Simplified Method for Analyzing the Availability of Rooftop Photovoltaic Potential
Abstract
1. Introduction
2. Methods
2.1. Physical Potential
2.2. Geographic Potential
2.2.1. Calculation of the Sun’s Coordinates
- The X-axis is tangential to the Earth’s surface in the East-West direction and positive eastwards.
- The Y-axis is tangential in the North-South direction and positive southwards.
- The Z-axis lies along the Earth’s radius and is positive upwards.
2.2.2. Determination of Cells on the Beam Path–Line Rasterization
2.2.3. Determination of Shadow Factor
2.2.4. Determination of Geographic Potential Based on LiDAR Data
2.3. Technical Potential
2.4. Economic Potential
3. Results
3.1. Physical and Geographic Potential
3.2. Technical Potential
3.3. Economic Potential
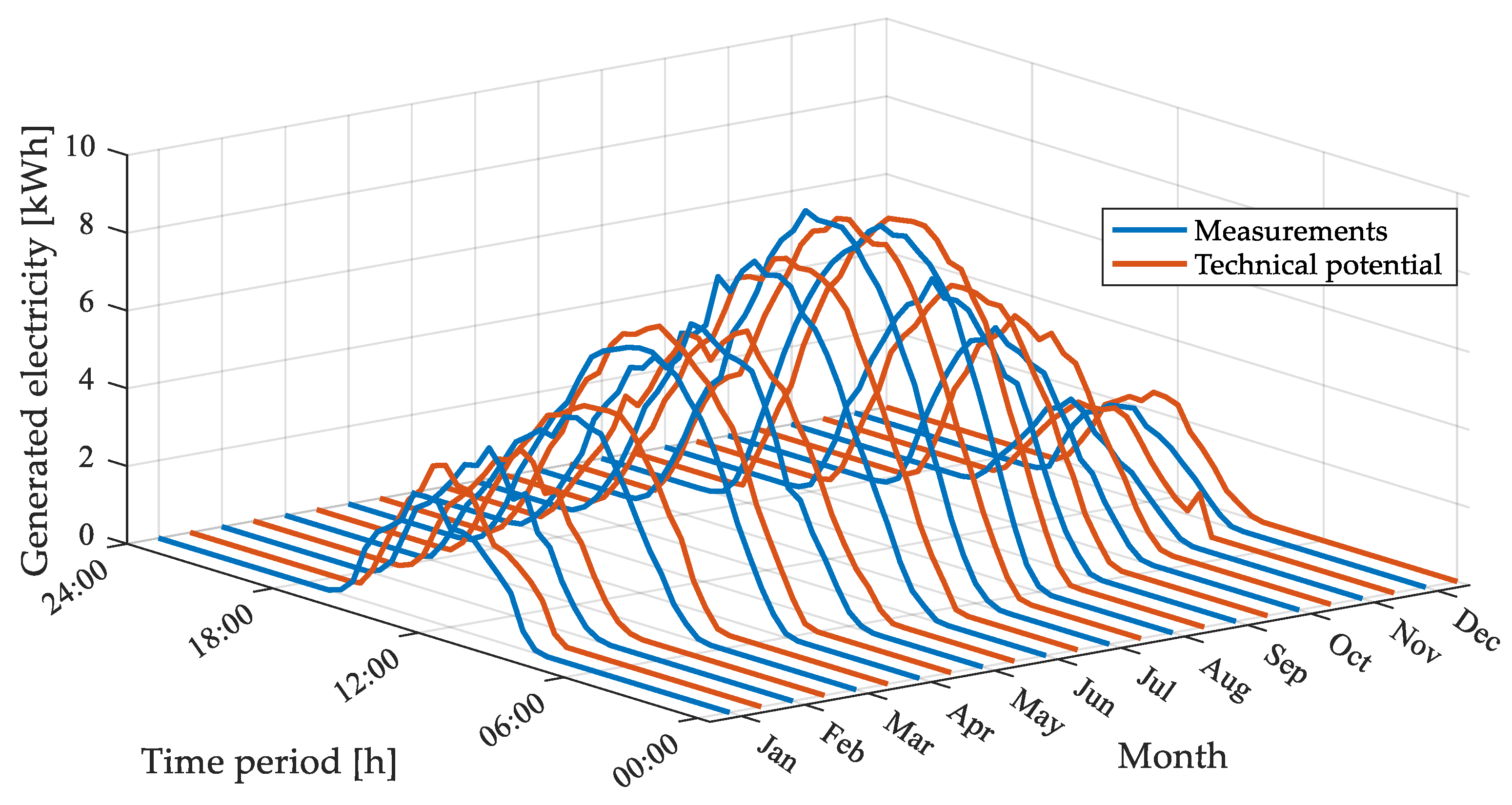
3.4. Comparison of Physical, Geographic, Technical, and Economic Potentials
4. Conclusions
Author Contributions
Funding
Conflicts of Interest
References
- Yuan, J.; Farnham, C.; Emura, K.; Lu, S. A method to estimate the potential of rooftop photovoltaic power generation for a region. Urban Clim. 2016, 17, 1–19. [Google Scholar] [CrossRef]
- Suomalainen, K.; Wang, V.; Sharp, B. Rooftop solar potential based on LiDAR data: Bottom-up assessment at neighbourhood level. Renew. Energy 2017, 111, 463–475. [Google Scholar] [CrossRef]
- Nadal, A.; Cadena, D.R.; Pons, O.; Cuerva, E.; Josa, A.; Rieradevall, J. Feasibility assessment of rooftop greenhouses in Latin America. The case study of a social neighborhood in Quito, Ecuador. Urban For. Urban Green. 2019, 44, 126389. [Google Scholar] [CrossRef]
- Rodríguez, L.R.; Duminil, E.; Ramos, J.S.; Eicker, U. Assessment of the photovoltaic potential at urban level based on 3D city models: A case study and new methodological approach. Sol. Energy 2017, 146, 264–275. [Google Scholar] [CrossRef]
- Bódis, K.; Kougias, I.; Jäger-Waldau, A.; Taylor, N.; Szabó, S. A high-resolution geospatial assessment of the rooftop solar photovoltaic potential in the European Union. Renew. Sustain. Energy Rev. 2019, 114, 10930. [Google Scholar] [CrossRef]
- Singh, R.; Asif, A.A.; Venayagamoorthy, G.K.; Lakhtakia, A.; Abdelhamid, M.; Alapatt, G.F.; Ladner, D.A. Emerging Role of Photovoltaics for Sustainably Powering Underdeveloped, Emerging, and Developed Economies. In Proceedings of the 2nd International Conference on Green Energy and Technology, Dhaka, Bangladesh, 5–6 September 2014; pp. 1–8. [Google Scholar]
- Buffat, R.; Grassi, S.; Raubal, M. A scalable method for estimating rooftop solar irradiation potential over large regions. Appl. Energy 2018, 216, 389–401. [Google Scholar] [CrossRef]
- Khan, J.; Arsalan, M.H. Estimation of rooftop solar photovoltaic potential using geo-spatial techniques: A perspective from planned neighborhood of Karachi–Pakistan. Renew. Energy 2016, 90, 188–203. [Google Scholar] [CrossRef]
- Assouline, D.; Mohajeri, N.; Scartezzini, J.L. Quantifying rooftop photovoltaic solar energy potential: A machine learning approach. Sol. Energy 2017, 141, 278–296. [Google Scholar] [CrossRef]
- Saha, M.; Eckelman, M.J. Growing fresh fruits and vegetables in an urban landscape: A geospatial assessment of ground level and rooftop urban agriculture potential in Boston, USA. Landsc. Urban Plan. 2017, 165, 130–141. [Google Scholar] [CrossRef]
- Ko, L.; Wang, J.C.; Chen, C.Y.; Tsai, H.Y. Evaluation of the development potential of rooftop solar photovoltaic in Taiwan. Renew. Energy 2015, 76, 582–595. [Google Scholar] [CrossRef]
- Byrne, J.; Taminiau, J.; Kurdgelashvili, L.; Kim, K.N. A review of the solar city concept and methods to assess rooftop solar electric potential, with an illustrative application to the city of Seoul. Renew. Sustain. Energy Rev. 2015, 41, 830–844. [Google Scholar] [CrossRef]
- Takebayashi, H.; Ishii, E.; Moriyama, M.; Sakaki, A.; Nakajima, S.; Ueda, H.H. Study to examine the potential for solar energy utilization based on the relationship between urban morphology and solar radiation gain on building rooftops and wall surfaces. Sol. Energy 2015, 119, 362–369. [Google Scholar] [CrossRef]
- Peng, J.; Lu, L. Investigation on the development potential of rooftop PV system in Hong Kong and its environmental benefits. Renew. Sustain. Energy Rev. 2013, 27, 149–162. [Google Scholar] [CrossRef]
- Song, X.; Huang, Y.; Zhao, C.; Liu, Y.; Lu, Y.; Chang, Y.; Yang, J. An Approach for Estimating Solar Photovoltaic Potential Based on Rooftop Retrieval from Remote Sensing Images. Energies 2018, 11, 3172. [Google Scholar] [CrossRef]
- Odeh, S. Thermal Performance of Dwellings with Rooftop PV Panels and PV/Thermal Collectors. Energies 2018, 11, 1879. [Google Scholar] [CrossRef]
- Melius, J.; Margolis, R.; Ong, S. Estimating Rooftop Suitability for PV: A Review of Methods, Patents, and Validation Techniques; Technical Report NREL/TP-6A20-60593; National Renewable Energy Lab.: Golden, CO, USA, 2013. [Google Scholar]
- Palmer, D.; Koumpli, E.; Cole, I.; Gottschalg, R.; Betts, T. A GIS-Based Method for Identification of Wide Area Rooftop Suitability for Minimum Size PV Systems Using LiDAR Data and Photogrammetry. Energies 2018, 11, 3506. [Google Scholar] [CrossRef]
- Assouline, D.; Mohajeri, N.; Scartezzini, J.L. Large-scale rooftop solar photovoltaic technical potential estimation using Random Forests. Appl. Energy 2018, 217, 189–211. [Google Scholar] [CrossRef]
- Kurdgelashvili, L.; Li, J.; Shih, C.H.; Attia, B. Estimating technical potential for rooftop photovoltaics in California, Arizona and New Jersey. Renew. Energy 2016, 95, 286–302. [Google Scholar] [CrossRef]
- Lee, M.; Hong, T.; Jeong, J.; Jeong, K. Development of a rooftop solar photovoltaic rating system considering the technical and economic suitability criteria at the building level. Energy 2018, 160, 213–224. [Google Scholar] [CrossRef]
- Miranda, R.F.C.; Szklo, A.; Schaeffer, R. Technical-economic potential of PV systems on Brazilian rooftops. Renew. Energy 2015, 75, 694–713. [Google Scholar] [CrossRef]
- Xin-gang, Z.; Yi-min, X. The economic performance of industrial and commercial rooftop photovoltaic in China. Energy 2019, 187, 115961. [Google Scholar] [CrossRef]
- Hong, T.; Lee, M.; Koo, C.; Jeong, K.; Kim, J. Development of a method for estimating the rooftop solar photovoltaic (PV) potential by analyzing the available rooftop area using Hillshade analysis. Appl. Energy 2017, 194, 320–332. [Google Scholar] [CrossRef]
- Lee, M.; Hong, T.; Jeong, K.; Kim, J. A bottom-up approach for estimating the economic potential of the rooftop solar photovoltaic system considering the spatial and temporal diversity. Appl. Energy 2018, 232, 640–656. [Google Scholar] [CrossRef]
- Deline, C. Partially shaded operation of a grid-tied PV system. In Proceedings of the 34th IEEE Photovoltaic Specialists Conference (PVSC), Philadelphia, PA, USA, 7–12 June 2009; pp. 1268–1273. [Google Scholar]
- Woyte, A.; Nijs, J.; Belmans, R. Partial shadowing of photovoltaic arrays with different system configurations: Literature review and field test results. Sol. Energy 2003, 74, 217–233. [Google Scholar] [CrossRef]
- García, M.; Maruri, J.M.; Marroyo, L.; Lorenzo, E.; Pérez, M. Partial shadowing, MPPT performance and inverter configurations: Observations at tracking PV plants. Prog. Photovolt. Res. Appl. 2008, 16, 529–536. [Google Scholar] [CrossRef]
- Ahmad, R.; Murtaza, A.F.; Sher, H.A.; Shami, U.T.; Olalekan, S. An analytical approach to study partial shading effects on PV array supported by literature. Renew. Sustain. Energy Rev. 2017, 74, 721–732. [Google Scholar] [CrossRef]
- Malathy, S.; Ramaprabha, R. Reconfiguration strategies to extract maximum power from photovoltaic array under partially shaded conditions. Renew. Sustain. Energy Rev. 2018, 81, 2922–2934. [Google Scholar] [CrossRef]
- Lukač, N.; Žalik, B. GPU-based roofs’ solar potential estimation using LiDAR data. Comput. Geosci. 2013, 52, 34–41. [Google Scholar] [CrossRef]
- Lukač, N.; Žlaus, D.; Seme, S.; Žalik, B.; Štumberger, G. Rating of roofs’ surfaces regarding their solar potential and suitability for PV systems, based on LiDAR data. Appl. Energy 2013, 102, 803–812. [Google Scholar] [CrossRef]
- Seme, S.; Požun, J.; Štumberger, B.; Hadžiselimović, M. Energy Production of Different Types and Orientations of Photovoltaic Systems Under Outdoor Conditions. J. Sol. Energy Eng. 2015, 137, 021021. [Google Scholar] [CrossRef]
- Jacques, D.A.; Gooding, J.; Giesekam, J.J.; Tomlin, A.S.; Crook, R. Methodology for the assessment of PV capacity over a city region using low-resolution LiDAR data and application to the City of Leeds (UK). Appl. Energy 2014, 124, 28–34. [Google Scholar] [CrossRef]
- Maciejowska, K.; Nitka, W.; Weron, T. Day-Ahead vs. Intraday—Forecasting the Price Spread to Maximize Economic Benefits. Energies 2019, 12, 631. [Google Scholar] [CrossRef]
- Slovenian Environmental Agency. Official Website. 2017. Available online: http://www.arso.gov.si/ (accessed on 10 September 2019).
- Liu, B.Y.H.; Jordan, R.C. Daily insolation on surfaces tilted towards the equator. ASHRAE J. 1961, 3, 53–59. [Google Scholar]
- Corripio, J.G. Vectorial algebra algorithms for calculating terrain parameters from DEMs and solar radiation modelling in mountainous terrain. Int. J. Geogr. Inf. Sci. 2003, 17, 1–23. [Google Scholar] [CrossRef]
- Durisch, W.; Bitnar, B.; Mayor, J.C.; Kiess, H.; Lam, K.; Close, J. Efficiency model for photovoltaic modules ad demonstration of its application to energy yield estimation. Sol. Energy Mater. Sol. Cells 2007, 91, 79–84. [Google Scholar] [CrossRef]

















| Parameters | Plane 1 | Plane 2 | Plane 3 | Plane 4 | Plane 5 | Plane 6 | Plane 7 | Plane 8 |
|---|---|---|---|---|---|---|---|---|
| AT [m2] | 224 | 91 | 215 | 80 | 177 | 58 | 51 | 112 |
| β [°] | 15 | 15 | 15 | 15 | 15 | 15 | 15 | 15 |
| γ [°] | 0 | 90 | −180 | −90 | 90 | −180 | 0 | −90 |
| Equation | Parameters | ||||||
|---|---|---|---|---|---|---|---|
| x1 | x2 | x3 | x4 | x5 | RMSE | ||
| Equation (20) | η(G) | 0.0568 | −0.4678 | 0.2368 | −2.7297 | 4.1496 | 2.0727 |
| Equation (21) | η(T) | −0.0732 | −1.7987 | / | −0.0925 | 0.1063 | 3.0412 |
| Equation (22) | η(G,T) | 0.1235 | −0.4544 | 0.2420 | −0.0309 | −0.3854 | 2.0217 |
© 2019 by the authors. Licensee MDPI, Basel, Switzerland. This article is an open access article distributed under the terms and conditions of the Creative Commons Attribution (CC BY) license (http://creativecommons.org/licenses/by/4.0/).
Share and Cite
Mavsar, P.; Sredenšek, K.; Štumberger, B.; Hadžiselimović, M.; Seme, S. Simplified Method for Analyzing the Availability of Rooftop Photovoltaic Potential. Energies 2019, 12, 4233. https://doi.org/10.3390/en12224233
Mavsar P, Sredenšek K, Štumberger B, Hadžiselimović M, Seme S. Simplified Method for Analyzing the Availability of Rooftop Photovoltaic Potential. Energies. 2019; 12(22):4233. https://doi.org/10.3390/en12224233
Chicago/Turabian StyleMavsar, Primož, Klemen Sredenšek, Bojan Štumberger, Miralem Hadžiselimović, and Sebastijan Seme. 2019. "Simplified Method for Analyzing the Availability of Rooftop Photovoltaic Potential" Energies 12, no. 22: 4233. https://doi.org/10.3390/en12224233
APA StyleMavsar, P., Sredenšek, K., Štumberger, B., Hadžiselimović, M., & Seme, S. (2019). Simplified Method for Analyzing the Availability of Rooftop Photovoltaic Potential. Energies, 12(22), 4233. https://doi.org/10.3390/en12224233

