Hour-Ahead Solar Irradiance Forecasting Using Multivariate Gated Recurrent Units
Abstract
1. Introduction
- Propose the application of multivariate GRU to forecast hourly solar irradiance in Phoenix, Arizona one to ten time steps ahead using historical solar irradiance and exogenous weather variables
- Assess the impact of adding exogenous weather variables, such as solar zenith angle, relative humidity, air temperature, and cloud cover, to LSTM and GRU networks
- Performance comparison of prediction accuracy and computation time between GRU and LSTM using various configurations (i.e., univariate, multivariate without cloud cover, and multivariate with cloud cover)
2. Materials and Methodology
2.1. Multivariate GRU
2.2. Data Description
2.3. Experimental Evaluation
3. Results and Discussion
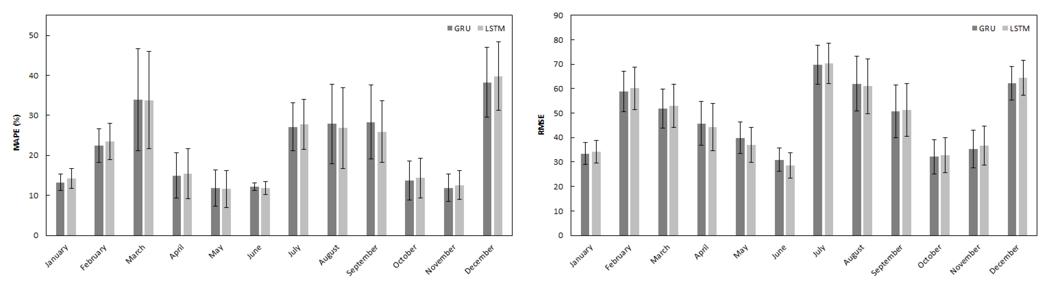
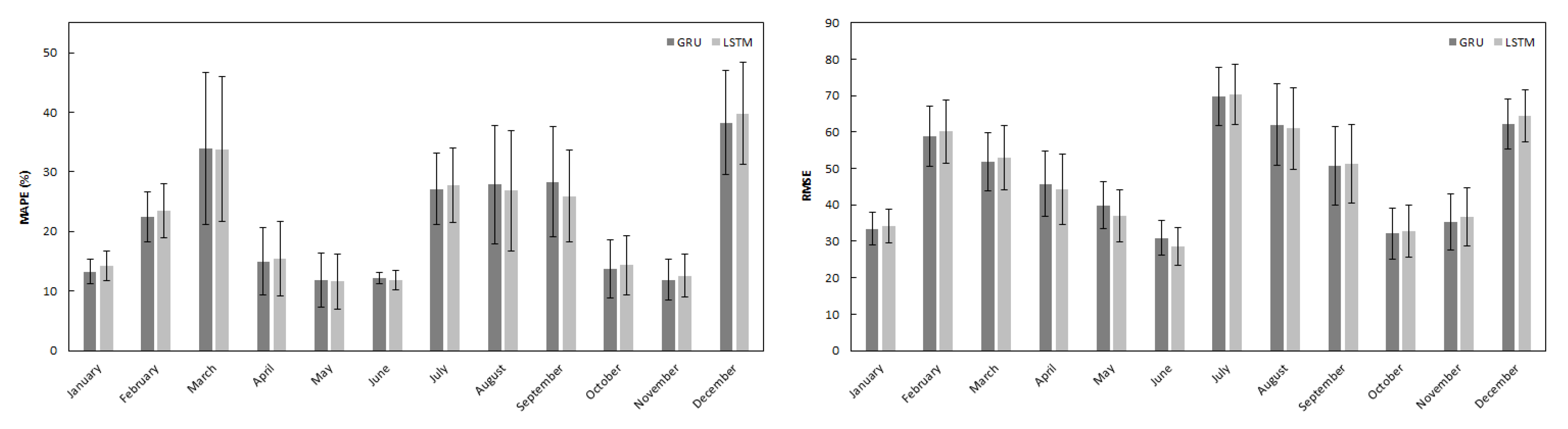
3.1. Experimental Results
3.2. Discussion
4. Conclusions
Author Contributions
Funding
Acknowledgments
Conflicts of Interest
Abbreviations
| ARIMA | Autoregressive Integrated Moving Average |
| DHI | Diffuse Horizontal Irradiance |
| DNI | Direct Normal Irradiance |
| FFNN | Feedforward Neural Network |
| GRU | Gated Recurrent Unit |
| GHI | Global Horizontal Irradiance |
| HMM | Hidden Markov Model |
| ISCCP | International Satellite Cloud Climatology Project |
| LSTM | Long Short-Term Memory |
| MAPE | Mean Absolute Percentage Error |
| NOAA | National Oceanic and Atmospheric Administration |
| NWP | Numerical Weather Prediction |
| PV | Photovoltaic |
| RMSE | Root Mean Squared Error |
| RNN | Recurrent Neural Network |
| SVR | Support Vector Regression |
References
- Diagne, M.; David, M.; Lauret, P.; Boland, J.; Schmutz, N. Review of solar irradiance forecasting methods and a proposition for small-scale insular grids. Renew. Sustain. Energy Rev. 2013, 27, 65–76. [Google Scholar] [CrossRef]
- Kreith, F. Principles of Sustainable Energy Systems; Mechanical and Aerospace Engineering Series; CRC Press: London, UK, 2013. [Google Scholar]
- Law, E.W.; Prasad, A.A.; Kay, M.; Taylor, R.A. Direct normal irradiance forecasting and its application to concentrated solar thermal output forecasting—A review. Sol. Energy 2014, 108, 287–307. [Google Scholar] [CrossRef]
- Yang, D.; Jirutitijaroen, P.; Walsh, W.M. Hourly solar irradiance time series forecasting using cloud cover index. Sol. Energy 2012, 86, 3531–3543. [Google Scholar] [CrossRef]
- Marquez, R.; Coimbra, C.F. Intra-hour DNI forecasting based on cloud tracking image analysis. Sol. Energy 2013, 91, 327–336. [Google Scholar] [CrossRef]
- Li, J.; Ward, J.K.; Tong, J.; Collins, L.; Platt, G. Machine learning for solar irradiance forecasting of photovoltaic system. Renew. Energy 2016, 90, 542–553. [Google Scholar] [CrossRef]
- Qing, X.; Niu, Y. Hourly day-ahead solar irradiance prediction using weather forecasts by LSTM. Energy 2018, 148, 461–468. [Google Scholar] [CrossRef]
- Wang, Y.; Liao, W.; Chang, Y. Gated recurrent unit network-based short-term photovoltaic forecasting. Energies 2018, 11, 2163. [Google Scholar] [CrossRef]
- Kratochvil, J.A.; Boyson, W.E.; King, D.L. Photovoltaic Array Performance Model; Technical Report; Sandia National Laboratories: Albuquerque, NM, USA.
- De Soto, W.; Klein, S.; Beckman, W. Improvement and validation of a model for photovoltaic array performance. Sol. Energy 2006, 80, 78–88. [Google Scholar] [CrossRef]
- Perez, R.; Lorenz, E.; Pelland, S.; Beauharnois, M.; Van Knowe, G.; Hemker, K., Jr.; Heinemann, D.; Remund, J.; Müller, S.C.; Traunmüller, W.; et al. Comparison of numerical weather prediction solar irradiance forecasts in the US, Canada and Europe. Sol. Energy 2013, 94, 305–326. [Google Scholar] [CrossRef]
- Mathiesen, P.; Collier, C.; Kleissl, J. A high-resolution, cloud-assimilating numerical weather prediction model for solar irradiance forecasting. Sol. Energy 2013, 92, 47–61. [Google Scholar] [CrossRef]
- Reikard, G. Predicting solar radiation at high resolutions: A comparison of time series forecasts. Sol. Energy 2009, 83, 342–349. [Google Scholar] [CrossRef]
- Dong, Z.; Yang, D.; Reindl, T.; Walsh, W.M. Short-term solar irradiance forecasting using exponential smoothing state space model. Energy 2013, 55, 1104–1113. [Google Scholar] [CrossRef]
- Melzi, F.N.; Touati, T.; Same, A.; Oukhellou, L. Hourly solar irradiance forecasting based on machine learning models. In Proceedings of the 2016 15th IEEE International Conference on Machine Learning and Applications (ICMLA), Anaheim, CA, USA, 18–20 December 2016; pp. 441–446. [Google Scholar]
- Heinemann, D.; Lorenz, E.; Girodo, M. Forecasting of solar radiation. In Solar Energy Resource Management for Electricity Generation from Local Level to Global Scale; Nova Science Publishers: New York, NY, USA, 2006. [Google Scholar]
- Aguiar, L.M.; Pereira, B.; Lauret, P.; Díaz, F.; David, M. Combining solar irradiance measurements, satellite-derived data and a numerical weather prediction model to improve intra-day solar forecasting. Renew. Energy 2016, 97, 599–610. [Google Scholar] [CrossRef]
- Marquez, R.; Pedro, H.T.; Coimbra, C.F. Hybrid solar forecasting method uses satellite imaging and ground telemetry as inputs to ANNs. Sol. Energy 2013, 92, 176–188. [Google Scholar] [CrossRef]
- Cao, J.C.; Cao, S. Study of forecasting solar irradiance using neural networks with preprocessing sample data by wavelet analysis. Energy 2006, 31, 3435–3445. [Google Scholar] [CrossRef]
- Ogliari, E.; Niccolai, A.; Leva, S.; Zich, R. Computational intelligence techniques applied to the day ahead pv output power forecast: Phann, sno and mixed. Energies 2018, 11, 1487. [Google Scholar] [CrossRef]
- Goodfellow, I.; Bengio, Y.; Courville, A. Deep Learning; The MIT Press: Cambridge, MA, USA, 2016. [Google Scholar]
- Graves, A.; Mohamed, A.R.; Hinton, G. Speech recognition with deep recurrent neural networks. In Proceedings of the 2013 IEEE International Conference on Acoustics, Speech and Signal Processing (Icassp), Vancouver, BC, Canada, 26–31 May 2013; pp. 6645–6649. [Google Scholar]
- Zhao, Z.; Chen, W.; Wu, X.; Chen, P.C.; Liu, J. LSTM network: A deep learning approach for short-term traffic forecast. IET Intell. Transp. Syst. 2017, 11, 68–75. [Google Scholar] [CrossRef]
- Chung, J.; Gulcehre, C.; Cho, K.; Bengio, Y. Empirical evaluation of gated recurrent neural networks on sequence modeling. arXiv 2014, arXiv:1412.3555. [Google Scholar]
- Alzahrani, A.; Shamsi, P.; Dagli, C.; Ferdowsi, M. Solar irradiance forecasting using deep neural networks. Procedia Comput. Sci. 2017, 114, 304–313. [Google Scholar] [CrossRef]
- Abdel-Nasser, M.; Mahmoud, K. Accurate photovoltaic power forecasting models using deep LSTM-RNN. Neural Comput. Appl. 2019, 31, 2727–2740. [Google Scholar] [CrossRef]
- Husein, M.; Chung, I.Y. Day-Ahead Solar Irradiance Forecasting for Microgrids Using a Long Short-Term Memory Recurrent Neural Network: A Deep Learning Approach. Energies 2019, 12, 1856. [Google Scholar] [CrossRef]
- Kumar, S.; Hussain, L.; Banarjee, S.; Reza, M. Energy Load Forecasting using Deep Learning Approach-LSTM and GRU in Spark Cluster. In Proceedings of the 2018 Fifth International Conference on Emerging Applications of Information Technology (EAIT), Howrah, India, 12–13 January 2018; pp. 1–4. [Google Scholar] [CrossRef]
- Sorkun, M.C.; Paoli, C.; Incel, D. Time series forecasting on solar irradiation using deep learning. In Proceedings of the 2017 10th International Conference on Electrical and Electronics Engineering (ELECO), Bursa, Turkey, 30 November–2 December 2017; pp. 151–155. [Google Scholar]
- Cho, K.; van Merrienboer, B.; Gulcehre, C.; Bougares, F.; Schwenk, H.; Bengio, Y. Learning phrase representations using RNN encoder-decoder for statistical machine translation. In Proceedings of the Conference on Empirical Methods in Natural Language Processing (EMNLP 2014), Doha, Qatar, 25–29 October 2014. [Google Scholar]
- Watanabe, T.; Oishi, Y.; Nakajima, T.Y. Characterization of surface solar-irradiance variability using cloud properties based on satellite observations. Sol. Energy 2016, 140, 83–92. [Google Scholar] [CrossRef]
- Sengupta, M.; Weekley, A.; Habte, A.; Lopez, A.; Molling, C. Validation of the National Solar Radiation Database (NSRDB) (2005–2012); Technical Report; NREL (National Renewable Energy Laboratory (NREL): Lakewood, CO, USA, 2015. [Google Scholar]
- Pedro, H.T.; Larson, D.P.; Coimbra, C.F. A comprehensive dataset for the accelerated development and benchmarking of solar forecasting methods. J. Renew. Sustain. Energy 2019, 11, 036102. [Google Scholar] [CrossRef]
- Wojtkiewicz, J.; Katragadda, S.; Gottumukkala, R. A Concept-Drift Based Predictive-Analytics Framework: Application for Real-Time Solar Irradiance Forecasting. In Proceedings of the 2018 IEEE International Conference on Big Data (Big Data), Seattle, WA, USA, 10–13 December 2018; pp. 5462–5464. [Google Scholar]





| Model | Univariate | Multivariate without Cloud Cover | Multivariate with Cloud Cover | |||
|---|---|---|---|---|---|---|
| MAPE | RMSE | MAPE | RMSE | MAPE | RMSE | |
| LSTM | 29.13% | 67.17 | 25.37% | 66.57 | 23.79% | 66.75 |
| GRU | 30.29% | 68.27 | 28.99% | 67.29 | 25.67% | 67.97 |
| Experiment | Training (h) | Prediction (s) |
|---|---|---|
| Univariate GRU | 0.65 | 1.55 |
| Univariate LSTM | 0.7 | 1.39 |
| Multivariate GRU without cloud | 2.4 | 8.14 |
| Multivariate LSTM without cloud | 2.66 | 9.23 |
| Multivariate GRU with cloud | 2.9 | 11.02 |
| Multivariate LSTM with cloud | 3.27 | 11.84 |
| Model | Error (%) |
|---|---|
| Regression | 29.96 |
| Unobserved Components Models | 29.92 |
| ARIMA | 23.6 |
| Transfer function | 23.52 |
| Neural network | 29.38 |
| Hybrid | 23.67 |
© 2019 by the authors. Licensee MDPI, Basel, Switzerland. This article is an open access article distributed under the terms and conditions of the Creative Commons Attribution (CC BY) license (http://creativecommons.org/licenses/by/4.0/).
Share and Cite
Wojtkiewicz, J.; Hosseini, M.; Gottumukkala, R.; Chambers, T.L. Hour-Ahead Solar Irradiance Forecasting Using Multivariate Gated Recurrent Units. Energies 2019, 12, 4055. https://doi.org/10.3390/en12214055
Wojtkiewicz J, Hosseini M, Gottumukkala R, Chambers TL. Hour-Ahead Solar Irradiance Forecasting Using Multivariate Gated Recurrent Units. Energies. 2019; 12(21):4055. https://doi.org/10.3390/en12214055
Chicago/Turabian StyleWojtkiewicz, Jessica, Matin Hosseini, Raju Gottumukkala, and Terrence Lynn Chambers. 2019. "Hour-Ahead Solar Irradiance Forecasting Using Multivariate Gated Recurrent Units" Energies 12, no. 21: 4055. https://doi.org/10.3390/en12214055
APA StyleWojtkiewicz, J., Hosseini, M., Gottumukkala, R., & Chambers, T. L. (2019). Hour-Ahead Solar Irradiance Forecasting Using Multivariate Gated Recurrent Units. Energies, 12(21), 4055. https://doi.org/10.3390/en12214055
