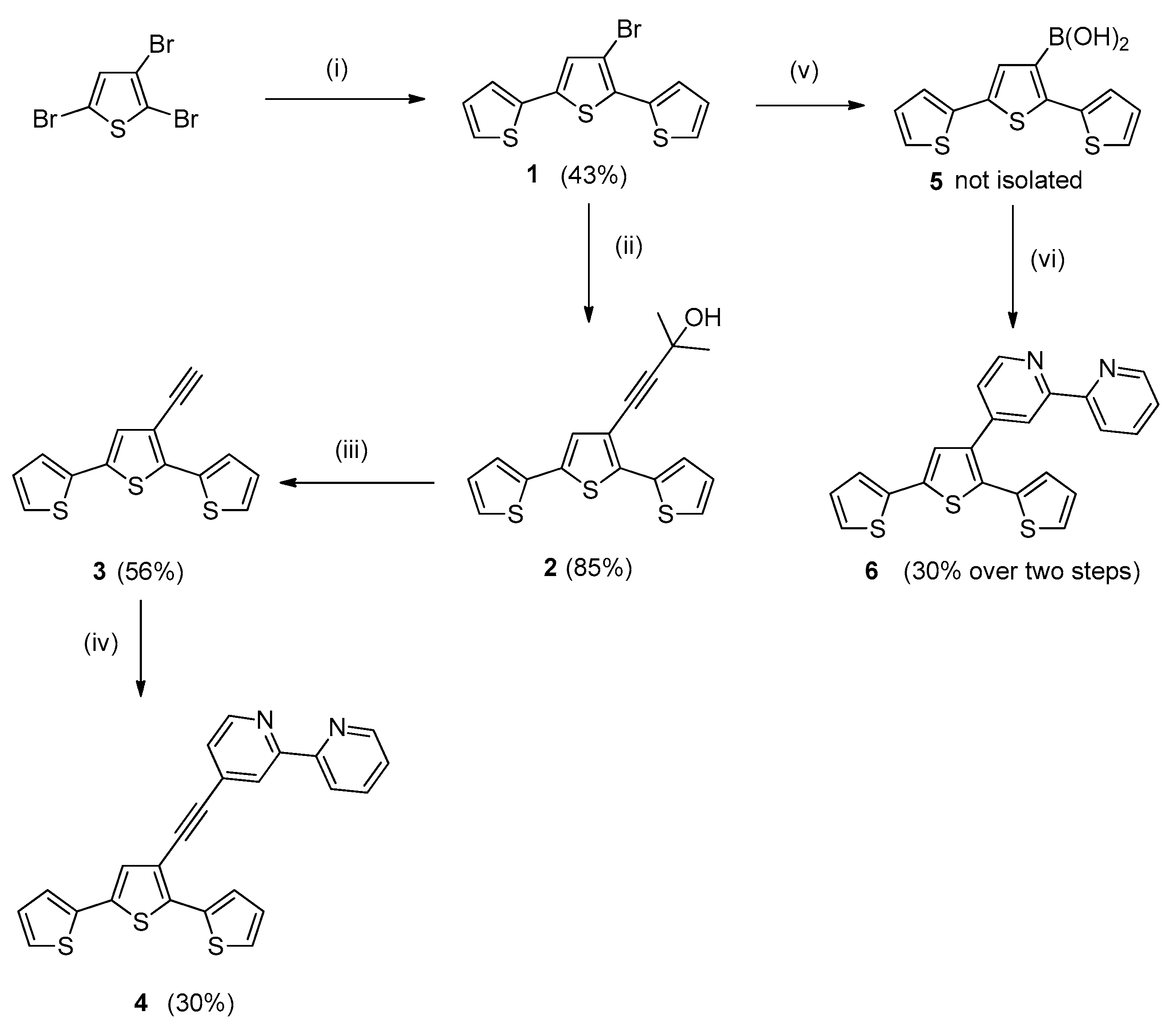
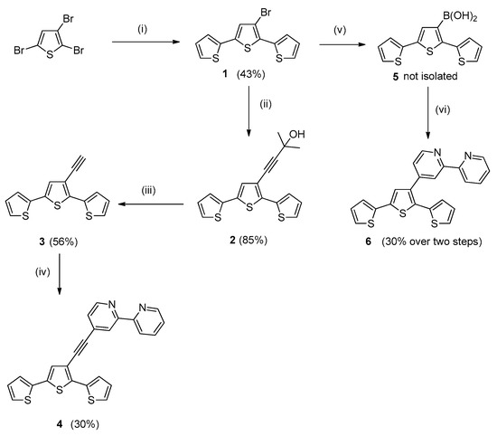
2.3. Organic Synthesis
2.4. UV-Visible Spectroscopy
2.5. Electrochemical Tests
3. Results
3.1. Organic Synthesis
3.2. Electrosynthesis
3.3. Morphology
3.4. UV-Vis Spectroscopy
3.5. Electrochemistry
4. Discussion
4.1. Band-Gap of PT Homo- and Copolymers
4.2. Chronopotentiometry Measurements
5. Conclusions
Supplementary Materials
Author Contributions
Funding
Conflicts of Interest
References
- Armaroli, N.; Balzani, V. The future of energy supply: Challenges and opportunities. Angew. Chem.-Int. Edit. 2007, 46, 52–66. [Google Scholar] [CrossRef] [PubMed]
- Lund, J.W.; Boyd, T.L. Direct utilization of geothermal energy 2015 worldwide review. Geothermics 2016, 60, 66–93. [Google Scholar] [CrossRef]
- Solangi, K.H.; Islam, M.R.; Saidur, R.; Rahim, N.A.; Fayaz, H. A review on global solar energy policy. Renew. Sustain. Energy Rev. 2011, 15, 2149–2163. [Google Scholar] [CrossRef]
- Jean, J.; Brown, P.R.; Jaffe, R.L.; Buonassisi, T.; Bulovic, V. Pathways for solar photovoltaics. Energy Environ. Sci. 2015, 8, 1200–1219. [Google Scholar] [CrossRef]
- Global Wind Energy Council. Global Wind Report-Annual Market Update. 2011. Available online: https://windeurope.org/about-wind/statistics/global/global-wind-report-2011/ (accessed on 21 January 2019).
- Iwase, A.; Ng, Y.H.; Ishiguro, Y.; Kudo, A.; Amal, R. Reduced Graphene Oxide as a Solid-State Electron Mediator in Z-Scheme Photocatalytic Water Splitting under Visible Light. J. Am. Chem. Soc. 2011, 133, 11054–11057. [Google Scholar] [CrossRef] [PubMed]
- Li, P.; Zhou, Y.; Li, H.; Xu, Q.; Meng, X.; Wang, X.; Xiao, M.; Zou, Z. All-solid-state Z-scheme system arrays of Fe2V4O13/RGO/CdS for visible light-driving photocatalytic CO2 reduction into renewable hydrocarbon fuel. Chem. Commun. 2015, 51, 800–803. [Google Scholar] [CrossRef] [PubMed]
- Zhou, P.; Yu, J.; Jaroniec, M. All-Solid-State Z-Scheme Photocatalytic Systems. Adv. Mater. 2014, 26, 4920–4935. [Google Scholar] [CrossRef] [PubMed]
- Maeda, K.; Lu, D.; Domen, K. Solar-Driven Z-scheme Water Splitting Using Modified BaZrO3–BaTaO2N Solid Solutions as Photocatalysts. ACS Catal. 2013, 3, 1026–1033. [Google Scholar] [CrossRef]
- Maeda, K. Z-Scheme Water Splitting Using Two Different Semiconductor Photocatalysts. ACS Catal. 2013, 3, 1486–1503. [Google Scholar] [CrossRef]
- Balzani, V.; Credi, A.; Venturi, M. Photochemical Conversion of Solar Energy. ChemSusChem 2008, 1, 26–58. [Google Scholar] [CrossRef]
- Benniston, A.C.; Harriman, A. Artificial photosynthesis. Mater. Today 2008, 11, 26–34. [Google Scholar] [CrossRef]
- Carroll, G.M.; Gamelin, D.R. Kinetic Analysis of Photoelectrochemical Water Oxidation by Mesostructured Co-Pi/α-Fe2O3 Photoanodes. J. Mater. Chem. A 2016, 4, 2986–2994. [Google Scholar] [CrossRef]
- Young, E.R.; Costi, R.; Paydavosi, S.; Nocera, D.G.; Bulovic, V. Photo-Assisted Water Oxidation with Cobalt-Based Catalyst Formed from Thin-Film Cobalt Metal on Silicon Photoanodes. Energy Environ. Sci. 2011, 4, 2058–2061. [Google Scholar] [CrossRef]
- Pilli, S.K.; Furtak, T.E.; Brown, L.D.; Deutsch, T.G.; Turner, J.A.; Herring, A.M. Cobalt-Phosphate (Co-Pi) Catalyst Modified Mo-Doped BiVO4 Photoelectrodes for Solar Water Oxidation. Energy Environ. Sci. 2011, 4, 5028–5034. [Google Scholar] [CrossRef]
- McDonald, K.J.; Choi, K.-S. Photodeposition of Co-Based Oxygen Evolution Catalysts on α-Fe2O3 Photoanodes. Chem. Mater. 2011, 23, 1686–1693. [Google Scholar] [CrossRef]
- Windle, C.D.; Perutz, R.N. Advances in molecular photocatalytic and electrocatalytic CO2 reduction. Coord. Chem. Rev. 2012, 256, 2562–2570. [Google Scholar] [CrossRef]
- Franco, F.; Cometto, C.; Garino, C.; Minero, C.; Sordello, F.; Nervi, C.; Gobetto, R. Photo- and Electrocatalytic Reduction of CO2 by [Re(CO)3{α,α′-Diimine-(4-piperidinyl-1,8-naphthalimide)}Cl] Complexes. Eur. J. Inorg. Chem. 2015, 2015, 296–304. [Google Scholar] [CrossRef]
- Franco, F.; Cometto, C.; Ferrero Vallana, F.; Sordello, F.; Priola, E.; Minero, C.; Nervi, C.; Gobetto, R. A local proton source in a [Mn(bpy-R)(CO)Br]-type redox catalyst enables CO reduction even in the absence of Bronsted acids. Chem. Commun. (Cambridge, UK) 2014, 50, 14670–14673. [Google Scholar] [CrossRef]
- Costentin, C.; Robert, M.; Savéant, J.-M. Current Issues in Molecular Catalysis Illustrated by Iron Porphyrins as Catalysts of the CO2-to-CO Electrochemical Conversion. Acc. Chem. Res. 2015, 48, 2996–3006. [Google Scholar] [CrossRef]
- Yuan, Y.-J.; Yu, Z.-T.; Zhang, J.-Y.; Zou, Z.-G. A copper(i) dye-sensitised TiO2-based system for efficient light harvesting and photoconversion of CO2 into hydrocarbon fuel. Dalton Trans. 2012, 41, 9594–9597. [Google Scholar] [CrossRef]
- Roncali, J. Conjugated poly(thiophenes): Synthesis, functionalization, and applications. Chem. Rev. 1992, 92, 711–738. [Google Scholar] [CrossRef]
- Sun, H.; Hu, Z.; Zhong, C.; Zhang, S.; Sun, Z. Quantitative Estimation of Exciton Binding Energy of Polythiophene-Derived Polymers Using Polarizable Continuum Model Tuned Range-Separated Density Functional. J. Phys. Chem. C 2016, 120, 8048–8055. [Google Scholar] [CrossRef]
- Suppes, G.; Ballard, E.; Holdcroft, S. Aqueous photocathode activity of regioregular poly(3-hexylthiophene). Polym. Chem. 2013, 4, 5345–5350. [Google Scholar] [CrossRef]
- Kormányos, A.; Hursán, D.; Janáky, C. Photoelectrochemical Behavior of PEDOT/Nanocarbon Electrodes: Fundamentals and Structure—Property Relationships. J. Phys. Chem. C 2018, 122, 13682–13690. [Google Scholar] [CrossRef]
- Steier, L.; Holliday, S. A bright outlook on organic photoelectrochemical cells for water splitting. J. Mater. Chem. A 2018, 6, 21809–21826. [Google Scholar] [CrossRef]
- Kalaji, M.; Nyholm, L.; Peter, L.M.; Rudge, A.J. Photoelectrochemical properties of polyaniline films. J. Electroanal. Chem. Interfacial Electrochem. 1991, 310, 113–126. [Google Scholar] [CrossRef]
- Hursán, D.; Kormányos, A.; Rajeshwar, K.; Janáky, C. Polyaniline films photoelectrochemically reduce CO2 to alcohols. Chem. Commun. 2016, 52, 8858–8861. [Google Scholar] [CrossRef] [PubMed]
- Nattestad, A.; Perera, I.; Spiccia, L. Developments in and prospects for photocathodic and tandem dye-sensitized solar cells. J. Photochem. Photobiol. C Photochem. Rev. 2016, 28, 44–71. [Google Scholar] [CrossRef]
- Koppenol, W.H.; Rush, J.D. Reduction potential of the carbon dioxide/carbon dioxide radical anion: A comparison with other C1 radicals. J. Phys. Chem. 1987, 91, 4429–4430. [Google Scholar] [CrossRef]
- Johansson, T.; Mammo, W.; Svensson, M.; Andersson, M.R.; Inganäs, O. Electrochemical bandgaps of substituted polythiophenes. J. Mater. Chem. 2003, 13, 1316–1323. [Google Scholar] [CrossRef]
- Takahashi, Y.; Taura, S.; Akiyama, T.; Yamada, S. Electropolymerized Polythiophene Photoelectrodes with Density-Controlled Gold Nanoparticles. Langmuir 2012, 28, 9155–9160. [Google Scholar] [CrossRef] [PubMed]
- Alves-Santos, M.; Jorge, L.M.M.; Caldas, M.J.; Varsano, D. Electronic Structure of Interfaces between Thiophene and TiO2 Nanostructures. J. Phys. Chem. C 2014, 118, 13539–13544. [Google Scholar] [CrossRef]
- Sun, C.; Prosperini, S.; Quagliotto, P.; Viscardi, G.; Yoon, S.S.; Gobetto, R.; Nervi, C. Electrocatalytic Reduction of CO2 by Thiophene-substituted Rhenium(I) Complexes and by their Polymerized Films. Dalton Trans. 2016, 45, 14678–14688. [Google Scholar] [CrossRef]
- Egbe, D.A.M.; Amer, A.M.; Klemm, E. Improved synthesis of 4-bromo-2,2’-bipyridine: A start material for low-molecular-weight model compounds. Des. Monomers Polym. 2001, 4, 169–175. [Google Scholar] [CrossRef]
- Demnitz, F.W.J.; D’Heni, M.B. A HIGH YIELDING PREPARATION OF 2,2′-BIPYRIDINE-1-OXIDE. Org. Prep. Proced. Int. 1998, 30, 467–469. [Google Scholar] [CrossRef]
- Manca, P.; Pilo, M.I.; Casu, G.; Gladiali, S.; Sanna, G.; Scanu, R.; Spano, N.; Zucca, A.; Zanardi, C.; Bagnis, D.; et al. A new terpyridine tethered polythiophene: Electrosynthesis and characterization. J. Polym. Sci. Part A Polym. Chem. 2011, 49, 3513–3523. [Google Scholar] [CrossRef]
- Lee, T.-Y.; Shim, Y.-B.; Shin, S.C. Simple preparation of terthiophene-3′-carboxylic acid and characterization of its polymer. Synth. Met. 2002, 126, 105–110. [Google Scholar] [CrossRef]
- de Bettencourt-Dias, A.; Viswanathan, S.; Rollett, A. Thiophene-Derivatized Pybox and Its Highly Luminescent Lanthanide Ion Complexes. J. Am. Chem. Soc. 2007, 129, 15436–15437. [Google Scholar] [CrossRef]
- Collis, G.E.; Burrell, A.K.; Scott, S.M.; Officer, D.L. Toward Functionalized Conducting Polymers: Synthesis and Characterization of Novel β-(Styryl)terthiophenes. J. Org. Chem. 2003, 68, 8974–8983. [Google Scholar] [CrossRef]
- Quagliotto, P.; Barbero, N.; Barolo, C.; Buscaino, R.; Carfora, P.; Prosperini, S.; Viscardi, G. Water based surfactant-assisted synthesis of thienylpyridines and thienylbipyridine intermediates. Dyes Pigm. 2017, 137, 468–479. [Google Scholar] [CrossRef]
- Quagliotto, P.; Prosperini, S.; Viscardi, G. Improved Synthesis of a Terthiophene-Based Monomeric Ligand That Forms a Highly Active Polymer for the Carbon Dioxide Reduction. Lett. Org. Chem. 2017, 14, 472–478. [Google Scholar] [CrossRef]
- Tauc, J. Optical properties of amorphous semiconductors. In Amorphous and Liquid Semiconductor; Tauc, J., Ed.; Plenum Publ. Co: New York, NY, USA, 1974; pp. 159–220. [Google Scholar]
- Makuła, P.; Pacia, M.; Macyk, W. How To Correctly Determine the Band Gap Energy of Modified Semiconductor Photocatalysts Based on UV–Vis Spectra. J. Phys. Chem. Lett. 2018, 9, 6814–6817. [Google Scholar] [CrossRef]
- Suarez-Herrera, M.F.; Feliu, J.M. Electrochemical Properties of Thin Films of Polythiophene Polymerized on Basal Plane Platinum Electrodes in Nonaqueous Media. J. Phys. Chem. B 2009, 113, 1899–1905. [Google Scholar] [CrossRef] [PubMed]
- Chen, X.; Inganäs, O. Three-Step Redox in Polythiophenes: Evidence from Electrochemistry at an Ultramicroelectrode. J. Phys. Chem. 1996, 100, 15202–15206. [Google Scholar] [CrossRef]
- Sordello, F.; Berruti, I.; Gionco, C.; Paganini, M.C.; Calza, P.; Minero, C. Photocatalytic performances of rare earth element-doped zinc oxide toward pollutant abatement in water and wastewater. Appl. Catal. B Environ. 2019, 245, 159–166. [Google Scholar] [CrossRef]
- Ernè, B.H.; Vanmaekelbergh, D.; Kelly, J.J. Morphology and strongly enhanced photoresponse of GaP electrodes made porous by anodic etching. J. Electrochem. Soc. 1996, 143, 305–314. [Google Scholar] [CrossRef]
- Konstantinov, A.O.; Harris, C.I.; Janzen, E. Electrical properties and formation mechanism of porous silicon carbide. Appl. Phys. Lett. 1994, 65, 2699–2701. [Google Scholar] [CrossRef]
- Fabregat-Santiago, F.; Mora-Sero, I.; Garcia-Belmonte, G.; Bisquert, J. Cyclic voltammetry studies of nanoporous semiconductors. Capacitive and reactive properties of nanocrystalline TiO2 electrodes in aqueous electrolyte. J. Phys. Chem. B 2003, 107, 758–768. [Google Scholar] [CrossRef]
- Bredas, J.L.; Street, G.B. Polarons, bipolarons, and solitons in conducting polymers. Acc. Chem. Res. 1985, 18, 309–315. [Google Scholar] [CrossRef]
- Monllor-Satoca, D.; Gómez, R. Electrochemical Method for Studying the Kinetics of Electron Recombination and Transfer Reactions in Heterogeneous Photocatalysis: The Effect of Fluorination on TiO2 Nanoporous Layers. J. Phys. Chem. C 2007, 112, 139–147. [Google Scholar] [CrossRef]
- Sordello, F.; Maurino, V.; Minero, C. Photoelectrochemical study of TiO2 inverse opals. J. Mater. Chem. 2011, 21, 19144–19152. [Google Scholar] [CrossRef]
- Cutler, C.A.; Burrell, A.K.; Collis, G.E.; Dastoor, P.C.; Officer, D.L.; Too, C.O.; Wallace, G.G. Photoelectrochemical cells based on polymers and copolymers from terthiophene and nitrostyrylterthiophene. Synth. Met. 2001, 123, 225–237. [Google Scholar] [CrossRef]
- Cutler, C.A.; Burrell, A.K.; Officer, D.L.; Too, C.O.; Wallace, G.G. Effect of electron withdrawing or donating substituents on the photovoltaic performance of polythiophenes. Synth. Met. 2002, 128, 35–42. [Google Scholar] [CrossRef]











| Sample | Eg (eV, ±0.05) |
|---|---|
| PTABP | 2.25 |
| PTBP | 2.45 |
| P(TABP-co-T) | 1.90 |
| P(TBP-co-T) | 2.05 |
| PT | 2.05 |
| Sample | ΔVph (V) | pph (1019 cm−3) | kr (10−3s−1) a | kr (10−3 s−1) b |
|---|---|---|---|---|
| PTABP | 0.28 ± 0.02 | 1.2 ± 0.1 | 15 ± 1 | 17.9 ± 0.7 |
| PTBP | 0.86 ± 0.03 | 1.1 ± 0.2 | 18 ± 2 | 110 ± 20 |
| P(TABP-co-T) | 0.43 ± 0.01 | 1.4 ± 0.1 | 7.0 ± 0.8 | 8.0 ± 0.4 |
© 2019 by the authors. Licensee MDPI, Basel, Switzerland. This article is an open access article distributed under the terms and conditions of the Creative Commons Attribution (CC BY) license (http://creativecommons.org/licenses/by/4.0/).
Share and Cite
Sordello, F.; Minero, C.; Viscardi, G.; Quagliotto, P. Highly Photoactive Polythiophenes Obtained by Electrochemical Synthesis from Bipyridine-Containing Terthiophenes. Energies 2019, 12, 341. https://doi.org/10.3390/en12030341
Sordello F, Minero C, Viscardi G, Quagliotto P. Highly Photoactive Polythiophenes Obtained by Electrochemical Synthesis from Bipyridine-Containing Terthiophenes. Energies. 2019; 12(3):341. https://doi.org/10.3390/en12030341
Chicago/Turabian StyleSordello, Fabrizio, Claudio Minero, Guido Viscardi, and Pierluigi Quagliotto. 2019. "Highly Photoactive Polythiophenes Obtained by Electrochemical Synthesis from Bipyridine-Containing Terthiophenes" Energies 12, no. 3: 341. https://doi.org/10.3390/en12030341
APA StyleSordello, F., Minero, C., Viscardi, G., & Quagliotto, P. (2019). Highly Photoactive Polythiophenes Obtained by Electrochemical Synthesis from Bipyridine-Containing Terthiophenes. Energies, 12(3), 341. https://doi.org/10.3390/en12030341

