Electrochemical Assessment of As-Deposited Co(OH)2 by Electrochemical Synthesis: The Effect of Synthesis Temperature on Performance
Abstract
1. Introduction
2. Materials and Methods
2.1. Synthesis by Electrochemical Deposition
2.2. Characterization of the As-Deposited Materials
2.3. Electrochemical Characterization of the As-Deposited Materials
3. Results
3.1. Electrochemical Synthesis of Co(OH)2
3.2. Electrochemical Characterization: Three-Electrode Cell Configuration
3.3. Electrochemical Performance of ECs
4. Conclusions
Author Contributions
Funding
Acknowledgments
Conflicts of Interest
References
- Partridge, J.; Abouelamaimen, D.I. The role of supercapacitors in regenerative braking systems. Energies 2019, 12, 2683. [Google Scholar] [CrossRef]
- Kötz, R.; Carlen, M. Principles and applications of electrochemical capacitors. Electrochim. Acta 2000, 45, 2483–2498. [Google Scholar] [CrossRef]
- Rudge, A.; Raistrick, I.; Gottesfeld, S.; Ferraris, J.P. A study of the electrochemical properties of conducting polymers for application in electrochemical capacitors. Electrochim. Acta 1994, 39, 273–287. [Google Scholar] [CrossRef]
- Cottineau, T.; Toupin, M.; Delahaye, T.; Brousse, T.; Belanger, D. Nanostructured transition metal oxides for aqueous hybrid electrochemical supercapacitors. Appl. Phys. A 2006, 82, 599–606. [Google Scholar] [CrossRef]
- Parra-Elizondo, V.; Escobar-Morales, B.; Morales, E.; Pacheco-Catalán, D. Effect of carbonaceous support between graphite oxide and reduced graphene oxide with anchored CO3O4 microspheres as electrode-active materials in a solid-state electrochemical capacitor. J. Solid State Electrochem. 2017, 21, 975–985. [Google Scholar] [CrossRef]
- Cheng, J.; Zhang, J.; Liu, F. Recent development of metal hydroxides as electrode material of electrochemical capacitors. RSC Adv. 2014, 4, 38893–38917. [Google Scholar] [CrossRef]
- Yedluri, A.K.; Araveeti, E.R.; Kim, H.J. Facilely synthesized NiCo2O4/NiCo2O4 nanofile arrays supported on nickel foam by a hydrothermal method and their excellent performance for high-rate supercapacitance. Energies 2019, 12, 1308. [Google Scholar] [CrossRef]
- Kumar, Y.A.; Kim, H.-J. Effect of time on a hierarchical corn skeleton-like composite of coo@zno as capacitive electrode material for high specific performance supercapacitors. Energies 2018, 11, 3285. [Google Scholar] [CrossRef]
- Louloudakis, D.; Vernardou, D.; Spanakis, E.; Katsarakis, N.; Koudoumas, E. Electrochemical properties of vanadium oxide coatings grown by apcvd on glass substrates. Surf. Coat. Technol. 2013, 230, 186–189. [Google Scholar] [CrossRef]
- Vernardou, D.; Apostolopoulou, M.; Louloudakis, D.; Katsarakis, N.; Koudoumas, E. Hydrothermally grown β-V2O5 electrode at 95 °C. J. Colloid Interface Sci. 2014, 424, 1–6. [Google Scholar] [CrossRef]
- Ghosh, S.; Polaki, S.; Sahoo, G.; Jin, E.-M.; Kamruddin, M.; Cho, J.S.; Jeong, S.M. Designing metal oxide-vertical graphene nanosheets structures for 2.6 v aqueous asymmetric electrochemical capacitor. J. Ind. Eng. Chem. 2019, 72, 107–116. [Google Scholar] [CrossRef]
- Miller, J.R.; Burke, A.F. Electrochemical capacitors: Challenges and opportunities for real-world applications. Electrochem. Soc. Interface 2008, 17, 53. [Google Scholar]
- Ingole, R.; Fugare, B.; Lokhande, B. Ultrahigh specific capacitance of spray deposited nanoporous interconnected ruthenium oxide electrode fabric for supercharged capacitor. J. Mater. Sci. Mater. Electron. 2017, 28, 16374–16383. [Google Scholar] [CrossRef]
- Elumalai, P.; Vasan, H.N.; Munichandraiah, N. Electrochemical studies of cobalt hydroxide—An additive for nickel electrodes. J. Power Sources 2001, 93, 201–208. [Google Scholar] [CrossRef]
- Hou, Y.; Kondoh, H.; Shimojo, M.; Kogure, T.; Ohta, T. High-yield preparation of uniform cobalt hydroxide and oxide nanoplatelets and their characterization. J. Phys. Chem. B 2005, 109, 19094–19098. [Google Scholar] [CrossRef]
- Hu, Z.; Mo, L.; Feng, X.; Shi, J.; Wang, Y.; Xie, Y. Synthesis and electrochemical capacitance of sheet-like cobalt hydroxide. Mater. Chem. Phys. 2009, 114, 53–57. [Google Scholar] [CrossRef]
- Li, Y.; Chen, Q. Electrodeposition of Co(OH)2 film and its conversion into CO3O4 film for supercapacitors. Asian J. Chem. 2012, 24, 4736–4740. [Google Scholar]
- Gupta, V.; Kusahara, T.; Toyama, H.; Gupta, S.; Miura, N. Potentiostatically deposited nanostructured α-Co(OH)2: A high performance electrode material for redox-capacitors. Electrochem. Commun. 2007, 9, 2315–2319. [Google Scholar] [CrossRef]
- Jagadale, A.D.; Kumbhar, V.S.; Dhawale, D.S.; Lokhande, C.D. Performance evaluation of symmetric supercapacitor based on cobalt hydroxide [Co(OH)2] thin film electrodes. Electrochim. Acta 2013, 98, 32–38. [Google Scholar] [CrossRef]
- Aghazadeh, M.; Shiri, H.M.; Barmi, A.-A.M. Uniform β-Co(OH)2 disc-like nanostructures prepared by low-temperature electrochemical rout as an electrode material for supercapacitors. Appl. Surf. Sci. 2013, 273, 237–242. [Google Scholar] [CrossRef]
- Zhou, W.-J.; Zhao, D.-D.; Xu, M.-W.; Xu, C.-L.; Li, H.-L. Effects of the electrodeposition potential and temperature on the electrochemical capacitance behavior of ordered mesoporous cobalt hydroxide films. Electrochim. Acta 2008, 53, 7210–7219. [Google Scholar] [CrossRef]
- Malek Barmi, A.-A.; Aghazadeh, M.; Arhami, B.; Shiri, H.M.; Fazl, A.A.; Jangju, E. Porous cobalt hydroxide nanosheets with excellent supercapacitive behavior. Chem. Phys. Lett. 2012, 541, 65–69. [Google Scholar] [CrossRef]
- Sobha Jayakrishnan, D. Electrodeposition: The versatile technique for nanomaterials. In Corrosion Protection and Control Using Nanomaterials; Saji, V.S., Cook, R., Eds.; Woodhead Publishing: Sawston/Cambridge, UK, 2012; pp. 86–125. [Google Scholar]
- Wang, L.; Fu, J.; Zhang, Y.; Liu, X.; Yin, Y.; Dong, L.; Chen, S. Mesoporous β-Co(OH)2 nanowafers and nanohexagonals obtained synchronously in one solution and their electrochemical hydrogen storage properties. Prog. Nat. Sci. Mater. Int. 2016, 26, 555–561. [Google Scholar] [CrossRef]
- Liu, Z.; Ma, R.; Osada, M.; Takada, K.; Sasaki, T. Selective and controlled synthesis of α- and β-cobalt hydroxides in highly developed hexagonal platelets. J. Am. Chem. Soc. 2005, 127, 13869–13874. [Google Scholar] [CrossRef]
- Dam, D.T.; Lee, J.-M. Ultrahigh pseudocapacitance of mesoporous ni-doped co (oh) 2/ito nanowires. Nano Energy 2013, 2, 1186–1196. [Google Scholar] [CrossRef]
- Kong, L.-B.; Lang, J.-W.; Liu, M.; Luo, Y.-C.; Kang, L. Facile approach to prepare loose-packed cobalt hydroxide nano-flakes materials for electrochemical capacitors. J. Power Sources 2009, 194, 1194–1201. [Google Scholar] [CrossRef]
- Aghazadeh, M.; Dalvand, S.; Hosseinifard, M. Facile electrochemical synthesis of uniform β-Co(OH)2 nanoplates for high performance supercapacitors. Ceram. Int. 2014, 40, 3485–3493. [Google Scholar] [CrossRef]
- Brownsona, J.R.; Lévy-Clément, C. Nanostructured a and b-cobalt hydroxide thin films. Electrochim. Acta 2009, 54, 6637–6644. [Google Scholar] [CrossRef]
- Balducci, A.; Belanger, D.; Brousse, T.; Long, J.W.; Sugimoto, W. Perspective—A guideline for reporting performance metrics with electrochemical capacitors: From electrode materials to full devices. J. Electrochem. Soc. 2017, 164, A1487–A1488. [Google Scholar] [CrossRef]
- Ulaganathan, M.; Maharjan, M.M.; Yan, Q.; Aravindan, V.; Madhavi, S. Β-Co(OH)2 nanosheets: A superior pseudocapacitive electrode for high-energy supercapacitors. Chem. Asian J. 2017, 12, 2127–2133. [Google Scholar] [CrossRef]
- Khomenko, V.; Frackowiak, E.; Béguin, F. Determination of the specific capacitance of conducting polymer/nanotubes composite electrodes using different cell configurations. Electrochim. Acta 2005, 50, 2499–2506. [Google Scholar] [CrossRef]
- Munoz-Rojas, D.; Moya, X. Materials for Sustainable Energy Applications: Conversion, Storage, Transmission, and Consumption; Pan Stanford Publishing Pte. Ltd.: Singapore, 2016. [Google Scholar]
- Hsu, Y.-K.; Chen, Y.-C.; Lin, Y.-G. Characteristics and electrochemical performances of lotus-like Cuo/Cu(OH)2 hybrid material electrodes. J. Electroanal. Chem. 2012, 673, 43–47. [Google Scholar] [CrossRef]
- Pacheco, D.; Smith, M.; Morales, E. Characterization of composite mesoporous carbon/conducting polymer electrodes prepared by chemical oxidation of gas-phase absorbed monomer for electrochemical capacitors. Int. J. Electrochem. Sci. 2011, 6, 78–90. [Google Scholar]
- Prabaharan, S.R.; Vimala, R.; Zainal, Z. Nanostructured mesoporous carbon as electrodes for supercapacitors. J. Power Sources 2006, 161, 730–736. [Google Scholar] [CrossRef]
- Tehare, K.K.; Zate, M.K.; Navale, S.T.; Bhande, S.S.; Gaikwad, S.L.; Patil, S.A.; Gore, S.K.; Naushad, M.; Alfadul, S.M.; Mane, R.S. Electrochemical supercapacitors of cobalt hydroxide nanoplates grown on conducting cadmium oxide base-electrodes. Arab. J. Chem. 2017, 10, 515–522. [Google Scholar] [CrossRef]










| Sample (Lattice) | d (Å) | B (rad) | L (Å) | Layers (L d−1) |
|---|---|---|---|---|
| 25 °C (003) | 7.8 | 6.49 × 10−3 | 218 | 28 |
| 60 °C (003) | 7.5 | 3.53 × 10−3 | 401 | 53 |
| 95 °C (001) | 4.6 | 4.00 × 10−3 | 375 | 81 |
| Sample | Weight % | Atomic % | ||
|---|---|---|---|---|
| Co | O2 | Co | O2 | |
| 25 °C | 54.56 | 45.44 | 24.70 | 75.30 |
| 60 °C | 56.77 | 43.24 | 26.29 | 73.71 |
| 95 °C | 59.04 | 40.96 | 28.30 | 71.70 |
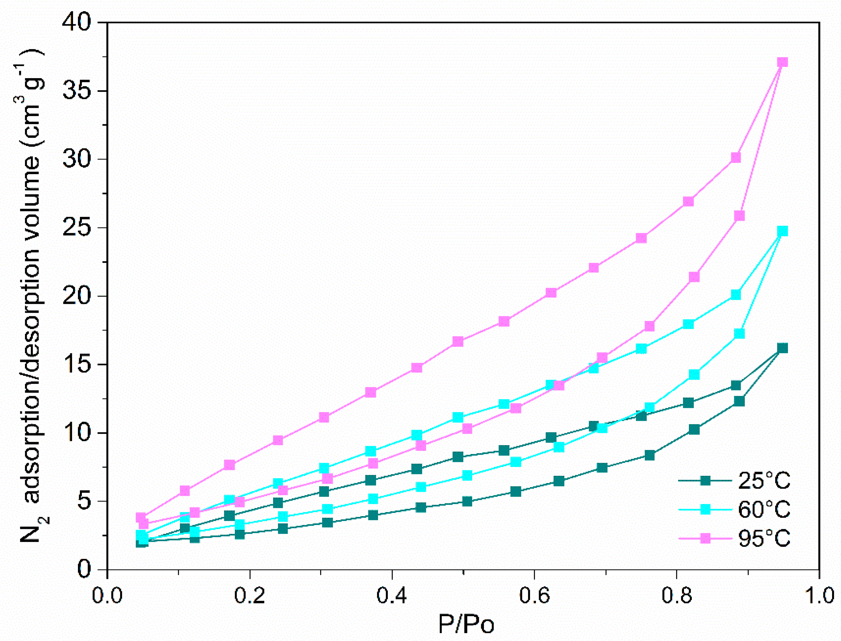
| Sample | Specific Surface Area (m2 g−1) |
|---|---|
| 25 °C | 9.11 |
| 60 °C | 10.04 |
| 95 °C | 30.41 |
| Cycle | Areal Capacity (mA h cm−2) | ||
|---|---|---|---|
| 25 °C | 60 °C | 95 °C | |
| 1 | 27.82 | 26.88 | 10.24 |
| 100 | 23.47 | 25.32 | 9.38 |
| 200 | 21.29 | 23.65 | 8.53 |
| 300 | 19.56 | 22.62 | 8.16 |
| 400 | 18.25 | 22.10 | 7.73 |
| 500 | 17.37 | 21.08 | 7.56 |
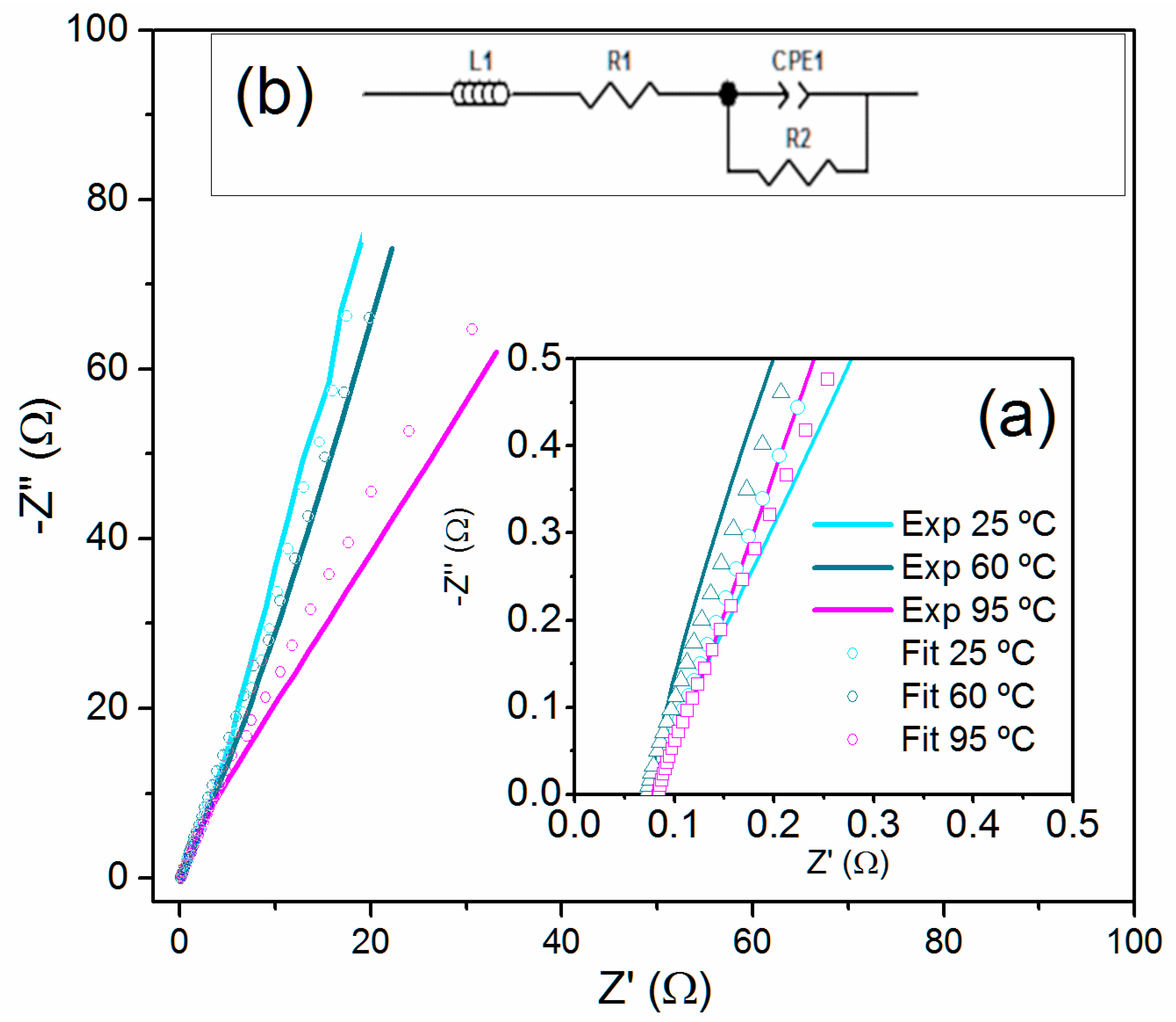
| EC-Co(OH)2 | L1 | R1 (Ω) | CPE1-T | CPE1-P | R2 (Ω) | χ2 |
|---|---|---|---|---|---|---|
| 25 °C | 1.32 × 10−7 | 7.90 × 10−2 | 3.86 × 10−3 | 0.77 | 19.42 | 3.08 × 10−3 |
| 60 °C | 1.34 × 10−7 | 7.76 × 10−2 | 2.86 × 10−3 | 0.76 | 22.54 | 5.48 × 10−3 |
| 95 °C | 1.39 × 10−7 | 8.48 × 10−2 | 4.26 × 10−3 | 0.70 | 33.57 | 6.82 × 10−3 |
© 2019 by the authors. Licensee MDPI, Basel, Switzerland. This article is an open access article distributed under the terms and conditions of the Creative Commons Attribution (CC BY) license (http://creativecommons.org/licenses/by/4.0/).
Share and Cite
Parra-Elizondo, V.; Cuentas-Gallegos, A.K.; Escobar-Morales, B.; Baas-López, J.M.; Uribe-Calderón, J.A.; Pacheco-Catalán, D.E. Electrochemical Assessment of As-Deposited Co(OH)2 by Electrochemical Synthesis: The Effect of Synthesis Temperature on Performance. Energies 2019, 12, 4246. https://doi.org/10.3390/en12224246
Parra-Elizondo V, Cuentas-Gallegos AK, Escobar-Morales B, Baas-López JM, Uribe-Calderón JA, Pacheco-Catalán DE. Electrochemical Assessment of As-Deposited Co(OH)2 by Electrochemical Synthesis: The Effect of Synthesis Temperature on Performance. Energies. 2019; 12(22):4246. https://doi.org/10.3390/en12224246
Chicago/Turabian StyleParra-Elizondo, Vladimir, Ana Karina Cuentas-Gallegos, Beatriz Escobar-Morales, José Martín Baas-López, Jorge Alonso Uribe-Calderón, and Daniella Esperanza Pacheco-Catalán. 2019. "Electrochemical Assessment of As-Deposited Co(OH)2 by Electrochemical Synthesis: The Effect of Synthesis Temperature on Performance" Energies 12, no. 22: 4246. https://doi.org/10.3390/en12224246
APA StyleParra-Elizondo, V., Cuentas-Gallegos, A. K., Escobar-Morales, B., Baas-López, J. M., Uribe-Calderón, J. A., & Pacheco-Catalán, D. E. (2019). Electrochemical Assessment of As-Deposited Co(OH)2 by Electrochemical Synthesis: The Effect of Synthesis Temperature on Performance. Energies, 12(22), 4246. https://doi.org/10.3390/en12224246

