Economic Dispatch of BESS and Renewable Generators in DC Microgrids Using Voltage-Dependent Load Models
Abstract
1. Introduction
2. Mathematical Model
- If , then and , implying that the ZIP model takes only the component associated with the power, i.e., the constant power representation, which is completely equivalent to in the exponential model.
- If , then and , implying that the ZIP model takes only the component associated with the current, i.e., the constant current representation, which is completely equivalent to in the exponential model.
- If , then and , implying that the ZIP model takes only the component associated with the impedance, i.e., the constant impedance representation, which is completely equivalent to in the exponential model.
3. Short-Term Forecasting for Renewable Generation
3.1. An Artificial Neural Network
3.2. The Nonlinear Autoregressive Exogenous Neural Network
4. Proposed Solution Method
- ✓
- It is possible to use a compact formulation by implementing a set representation.
- ✓
- Its mathematical structure preserves the same nature of the symbolic model, which facilitates numerical implementation.
- ✓
- It can solve a range of problems, from linear programming optimization problems to nonlinear mixed-integer programming problems (non-convex formulations).
- ✓
- It has a free version for demonstration, so it is useful for introducing engineering students to mathematical optimization.
- ✓
- The implementation of any mathematical model in GAMS only requires basic programming skills. In addition, it uses a unique plain interface with reserve words that facilitate their mathematical implementations.
Basic Elements for GAMS Implementation
| Algorithm 1: The main steps of implementing an optimization model in GAMS. |
| Data: Selection of the test system. Sets Definition of sets, scalar, parameters (constant vectors), and tables (constant matrices).; Variables: Determine the nature of variables, e.g., binary, integer, or continuous.; Equations: Write the set of equations that represent the optimization problem, i.e., (1)–(10).; Solution: Solve the mathematical model using an NLP solver for minimization.; Visualization: Print the variables of interest, i.e., states of charge in batteries or voltages.; Result: Optimal scheme for scheduling BESS in DC microgrids. |
5. Test System and Simulation Scenarios
5.1. The 30-Node Test System
5.2. Simulation Scenarios
- Scenario 1 (): Optimal dispatch with the BESS starting and finishing the daily operation in the totally discharged state.
- Scenario 2 (): Optimal dispatch with the BESS starting and finishing the daily operation with a 50% charge, with the possibility that the states of charge vary from 0% to 100% during the day.
- Scenario 3 (): Optimal dispatch with the BESS starting and finishing the daily operation with a 50% charge, with the possibility that the states of charge vary from 50% to 100% during the day.
6. Numerical Results
6.1. Comparison between Real and Projected Cases
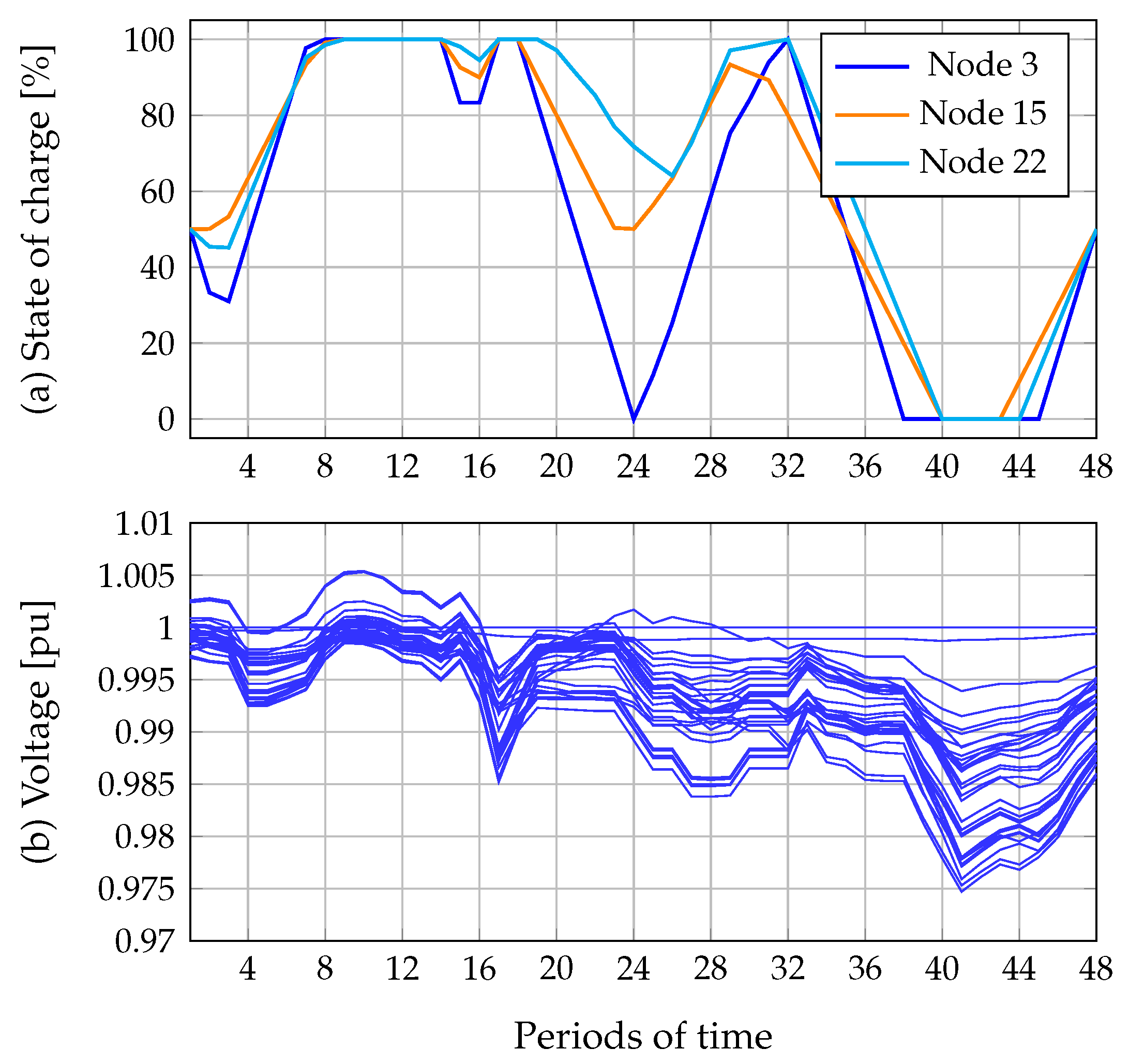
6.2. Additional Results
- During the first eight periods (4 h), all batteries achieve 100% load. This behavior can be attributed to the possibility of buying energy at low prices during this period, which also coincides with low power consumption.
- Between Periods 18 and 24, the batteries experience continuous discharges. This behavior coincides with high increases in load consumption, while photovoltaic generation is simultaneously increasing from zero to its maximum; this implies that not all the capability of renewable generation is available to supply all the demand. For this reason, the batteries help to supply it.
- Between Periods 24 and 32, the batteries begin to charge until they reach maximum values, taking advantage of the renewable generation peaks.
- When the load reaches the maximum value and photovoltaic power generation starts to decrease, all the batteries discharge their available power to reduce the cost. This occurs from Period 32 to 40.
- Finally, from Period 43 (and Period 44), all the batteries start to increase their states of charge from 0% until the end of the daily operation, at which time they are at 50%. These changes in the states of charge of all the batteries occur after Period 43 since the cost of power generation is lower at this time, which also coincides with low power consumption.
7. Conclusions and Future Works
Supplementary Materials
Author Contributions
Acknowledgments
Conflicts of Interest
Appendix A. Numerical Example

| Node i | Node j | Resistance [pu] | CPL (Node j) [pu] |
|---|---|---|---|
| 1 | 2 | 0.0050 | 0.40 |
| 2 | 3 | 0.0025 | 0.00 |
| 1 | 4 | 0.0040 | 0.35 |
| 4 | 5 | 0.0020 | 0.50 |
| 2 | 4 | 0.0020 | — |

| SETS |
| t Set of~times /t1*t24/ |
| i Set of~nodes /N1*N5/ |
| g Set of~convetional generators /G1/ |
| gd Set of~distributed generators /GD1/ |
| b Set of~batteries /B1/ |
| map(g,i) Relates nodes and Conv. Gen. /G1.N1/ |
| mapgd(gd,i) Relates nodes and Dist. Gen. /GD1.N3/ |
| mapb(b,i) Relates nodes and Batteries /B1.N4/; |
| SCALAR |
| Sb Base of~power [kW] /100/ |
| Dt Delta of~time [h] /1.0/; |
| ALIAS(i,j); |
| TABLE Gbus(i,j) Admittance matrix [p.u] |
| N1 N2 N3 N4 N5 |
| N1 450 -200 0 -250 0 |
| N2 -200 1100 -400 -500 0 |
| N3 0 -400 400 0 0 |
| N4 -250 -500 0 1150 -400 |
| N5 0 0 0 -400 400 |
| TABLE Load(i,*) Demand information [p.u] |
| PL |
| N1 0.00 |
| N2 0.40 |
| N3 0.00 |
| N4 0.35 |
| N5 0.50 |
| TABLE CV(t,*) Cost [$/kW] and load variation [p.u] |
| Cost Var |
| t1 0.770 0.34 |
| t2 0.710 0.22 |
| t3 0.690 0.22 |
| t4 0.700 0.18 |
| t5 0.720 0.18 |
| t6 0.800 0.22 |
| t7 0.870 0.28 |
| t8 0.910 0.40 |
| t9 0.880 0.62 |
| t10 0.910 0.72 |
| t11 0.910 0.84 |
| t12 0.910 0.90 |
| t13 0.900 0.94 |
| t14 0.895 0.90 |
| t15 0.895 0.86 |
| t16 0.900 0.90 |
| t17 0.925 0.90 |
| t18 0.945 0.86 |
| t19 0.925 1.00 |
| t20 0.905 0.92 |
| t21 0.875 0.98 |
| t22 0.825 0.90 |
| t23 0.755 0.76 |
| t24 0.685 0.58 |
| TABLE Gend(t,gd) Wind turbine power [p.u] |
| GD1 |
| t1 0.491746506 |
| t2 0.468282938 |
| t3 0.452321598 |
| t4 0.440593128 |
| t5 0.442434522 |
| t6 0.462949470 |
| t7 0.542106738 |
| t8 0.658875156 |
| t9 0.732416360 |
| t10 0.778458598 |
| t11 0.767274808 |
| t12 0.745063928 |
| t13 0.733924020 |
| t14 0.734122492 |
| t15 0.730361338 |
| t16 0.726223540 |
| t17 0.694916588 |
| t18 0.646582836 |
| t19 0.544928278 |
| t20 0.499666060 |
| t21 0.469398008 |
| t22 0.406462266 |
| t23 0.319635270 |
| t24 0.284079772; |
| TABLE Batt(b,*) Battery operation rank |
| SoCmin SoCmax SoCi SoCf Phi PbD PbC |
| * [%] [%] [%] [%] [p.u] [p.u] [p.u] |
| B1 0.0 1.0 0.0 0.0 0.8 0.3125 -0.25; |
| VARIABLES} |
| z Objective function variable |
| v(i,t) Nodal voltage [p.u] |
| p(g,t) Conventional power generation [p.u] |
| pgd(gd,t) Distributed power generation [p.u] |
| SoC(b,t) State-of-Charge of~the battery |
| pb(b,t) Power input/output in the battery [p.u]; |
| pgd.lo(gd,t) = 0; |
| pgd.up(gd,t) = Gend(t,gd); |
| pb.lo(b,t) = Batt(b,’PbC’); |
| pb.up(b,t) = Batt(b,’PbD’); |
| SoC.lo(b,t) = Batt(b,’SoCmin’); |
| SoC.up(b,t) = Batt(b,’SoCmax’); |
| SoC.fx(b,’t1’) = Batt(b,’SoCini’); |
| SoC.fx(b,’t24’) = Batt(b,’SoCfin’); |
| v.lo(i,t) = 0.95; v.up(i,t) = 1.05; |
| v.fx(’N1’,t) = 1.0; p.lo(g,t) = 0; |
| EQUATIONS |
| Fo Objetive function equation |
| Balance(i,t) Power balance |
| States(b,t) State of~the battery; |
| Fo.. z=e=Sb*sum(g,sum(t,CV(t,’Cost’)*p(g,t)))*Dt; |
| Balance(i,t).. SUM(g$map(g,i),p(g,t)) + |
| SUM(gd$mapgd(gd,i),pgd(gd,t))+ |
| SUM(b$mapb(b,i),pb(b,t)) - |
| Load(i,’PL’)*(CV(t,’Var’))*(v(i,t)**2) |
| =e= SUM(j,Gbus(i,j)*v(i,t)*v(j,t)); |
| States(b,t).. SoC(b,t) =e= SoC(b,t-1)$(ORD(t) |
| gt 1) + Batt(b,’SoCini’)$(ord(t) eq 1) - |
| Batt(b,’Phi’)*Pb(b,t); |
| MODEL Eco_Disp_Batts /all/; |
| SOLVE Eco_Disp_Batts using NLP minimizing z; |
| DISPLAY z.l; |
| Model | Objective Function z [$] |
|---|---|
| Without BESS | 622.7769 |
| With BESS | 506.6114 |

References
- Mutarraf, M.; Terriche, Y.; Niazi, K.; Vasquez, J.; Guerrero, J. Energy storage systems for shipboard microgrids—A review. Energies 2018, 11, 3492. [Google Scholar] [CrossRef]
- Hu, J.; Shan, Y.; Xu, Y.; Guerrero, J.M. A coordinated control of hybrid ac/dc microgrids with pv-wind-battery under variable generation and load conditions. Int. J. Electr. Power Energy Syst. 2019, 104, 583–592. [Google Scholar] [CrossRef]
- Gil-González, W.; Montoya, O.D.; Holguín, E.; Garces, A.; Grisales-Noreña, L.F. Economic dispatch of energy storage systems in dc microgrids employing a semidefinite programming model. J. Energy Storage 2019, 21, 1–8. [Google Scholar] [CrossRef]
- Zou, D.; Li, S.; Kong, X.; Ouyang, H.; Li, Z. Solving the combined heat and power economic dispatch problems by an improved genetic algorithm and a new constraint handling strategy. Appl. Energy 2019, 237, 646–670. [Google Scholar] [CrossRef]
- Zia, M.F.; Elbouchikhi, E.; Benbouzid, M.; Guerrero, J. Energy management system for an islanded microgrid with convex relaxation. IEEE Trans. Ind. Appl. 2019. [Google Scholar] [CrossRef]
- Ma, W.-J.; Wang, J.; Lu, X.; Gupta, V. Optimal operation mode selection for a dc microgrid. IEEE Trans. Smart Grid 2016, 7, 2624–2632. [Google Scholar] [CrossRef]
- Baros, D.; Voglitsis, D.; Papanikolaou, N.P.; Kyritsis, A.; Rigogiannis, N. Wireless Power Transfer for Distributed Energy Sources Exploitation in DC Microgrids. IEEE Trans. Sustain. Energy 2019, 10, 2039–2049. [Google Scholar] [CrossRef]
- Montoya, O.D.; Grajales, A.; Garces, A.; Castro, C.A. Distribution systems operation considering energy storage devices and distributed generation. IEEE Lat. Am. Trans. 2017, 15, 890–900. [Google Scholar] [CrossRef]
- Rahmani-Andebili, M. Stochastic, adaptive, and dynamic control of energy storage systems integrated with renewable energy sources for power loss minimization. Renew. Energy 2017, 113, 1462–1471. [Google Scholar] [CrossRef]
- Rodríguez, F.; Fleetwood, A.; Galarza, A.; Fontán, L. Predicting solar energy generation through artificial neural networks using weather forecasts for microgrid control. Renew. Energy 2018, 126, 855–864. [Google Scholar] [CrossRef]
- Home-Ortiz, J.M.; Pourakbari-Kasmaei, M.; Lehtonen, M.; Mantovani, J.R.S. Optimal location-allocation of storage devices and renewable-based DG in distribution systems. Electr. Power Syst. Res. 2019, 172, 11–21. [Google Scholar] [CrossRef]
- Zolfaghari, M.; Ghaffarzadeh, N.; Ardakani, A.J. Optimal sizing of battery energy storage systems in off-grid micro grids using convex optimization. J. Energy Storage 2019, 23, 44–56. [Google Scholar] [CrossRef]
- Wu, X.; Hu, X.; Yin, X.; Zhang, C.; Qian, S. Optimal battery sizing of smart home via convex programming. Energy 2017, 140, 444–453. [Google Scholar] [CrossRef]
- Zheng, Y.; Hill, D.J.; Dong, Z.Y. Multi-Agent Optimal Allocation of Energy Storage Systems in Distribution Systems. IEEE Trans. Sustain. Energy 2017, 8, 1715–1725. [Google Scholar] [CrossRef]
- Zheng, Y.; Dong, Z.Y.; Luo, F.J.; Meng, K.; Qiu, J.; Wong, K.P. Optimal Allocation of Energy Storage System for Risk Mitigation of DISCOs With High Renewable Penetrations. IEEE Trans. Power Syst. 2014, 29, 212–220. [Google Scholar] [CrossRef]
- Mehmood, K.; Khan, S.U.; Lee, S.; Haider, Z.M.; Rafique, M.K.; Kim, C. Optimal sizing and allocation of battery energy storage systems with wind and solar power DGs in a distribution network for voltage regulation considering the lifespan of batteries. IET Renew. Power Gener. 2017, 11, 1305–1315. [Google Scholar] [CrossRef]
- Lakshmi, S.; Ganguly, S. Multi-objective planning for the allocation of PV-BESS integrated open UPQC for peak load shaving of radial distribution networks. J. Energy Storage 2019, 22, 208–218. [Google Scholar] [CrossRef]
- Yamchi, H.B.; Shahsavari, H.; Kalantari, N.T.; Safari, A.; Farrokhifar, M. A cost-efficient application of different battery energy storage technologies in microgrids considering load uncertainty. J. Energy Storage 2019, 22, 17–26. [Google Scholar] [CrossRef]
- Das, C.K.; Bass, O.; Kothapalli, G.; Mahmoud, T.S.; Habibi, D. Optimal placement of distributed energy storage systems in distribution networks using artificial bee colony algorithm. Appl. Energy 2018, 232, 212–228. [Google Scholar] [CrossRef]
- Wong, L.A.; Ramachandaramurthy, V.K.; Taylor, P.; Ekanayake, J.; Walker, S.L.; Padmanaban, S. Review on the optimal placement, sizing and control of an energy storage system in the distribution network. J. Energy Storage 2019, 21, 489–504. [Google Scholar] [CrossRef]
- Montoya, D.; Grajales, A.; Grisales, L.F.; Castro, C.A. Optimal Location and Operation of Energy Storage Devices in Microgrids in Presence of Distributed Generation (in Spanish). Rev. Cintex 2017, 22, 97–117. [Google Scholar]
- Amosa, M.K.; Majozi, T. GAMS supported optimization and predictability study of a multi-objective adsorption process with conflicting regions of optimal operating conditions. Comput. Chem. Eng. 2016, 94, 354–361. [Google Scholar] [CrossRef]
- Naghiloo, A.; Abbaspour, M.; Mohammadi-Ivatloo, B.; Bakhtari, K. GAMS based approach for optimal design and sizing of a pressure retarded osmosis power plant in Bahmanshir river of Iran. Renew. Sustain. Energy Rev. 2015, 52, 1559–1565. [Google Scholar] [CrossRef]
- Shen, Z.; Wei, Z.; Sun, G.; Chen, S. Representing ZIP loads in convex relaxations of optimal power flow problems. Int. J. Electr. Power Energy Syst. 2019, 110, 372–385. [Google Scholar] [CrossRef]
- Samui, A.; Samantaray, S. An active islanding detection scheme for inverter-based DG with frequency dependent ZIP–Exponential static load model. Int. J. Electr. Power Energy Syst. 2016, 78, 41–50. [Google Scholar] [CrossRef]
- Mirakyan, A.; Meyer-Renschhausen, M.; Koch, A. Composite forecasting approach, application for next-day electricity price forecasting. Energy Econ. 2017, 66, 228–237. [Google Scholar] [CrossRef]
- Yang, X.; Xu, M.; Xu, S.; Han, X. Day-ahead forecasting of photovoltaic output power with similar cloud space fusion based on incomplete historical data mining. Appl. Energy 2017, 206, 683–696. [Google Scholar] [CrossRef]
- Chen, S.; Gooi, H.; Wang, M. Solar radiation forecast based on fuzzy logic and neural networks. Renew. Energy 2013, 60, 195–201. [Google Scholar] [CrossRef]
- Sivaneasan, B.; Yu, C.; Goh, K. Solar Forecasting using ANN with Fuzzy Logic Pre-processing. Energy Procedia 2017, 143, 727–732. [Google Scholar] [CrossRef]
- Kim, J.; Moon, J.; Hwang, E.; Kang, P. Recurrent inception convolution neural network for multi short-term load forecasting. Energy Build. 2019, 194, 328–341. [Google Scholar] [CrossRef]
- Morales-Ruiz, J.C. Economic Dispatch Model for Colombian Electricity Market; Tech. Rep.; Expertos en Mercados: Medellin, Colombia, 2009; Available online: http://www.xm.com.co/BoletinXM/Documents/XMDIALOG09.pdf (accessed on 10 July 2019).
- Escobar-Dávila, L.F.; Montoya-Giraldo, O.D.; Giraldo-Buitrago, D. Global Control of the Furuta Pendulum Using Artificial Neural Networks and Feedback of State Variables. TecnoLogicas 2013, 71–94. (In Spanish) [Google Scholar] [CrossRef]
- Zhang, B.; Xu, X.; Li, X.; Chen, X.; Ye, Y.; Wang, Z. Sentiment analysis through critic learning for optimizing convolutional neural networks with rules. Neurocomputing 2019, 356, 21–30. [Google Scholar] [CrossRef]
- Castillo, E.; Conejo, A.; Pedregal, P.; García, R. Alguacil, Building and Solving Mathematical Programming Models in Engineering and Science, Pure and Applied Mathematics: A Wiley Series of Texts, Monographs and Tracts; Wiley: New York, NY, USA, 2001. [Google Scholar] [CrossRef]
- GAMS Development Corp. GAMS Free Demo Version. Available online: https://www.gams.com/download/ (accessed on 15 July 2019).
- Montoya, D. Solving a Classical Optimization Problem Using GAMS Optimizer Package: Economic Dispatch Problem Implementation. Ingeniería y Ciencia 2017, 13, 39–63. [Google Scholar] [CrossRef]
- Centelsa. Wires for Medium and High Voltage Levels. Available online: http://www.centelsa.com/pdf/Cables-Media-alta-Tension.pdf (accessed on 10 July 2019).
- Kocer, M.C.; Cengiz, C.; Gezer, M.; Gunes, D.; Cinar, M.A.; Alboyaci, B.; Onen, A. Assessment of Battery Storage Technologies for a Turkish Power Network. Sustainability 2019, 11, 3669. [Google Scholar] [CrossRef]
- Wang, P.; Wang, W.; Xu, D. Optimal Sizing of Distributed Generations in DC Microgrids with Comprehensive Consideration of System Operation Modes and Operation Targets. IEEE Access 2018, 31129–31140. [Google Scholar] [CrossRef]
- Data, S.S.R. Time Series of Solar Radiation Data. Available online: http://www.soda-pro.com/ (accessed on 5 July 2019).







| Photovoltaic | Wind | ||
|---|---|---|---|
| Inputs | Output | Inputs | Output |
| Temperature | Solar Radiation | Temperature | Wind speed |
| Humidity | |||
| Time | Pressure | ||
| Time | |||
| Type | Caliber AWG/kcmil | Resistance [km] | Max. Current [A] |
|---|---|---|---|
| 1 | 4 | 1.360 | 138 |
| 2 | 2 | 0.854 | 185 |
| 3 | 266.8 | 0.213 | 443 |
| Node i | Node j | Type of Conductor | Length [km] | [kW] |
|---|---|---|---|---|
| 1 | 2 | 1 | 1.75 | 100 |
| 1 | 3 | 3 | 1.25 | 0 |
| 3 | 4 | 1 | 0.75 | 500 |
| 4 | 5 | 1 | 0.25 | 350 |
| 5 | 6 | 1 | 0.40 | 150 |
| 3 | 7 | 1 | 0.50 | 0 |
| 7 | 8 | 1 | 0.45 | 400 |
| 7 | 9 | 1 | 0.80 | 300 |
| 3 | 10 | 3 | 1.85 | 0 |
| 10 | 11 | 1 | 0.75 | 400 |
| 11 | 12 | 1 | 1.00 | 175 |
| 12 | 13 | 1 | 0.40 | 225 |
| 10 | 14 | 3 | 0.85 | 0 |
| 14 | 15 | 3 | 1.70 | 0 |
| 15 | 16 | 1 | 0.52 | 0 |
| 16 | 17 | 1 | 0.15 | 200 |
| 16 | 18 | 1 | 0.42 | 150 |
| 14 | 19 | 2 | 0.28 | 0 |
| 19 | 20 | 2 | 0.35 | 250 |
| 19 | 21 | 2 | 0.45 | 150 |
| 21 | 22 | 2 | 0.75 | 0 |
| 22 | 23 | 2 | 0.26 | 600 |
| 22 | 24 | 2 | 0.34 | 500 |
| 22 | 25 | 2 | 0.17 | 300 |
| 18 | 26 | 2 | 0.85 | 450 |
| 26 | 27 | 1 | 0.42 | 200 |
| 15 | 28 | 1 | 1.40 | 100 |
| 28 | 29 | 1 | 0.75 | 150 |
| 23 | 30 | 1 | 0.82 | 200 |
| Location | Energy [kWh] | Time of Charge/Discharge [h] |
|---|---|---|
| 3 | 1500 | 3 |
| 15 | 2000 | 5 |
| 22 | 1200 | 4 |
| Case | |||||
|---|---|---|---|---|---|
| Scenario 1 | |||||
| Real | 18.4526 | 18.2860 | 18.1239 | 17.9661 | 17.8121 |
| Expected | 18.2310 | 18.0668 | 17.9069 | 17.7513 | 17.5994 |
| Scenario 2 | |||||
| Real | 18.4336 | 18.2631 | 18.0973 | 17.9358 | 17.7784 |
| Expected | 18.2122 | 18.0441 | 17.8805 | 17.7212 | 17.5659 |
| Scenario 3 | |||||
| Real | 18.6883 | 18.5133 | 18.3432 | 18.1776 | 18.0164 |
| Expected | 18.4665 | 18.2939 | 18.1260 | 17.9627 | 17.8036 |
© 2019 by the authors. Licensee MDPI, Basel, Switzerland. This article is an open access article distributed under the terms and conditions of the Creative Commons Attribution (CC BY) license (http://creativecommons.org/licenses/by/4.0/).
Share and Cite
Montoya, O.D.; Gil-González, W.; Grisales-Noreña, L.; Orozco-Henao, C.; Serra, F. Economic Dispatch of BESS and Renewable Generators in DC Microgrids Using Voltage-Dependent Load Models. Energies 2019, 12, 4494. https://doi.org/10.3390/en12234494
Montoya OD, Gil-González W, Grisales-Noreña L, Orozco-Henao C, Serra F. Economic Dispatch of BESS and Renewable Generators in DC Microgrids Using Voltage-Dependent Load Models. Energies. 2019; 12(23):4494. https://doi.org/10.3390/en12234494
Chicago/Turabian StyleMontoya, Oscar Danilo, Walter Gil-González, Luis Grisales-Noreña, César Orozco-Henao, and Federico Serra. 2019. "Economic Dispatch of BESS and Renewable Generators in DC Microgrids Using Voltage-Dependent Load Models" Energies 12, no. 23: 4494. https://doi.org/10.3390/en12234494
APA StyleMontoya, O. D., Gil-González, W., Grisales-Noreña, L., Orozco-Henao, C., & Serra, F. (2019). Economic Dispatch of BESS and Renewable Generators in DC Microgrids Using Voltage-Dependent Load Models. Energies, 12(23), 4494. https://doi.org/10.3390/en12234494

