A Hydraulic Model for Multiphase Flow Based on the Drift Flux Model in Managed Pressure Drilling
Abstract
1. Introduction
2. Mathematical Model
2.1. Governing Equations
2.2. Closure Equations
2.3. Shi Slip Relation
2.4. Primitive Variables
2.5. Boundary Conditions
3. Numerical Scheme
3.1. Advection Upwind Splitting Method Scheme
3.2. Second-Order Accuracy
3.3. Solution Method
3.4. Workflow
4. Experimental Validation
4.1. Laboratory Test
4.2. Full-Scale Experiment
5. Sensitivity Analysis
6. Conclusions
- (1)
- In laboratory experiments, the flow state is mainly divided into three stages: the liquid phase flow stage (0–25 s), the transient gas–liquid two-phase flow stage (25–32 s), and the stable flow stage (32–60 s). The simulated data are in good agreement with the experimental results, and the error range is within ±10%.
- (2)
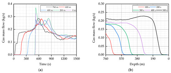
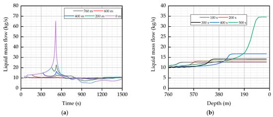
- The pressure shows a gradual decline, which is followed by a sharp fall, before an incremental increase again. The drop in pressure is due to the original fluid being dispelled with the ingress of gas. As the gas moves upwards, the pressure it is subjected to decreases, which causes the gas to expand further. As a result, more fluid is dispelled, and the drop in pressure occurs faster. Up to the point when the gas reaches the wellhead, the downhole pressure is at its minimum.
- (3)
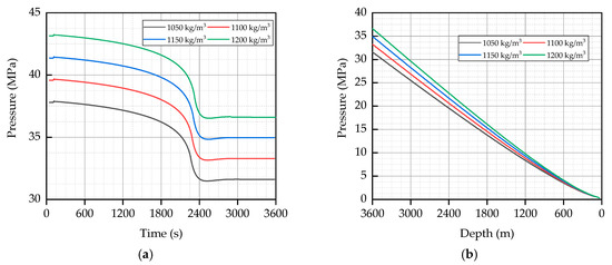
- The adjustment of wellhead back pressure is mainly realized by throttle valve. The higher the wellhead back pressure is, the smaller the downhole pressure will be. When the gas–liquid two-phase flow in the wellbore reaches an equilibrium state, the downhole pressure will decrease less with the increase of drilling fluid displacement, and the time of gas reaching the wellhead will be earlier.
- (4)
- The downhole pressure can be controlled by changing the density of drilling fluid. However, the adjustment of drilling fluid density has a serious lag. Considering the variation of gas invasion caused by reservoir pressure difference, there will be no stable gas–liquid two-phase flow equilibrium.
Author Contributions
Funding
Acknowledgments
Conflicts of Interest
References
- Feng, Y.; Li, G.; Meng, Y.; Guo, B. A novel approach to investigating transport of lost circulation materials in rough fracture. Energies 2018, 11, 2572. [Google Scholar] [CrossRef]
- Vega, M.P.; de Moraes Oliveira, G.F.; Fernandes, L.D.; Martins, A.L. Monitoring and control strategies to manage pressure fluctuations during oil well drilling. J. Pet. Sci. Eng. 2018, 166, 337–349. [Google Scholar] [CrossRef]
- Zhou, J.; Gravdal, J.E.; Strand, P.; Hovland, S. Automated kick control procedure for an influx in managed pressure drilling operations. Model. Identif. Control 2016, 37, 31–40. [Google Scholar] [CrossRef]
- Siddiqi, F.A.; Riskiawan, A.; Al-Yami, A.; Elmarsafawi, Y.; Jain, B.; Louati, I.; Martanto, R.; Taoutaou, S. Successful managed pressure cementing with hydraulic simulations verification in a narrow pore-frac pressure window using managed pressure drilling in Saudi Arabia. In Proceedings of the SPE Annual Technical Conference and Exhibition, Dubai, UAE, 26–28 September 2016. [Google Scholar]
- Nana, D.; Buyers, G.; Burton, D.; Gomes, J.; Pulpan, E.; Tickoo, A.; Meyer, A.W.; Munozrivera, M.; Silko, N.; Demidov, D. Successful application of self-degradable lost circulation control pill in managed pressure drilling for a deepwater well. In Proceedings of the IADC/SPE Asia Pacific Drilling Technology Conference, Singapore, 22–24 August 2016. [Google Scholar]
- Samuel, R.; Lovorn, R. Elastic Pipe Control and Compensation for Managed Pressure Drilling Under Sea Wave Heave Conditions. In Proceedings of the SPE/IADC Drilling Conference and Exhibition, London, UK, 17–19 March 2015. [Google Scholar]
- Khabibullin, T.; Falcone, G.; Teodoriu, C. Drilling through gas-hydrate sediments: Managing wellbore stability risks. SPE Drill. Complet. 2011, 26, 287–294. [Google Scholar] [CrossRef]
- Motghare, P.D.; Musale, A. Unconventional Hydrocarbons: Gas Hydrates—Drilling Challenges and Suitable Technology. In Proceedings of the SPE Oil and Gas India Conference and Exhibition, Mumbai, India, 4–6 April 2017. [Google Scholar]
- Rommetveit, R.; Davidson, I.; Svendsen, M. Real time engineering-based simulation training addresses risk in managed pressure drilling. In Proceedings of the SPE/IADC Drilling Conference and Exhibition, The Hague, The Netherlands, 14–16 March 2017. [Google Scholar]
- Linga, G.; Flåtten, T. A hierarchy of non-equilibrium two-phase flow models. ESAIM Proc. Surv. 2019, 66, 109–143. [Google Scholar] [CrossRef]
- Aarsnes, U.J.F.; Flåtten, T.; Aamo, O.M. Review of two-phase flow models for control and estimation. Annu. Rev. Control 2016, 42, 50–62. [Google Scholar] [CrossRef]
- Allaire, G.; Clerc, S.; Kokh, S. A Five-Equation Model for the Simulation of Interfaces between Compressible Fluids. J. Comput. Phys. 2002, 181, 577–661. [Google Scholar] [CrossRef]
- Ansari, M.R.; Daramizadeh, A. Slug type hydrodynamic instability analysis using a five equations hyperbolic two-pressure, two-fluid model. Ocean Eng 2012, 52, 1–12. [Google Scholar] [CrossRef]
- Morin, A.; Flåtten, T.; Munkejord, S.T. A Roe scheme for a compressible six-equation two-fluid model. Int. J. Numer. Methods Fluids 2013, 72, 478–504. [Google Scholar] [CrossRef]
- Morin, A.; Flåtten, T. A two-fluid four-equation model with instantaneous thermodynamical equilibrium. ESAIM M2AN 2016, 50, 1167–1192. [Google Scholar] [CrossRef]
- Zuber, N.; Findlay, J.A. Average volumetric concentration in two-phase flow systems. J. Heat Transf. 1965, 87, 453–468. [Google Scholar] [CrossRef]
- Ishii, M. One-Dimensional Drift-Flux Model and Constitutive Equations for Relative Motion between Phases in Various Two-Phase Flow Regimes; Argonne National Lab.: Lemont, IL, USA, 1977.
- Avelar, C.S.; Ribeiro, P.R.; Sepehrnoori, K. Deepwater gas kick simulation. J. Pet. Sci. Eng. 2009, 67, 13–22. [Google Scholar] [CrossRef]
- Vajargah, A.K.; van Oort, E. Early kick detection and well control decision-making for managed pressure drilling automation. J. Nat. Gas Sci. Eng. 2015, 27, 354–366. [Google Scholar] [CrossRef]
- de Carvalho, M.A.D.; de Moraes Oliveira, G.F.; Fernandes, L.D.; Martins, A.L.; Vega, M.P. Two-phase flow model validation during conventional/Pressurized Mud Cap Drilling (PMCD) scenarios. J. Pet. Sci. Eng. 2019, 172, 314–326. [Google Scholar] [CrossRef]
- Aarsnes, U.J.F.; Ambrus, A.; Di Meglio, F.; Karimi Vajargah, A.; Morten Aamo, O.; van Oort, E. A simplified two-phase flow model using a quasi-equilibrium momentum balance. Int. J. Multiph. Flow 2016, 83, 77–85. [Google Scholar] [CrossRef]
- Aarsnes, U.J.F.; Di Meglio, F.; Aamo, O.M.; Kaasa, G. Fit-for-purpose modeling for automation of underbalanced drilling operations. In Proceedings of the SPE/IADC Managed Pressure Drilling & Underbalanced Operations Conference & Exhibition, Madrid, Spain, 8–9 April 2014. [Google Scholar]
- Landet, I.S.; Mahdianfar, H.; Pavlov, A.; Aamo, O.M. Modeling for MPD operations with experimental validation. In Proceedings of the IADC/SPE Drilling Conference and Exhibition, San Diego, CA, USA, 6–8 March 2012. [Google Scholar]
- Hauge, E.; Aamo, O.M.; Godhavn, J.M.; Nygaard, G. A novel model-based scheme for kick and loss mitigation during drilling. J. Process Control 2013, 23, 463–472. [Google Scholar] [CrossRef]
- Saurel, R.; Abgrall, R. A multiphase Godunov method for compressible multifluid and multiphase flows. J. Comput. Phys. 1999, 150, 425–467. [Google Scholar] [CrossRef]
- Wei, N.; Xu, C.; Meng, Y.; Li, G.; Ma, X.; Liu, A. Numerical simulation of gas-liquid two-phase flow in wellbore based on drift flux model. Appl. Math. Comput. 2018, 338, 175–191. [Google Scholar] [CrossRef]
- Wang, N.; Sun, B.; Wang, Z.; Wang, J.; Yang, C. Numerical simulation of two phase flow in wellbores by means of drift flux model and pressure based method. J. Nat. Gas Sci. Eng. 2016, 36, 811–823. [Google Scholar] [CrossRef]
- Evje, S.; Fjelde, K.K. Hybrid Flux-Splitting Schemes for a Two-Phase Flow Model. J. Comput. Phys. 2002, 175, 674–701. [Google Scholar] [CrossRef]
- Evje, S.; Fjelde, K.K. On a rough AUSM scheme for a one-dimensional two-phase model. Comput. Fluids 2003, 32, 1497–1530. [Google Scholar] [CrossRef]
- Udegbunam, J.E.; Fjelde, K.K.; Evje, S.; Nygaard, G. On the advection-upstream-splitting-method hybrid scheme: A simple transient-flow model for managed-pressure-drilling and underbalanced drilling applications. SPE Drill. Complet. 2015, 30, 98–109. [Google Scholar] [CrossRef]
- Niu, Y.Y. Advection upwinding splitting method to solve a compressible two-fluid model. Int. J. Numer. Methods Fluids 2001, 36, 351–371. [Google Scholar] [CrossRef]
- Paillère, H.; Corre, C.; Cascales, J.R.G. On the extension of the AUSM+ scheme to compressible two-fluid models. Comput. Fluids 2003, 32, 891–916. [Google Scholar] [CrossRef]
- Evje, S.; Flåtten, T. Hybrid flux-splitting schemes for a common two-fluid model. J. Comput. Phys. 2003, 192, 175–210. [Google Scholar] [CrossRef]
- Udegbunam, J.E.; Fjelde, K.K.; Sui, D. Numerical integration of the AUSMV scheme with a dynamic wellbore temperature model. In Proceedings of the ASME 2018 37th International Conference on Ocean, Offshore and Arctic Engineering, Madrid, Spain, 17–22 June 2018. [Google Scholar]
- Meng, Y.; Xu, C.; Wei, N.; Li, G.; Li, H.; Duan, M. Numerical simulation and experiment of the annular pressure variation caused by gas kick/injection in wells. J. Nat. Gas Sci. Eng. 2015, 22, 646–655. [Google Scholar] [CrossRef]
- Shi, H.; Holmes, J.A.; Durlofsky, L.J.; Aziz, K.; Diaz, L.R.; Alkaya, B.; Oddie, G. Drift-flux modeling of multiphase flow in wellbores. In Proceedings of the SPE Annual Technical Conference and Exhibition, Denver, CO, USA, 5–8 October 2003. [Google Scholar]
- Lage, A.C.V.M.; Fjelde, K.K.; Time, R.W. Underbalanced Drilling Dynamics: Two-Phase Flow Modeling and Experiments. SPE J. 2003, 8, 61–70. [Google Scholar] [CrossRef]




















| Well Depth (m) | Outer Tubing Diameter (m) | Casing Diameter (m) |
|---|---|---|
| 0–500 | 0.089 | 0.2523 |
| 500–2800 | 0.089 | 0.15708 |
| 2800–3600 | 0.127 | 0.1469 |
| Parameter | Unit | Value | Parameter | Unit | Value |
|---|---|---|---|---|---|
| Liquid density | kg/m3 | 1100 | Surface temperature | K | 293.15 |
| Back pressure | Pa | 101325 | Temperature gradient | K/(100 m) | 2.2 |
| Liquid viscosity | Pa·s | 0.02 | Surface tension | N/m | 0.0761 |
| Gas viscosity | Pa·s | 0.0000015 | Sound velocity in liquid | m/s | 1200 |
© 2019 by the authors. Licensee MDPI, Basel, Switzerland. This article is an open access article distributed under the terms and conditions of the Creative Commons Attribution (CC BY) license (http://creativecommons.org/licenses/by/4.0/).
Share and Cite
Fang, Q.; Meng, Y.; Wei, N.; Xu, C.; Li, G. A Hydraulic Model for Multiphase Flow Based on the Drift Flux Model in Managed Pressure Drilling. Energies 2019, 12, 3930. https://doi.org/10.3390/en12203930
Fang Q, Meng Y, Wei N, Xu C, Li G. A Hydraulic Model for Multiphase Flow Based on the Drift Flux Model in Managed Pressure Drilling. Energies. 2019; 12(20):3930. https://doi.org/10.3390/en12203930
Chicago/Turabian StyleFang, Qiang, Yingfeng Meng, Na Wei, Chaoyang Xu, and Gao Li. 2019. "A Hydraulic Model for Multiphase Flow Based on the Drift Flux Model in Managed Pressure Drilling" Energies 12, no. 20: 3930. https://doi.org/10.3390/en12203930
APA StyleFang, Q., Meng, Y., Wei, N., Xu, C., & Li, G. (2019). A Hydraulic Model for Multiphase Flow Based on the Drift Flux Model in Managed Pressure Drilling. Energies, 12(20), 3930. https://doi.org/10.3390/en12203930

