Development and Analysis of a Multi-Node Dynamic Model for the Simulation of Stratified Thermal Energy Storage
Abstract
:1. Introduction
Literature Review
- 0D models, comprising analytical and fully-mixed approaches;
- 1D models, including moving boundary, plug-flow and multi-node models;
- 2D-3D models, containing multi-zone models and CFD techniques.
2. Materials and Methods
Model Implementation
- Incoming mass flow rates and their related temperatures for each node;
- Outgoing mass flow rates for each node but one (orange arrow in Figure 3) that is calculated by the model through the mass conservation equation.
3. Results
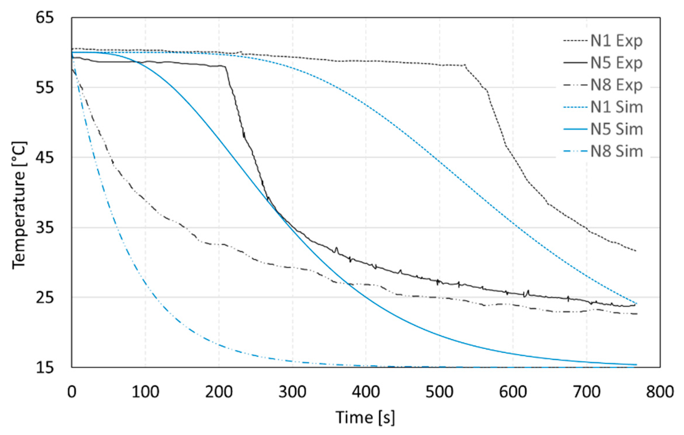
3.1. Model Analysis—Charge Phase
3.1.1. Settings
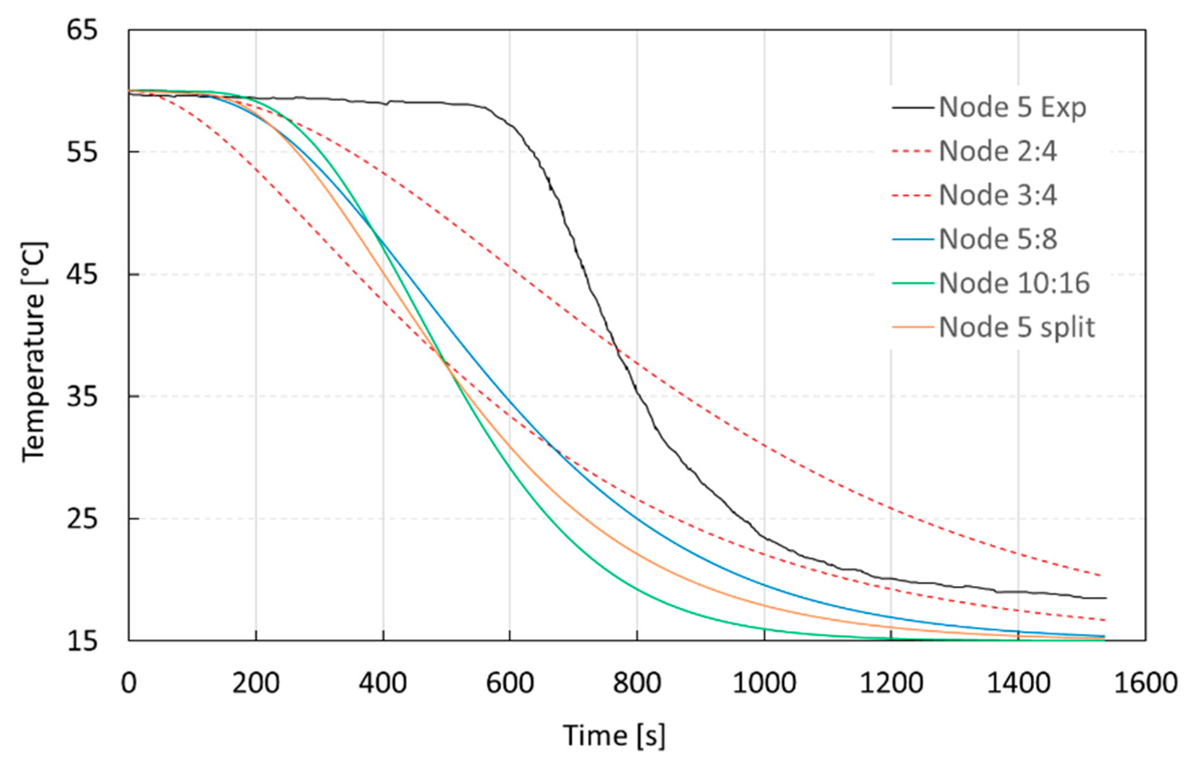
3.1.2. Sensitivity Analysis
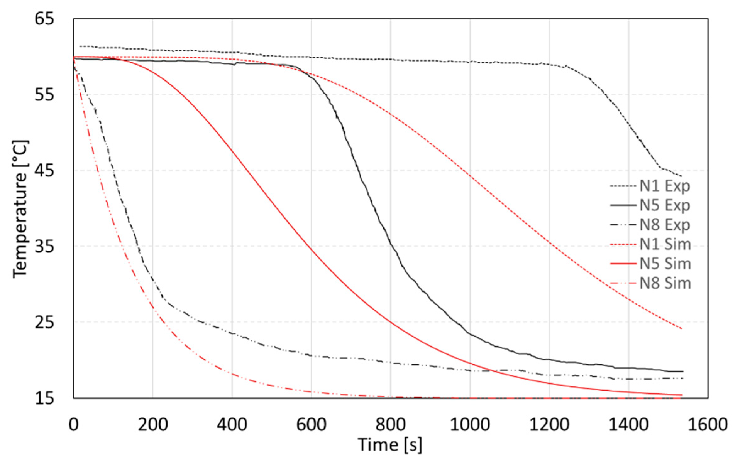
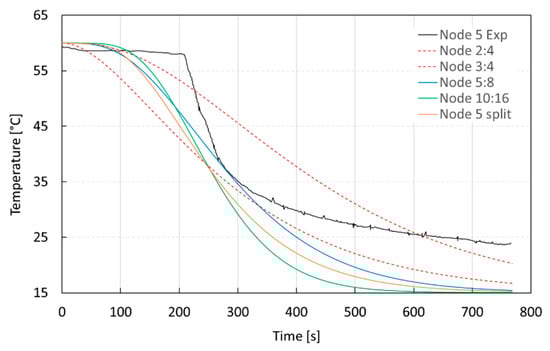
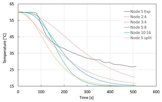
3.2. Model Analysis—Discharge Phase
3.2.1. Settings
3.2.2. Sensitivity Analysis
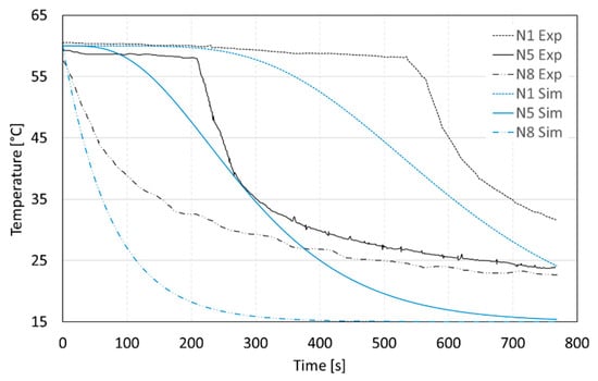
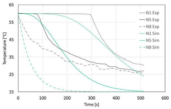
3.3. Model Application
3.3.1. Settings
3.3.2. Simulation Results
4. Discussion
Author Contributions
Funding
Conflicts of Interest
Nomenclature
| A | m2 | area |
| E | J | energy |
| M | Kg | mass |
| W | heat flow | |
| T | °C | temperature |
| U | W/(m2·K) | overall heat exchange coefficient |
| m3/s | volume flow | |
| c | J/(kg·K) | specific heat |
| h | J/(kg·K) | specific enthalpy |
| k | W/K | conduction constant |
| kg/s | mass flow rate | |
| t | s | time |
Subscripts and Superscripts
| amb. | ambient |
| i | index |
| in | incoming |
| out | outgoing |
| vert | vertical |
References
- Sharma, A.; Tyagi, V.V.; Chen, C.R.; Buddhi, D. Review on thermal energy storage with phase change materials and applications. Renew. Sustain. Energy Rev. 2009, 13, 318–345. [Google Scholar] [CrossRef]
- Nkwetta, D.N.; Haghighat, F. Thermal energy storage with phase change material—A state-of-the art review. Sustain. Cities Soc. 2014, 10, 87–100. [Google Scholar] [CrossRef]
- Barbieri, E.S.; Melino, F.; Morini, M. Influence of the thermal energy storage on the profitability of micro-CHP systems for residential building applications. Appl. Energy 2012, 97, 714–722. [Google Scholar] [CrossRef]
- Ibrahim, H.; Ilinca, A.; Perron, J. Energy storage systems-Characteristics and comparisons. Renew. Sustain. Energy Rev. 2008, 12, 1221–1250. [Google Scholar] [CrossRef]
- Dincer, I.; Rosen, M.A. Thermal Energy Storage: Systems and Applications, 2nd ed.; John Wiley & Sons: Oshawa, ON, Canada, 2011. [Google Scholar]
- Gambarotta, A.; Morini, M.; Rossi, M.; Stonfer, M. A Library for the Simulation of Smart Energy Systems: The Case of the Campus of the University of Parma. Energy Procedia 2017, 105, 1776–1781. [Google Scholar] [CrossRef]
- Cadau, N.; De Lorenzi, A.; Gambarotta, A.; Morini, M.; Saletti, C. A Model-in-the-Loop application of a Predictive Controller to a District Heating system. Energy Procedia 2018, 148, 352–359. [Google Scholar] [CrossRef]
- Dainese, C.; Faè, M.; Gambarotta, A.; Morini, M.; Premoli, M.; Randazzo, G.; Rossi, M.; Rovati, M.; Saletti, C. Development and application of a Predictive Controller to a mini district heating network fed by a biomass boiler. Energy Procedia 2019, 159, 48–53. [Google Scholar] [CrossRef]
- Gambarotta, A.; Morini, M.; Saletti, C. Development of a Model-based Predictive Controller for a heat distribution network. Energy Procedia 2018, 2896–2901. [Google Scholar] [CrossRef]
- Kalaiselvam, S.; Parameshwaran, R. Thermal Energy Storage Technologies for Sustainability, 1st ed.; Academic Press: Cambridge, MA, USA, 2014. [Google Scholar]
- Ould Amrouche, S.; Rekioua, D.; Rekioua, T.; Bacha, S. Overview of energy storage in renewable energy systems. Int. J. Hydrog. Energy 2016, 41, 20914–20927. [Google Scholar] [CrossRef]
- Sarbu, I.; Sebarchievici, C. A Comprehensive Review of Thermal Energy Storage. Sustainability 2018, 10, 191. [Google Scholar] [CrossRef]
- Noro, M.; Lazzarin, R.M.; Busato, F. Solar cooling and heating plants: An energy and economic analysis of liquid sensible vs phase change material (PCM) heat storage. Int. J. Refrig. 2014, 39, 104–116. [Google Scholar] [CrossRef]
- Alva, G.; Lin, Y.; Fang, G. An overview of thermal energy storage systems. Energy 2018, 144, 341–378. [Google Scholar] [CrossRef]
- Drück, H.; Pauschinger, T. Multiport Store—Model for TRNSYS—Type 340; Institut für Thermodynamik und Wärmetechnik (ITW) Universität Stuttgart: Stuttgart, Germany, 2006. [Google Scholar]
- Wemhöner, C.; Hafner, B.; Schwarzer, K. Simulation of Solar Thermal Systems with Carnot Blockset in the Environment Matlab® Simulink®. In Proceedings of the Eurosun Conference 2000, Copenhagen, Denmark, 19–23 June 2000. [Google Scholar]
- González-Altozano, P.; Gasque, M.; Ibáñez, F.; Gutiérrez-Colomer, R.P. New methodology for the characterisation of thermal performance in a hot water storage tank during charging. Appl. Therm. Eng. 2015, 84, 196–205. [Google Scholar] [CrossRef]
- Li, S.H.; Zhang, Y.X.; Li, Y.; Zhang, X.S. Experimental study of inlet structure on the discharging performance of a solar water storage tank. Energy Build. 2014, 70, 490–496. [Google Scholar] [CrossRef]
- Njoku, H.O.; Ekechukwu, O.V.; Onyegegbu, S.O. Analysis of stratified thermal storage systems: An overview. Heat Mass Transf. 2014, 50, 1017–1030. [Google Scholar] [CrossRef]
- Dumont, O.; Carmo, C.; Dickes, R.; Georges, E.; Quoilin, S.; Lemort, V. Hot water tanks: How to select the optimal modelling approach? In Proceedings of the 12th REHVA World Congress, Aalborg, Denmark, 22–25 May 2016. [Google Scholar]
- Yoo, H.; Kim, C.J.; Kim, C.W. Approximate analytical solutions for stratified thermal storage under variable inlet temperature. Sol. Energy 1999, 66, 47–56. [Google Scholar] [CrossRef]
- Yoo, H.; Pak, E.T. Analytical solutions to a one-dimensional finite-domain model for stratified thermal storage tanks. Sol. Energy 1996, 56, 315–322. [Google Scholar] [CrossRef]
- Campos Celador, A.; Odriozola, M.; Sala, J.M. Implications of the modelling of stratified hot water storage tanks in the simulation of CHP plants. Energy Convers. Manag. 2011, 52, 3018–3026. [Google Scholar] [CrossRef]
- Dickes, R.; Desideri, A.; Lemort, V.; Quoilin, S. Model reduction for simulating the dynamic behavior of parabolic troughs and a thermocline energy storage in a micro-solar power unit. In Proceedings of the ECOS Conference 2015, Pau, France, 29 June–3 July 2015. [Google Scholar]
- Chung, J.D.; Shin, Y. Integral approximate solution for the charging process in stratified thermal storage tanks. Sol. Energy 2011, 85, 3010–3016. [Google Scholar] [CrossRef]
- Duffie, J.A.; Beckman, W.A. Solar Engineering of Thermal Processes, 4th ed.; John Wiley & Sons: Oshawa, ON, Canada, 2013. [Google Scholar]
- Nash, A.; Jain, N. Dynamic Modeling and Performance Analysis of Sensible Thermal Energy Storage Systems. In Proceedings of the 4th International High-Performance Buildings Conference, Purdue, Indiana, 11–14 July 2016. [Google Scholar]
- Chacker, A.; Bouchetiba, H. Thermal behaviour of a storage tank of solar water heater in cases of charge and discharge. Int’l J. Comput. Commun. Instrum. Engg 2017, 4, 73–77. [Google Scholar] [CrossRef]
- Franke, R. Object-oriented modeling of solar heating systems. Sol. Energy 1997, 60, 171–180. [Google Scholar] [CrossRef]
- De Césaro Oliveski, R.; Krenzinger, A.; Vielmo, H.A. Comparison between models for the simulation of hot water storage tanks. Sol. Energy 2003, 75, 121–134. [Google Scholar] [CrossRef]
- Bouhal, T.; Fertahi, S.; Agrouaz, Y.; El Rhafiki, T.; Kousksou, T.; Jamil, A. Numerical modeling and optimization of thermal stratification in solar hot water storage tanks for domestic applications: CFD study. Sol. Energy 2017, 157, 441–455. [Google Scholar] [CrossRef]
- Cabelli, A. Storage tanks—A numerical experiment. Sol. Energy 1977, 19, 45–54. [Google Scholar] [CrossRef]
- Badescu, V. Optimal operation of thermal energy storage units based on stratified and fully mixed water tanks. Appl. Therm. Eng. 2004, 24, 2101–2116. [Google Scholar] [CrossRef]
- Aisa, A.; Iqbal, T. Modelling and simulation of a solar water heating system with thermal storage. In Proceedings of the 7th IEEE Annual Information Technology, Electronics and Mobile Communication Conference, Vancouver, BC, Canada, 13–15 October 2016. [Google Scholar] [CrossRef]
- Cruickshank, C. Evaluation of a Stratified Multi-Tank Thermal Storage for Solar Heating Applications. Ph.D. Thesis, Queen’s University, Kingston, ON, Canada, June 2009. [Google Scholar]
- van Koppen, C.W.J.; Thomas, P.S.; Veltkamp, W.B. Actual benefits of thermally stratified storage in a small and a medium size solar system. In Proceedings of the International Solar Energy Society Silver Jubilee Congress, Atlanta, GA, USA, 28 May–1 June 1979. [Google Scholar]
- Furbo, S.; Mikkelsen, S.E. Is low flow operation an advantage for solar heating systems? In Proceedings of the Biennial Congress of the International Solar Energy Society, Hamburg, Germany, 13–18 September 1987; pp. 962–966. [Google Scholar] [CrossRef]
- Herwig, A.; Umbreit, L.; Rühling, K. Measurement-based modelling of large atmospheric heat storage tanks. In Proceedings of the 16th International Symposium on District Heating and Cooling, Hamburg, Germany, 9–12 September 2018. [Google Scholar] [CrossRef]






















| Model Dimension | Pros | Cons |
|---|---|---|
| 0D |
|
|
| 1D |
|
|
| 2D-3D |
|
|
| Quantity | Instrument | Task |
|---|---|---|
| 12 | Thermocouples (Type T—Class 1) (error < ±0.2%) | Measure the water temperature in the tank |
| 2 | Thermocouples (Type T—Class 1) (error < ±0.2%) | Measure the water inlet and outlet temperature during the charge process |
| 1 | Electromagnetic flowmeter Endress Hauser—mod. 53H08 DN8 (error < ± 0.1%) | Measure the water inlet mass flow rate |
| 1 | Data acquisition system National Instruments—mod. DAQ 9178 | Collect sensor data |
| 1 | Thermocouples input module National Instruments—mod. 9213 | TC signal conditioning and acquisition |
| 1 | Flowmeter input module National Instruments—mod. 9208 | Flow-meter signal acquisition |
| Quantity | Instrument | Task |
|---|---|---|
| 8 | Thermocouples (Type T—Class 1) | Measure the water temperature in the tank |
| 2 | Thermocouples (Type T – Class 1) (error < ±0.2 °C) | Measure the water inlet and outlet temperature during the discharge process |
| 1 | Glass rotor flowmeter | Measure the water inlet mass flow rate |
| 1 | Data acquisition system Agilent—mod. 34970A | Collect sensor data |
| 1 | Thermocouples input module National Instruments—mod. 9213 | TC signal conditioning and acquisition |
| Temperature (°C) | |||||||||||||||||||||
|---|---|---|---|---|---|---|---|---|---|---|---|---|---|---|---|---|---|---|---|---|---|
| Time (h) | Exp. | Sim. | Abs. | Exp. | Sim. | Abs. | Exp. | Sim. | Abs. | Exp. | Sim. | Abs. | Exp. | Sim. | Abs. | Exp. | Sim. | Abs. | Exp. | Sim. | Abs. |
| 0 | 52 | 52 | 0 | 52 | 52 | 0 | 53 | 53 | 0 | 54 | 54 | 0 | 75 | 71 | 4 | 91 | 89 | 2 | 99 | 99 | 0 |
| 4 | 52 | 52 | 0 | 52 | 52 | 0 | 53 | 53 | 0 | 54 | 54 | 0 | 82 | 77 | 5 | 91 | 90 | 1 | 99 | 99 | 0 |
| 8 | 52 | 51 | 1 | 52 | 52 | 0 | 54 | 53 | 0 | 54 | 54 | 0 | 86 | 81 | 5 | 91 | 91 | 0 | 99 | 98 | 1 |
| 12 | 52 | 51 | 1 | 52 | 52 | 0 | 54 | 53 | 0 | 54 | 55 | 1 | 87 | 83 | 4 | 93 | 91 | 2 | 99 | 98 | 1 |
| 16 | 53 | 51 | 1 | 53 | 53 | 0 | 54 | 54 | 0 | 55 | 57 | 2 | 87 | 85 | 2 | 93 | 92 | 1 | 99 | 98 | 1 |
| 20 | 53 | 52 | 1 | 53 | 53 | 0 | 54 | 54 | 0 | 55 | 59 | 4 | 87 | 86 | 1 | 93 | 92 | 1 | 99 | 98 | 1 |
| 24 | 53 | 52 | 1 | 53 | 53 | 0 | 54 | 54 | 0 | 56 | 62 | 6 | 87 | 88 | 1 | 93 | 93 | 0 | 99 | 97 | 2 |
| 0 | 5 | 10 | 15 | 20 | 25 | 30 | |||||||||||||||
| Height (m) | |||||||||||||||||||||
© 2019 by the authors. Licensee MDPI, Basel, Switzerland. This article is an open access article distributed under the terms and conditions of the Creative Commons Attribution (CC BY) license (http://creativecommons.org/licenses/by/4.0/).
Share and Cite
Cadau, N.; De Lorenzi, A.; Gambarotta, A.; Morini, M.; Rossi, M. Development and Analysis of a Multi-Node Dynamic Model for the Simulation of Stratified Thermal Energy Storage. Energies 2019, 12, 4275. https://doi.org/10.3390/en12224275
Cadau N, De Lorenzi A, Gambarotta A, Morini M, Rossi M. Development and Analysis of a Multi-Node Dynamic Model for the Simulation of Stratified Thermal Energy Storage. Energies. 2019; 12(22):4275. https://doi.org/10.3390/en12224275
Chicago/Turabian StyleCadau, Nora, Andrea De Lorenzi, Agostino Gambarotta, Mirko Morini, and Michele Rossi. 2019. "Development and Analysis of a Multi-Node Dynamic Model for the Simulation of Stratified Thermal Energy Storage" Energies 12, no. 22: 4275. https://doi.org/10.3390/en12224275
APA StyleCadau, N., De Lorenzi, A., Gambarotta, A., Morini, M., & Rossi, M. (2019). Development and Analysis of a Multi-Node Dynamic Model for the Simulation of Stratified Thermal Energy Storage. Energies, 12(22), 4275. https://doi.org/10.3390/en12224275

