Uncovering Household Carbon Footprint Drivers in an Aging, Shrinking Society
Abstract
1. Introduction
2. Materials and Methods
2.1. Quantification of Carbon Footprint by Household Consumption
2.2. Index Decomposition Analysis and Structural Decomposition Analysis
2.3. Data
2.4. Limitations
3. Results and Discussion
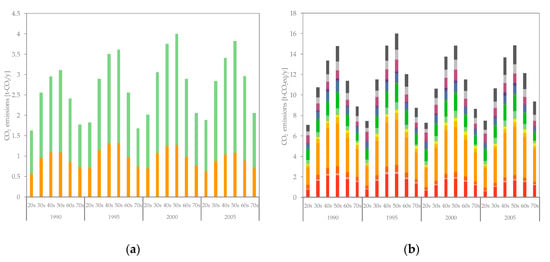
3.1. Overall Trends of Total Direct and Indirect CO2 Emissions
3.2. Changes in Direct and Indirect CO2 Emissions in Different Sectors and Age Groups
3.3. Decomposition Results
3.3.1. Driving Forces of Total Direct and Indirect CO2 Emissions
3.3.2. Driving Forces of Indirect CO2 Emissions of Key Sectors
4. Conclusions
- Among household-related CF during 1990–2005, indirect CO2 emissions kept increasing from 1990, although direct CO2 emissions slowed down between 2000 and 2005.
- Per capita CO2 emissions of direct and indirect emissions by household age group showed similar distributions during the studied period. Emissions begin to rise from the 20s and decline after peaking in the 50s. In addition, the level of both direct and indirect emissions per capita did not change radically during the analyzed 15-year period.
- The two decomposition analyses for direct and indirect CO2 emissions showed that the effects of changes in household size due to the trend away from nuclear family structures and production technology progress restrained indirect CO2 emissions to a large extent. On the other hand, the results also showed that if Japan continues to follow current consumption and demographic trajectories (i.e., the aging society becoming an ‘aged’ society), both of those emissions will increase regarding the contributions from related drivers.
- Decomposition analysis for the sectoral CF showed that the main factors leading to the increase in indirect CO2 emissions were the increase in the number of households and consumption volume. Regarding aging and a reduced birth rate, the increase in small-scale households has increased the overall number of households in Japan due to changing family structures, which has expanded household consumption volume per capita—an important driving force behind increasing household CF.
Author Contributions
Funding
Conflicts of Interest
Appendix A



References
- IPCC Global Warming of 1.5 °C. Summary for Policymakers. Available online: https://www.ipcc.ch/sr15/ (accessed on 20 July 2019).
- Peters, G.P. From production-based to consumption-based national emission inventories. Ecol. Econ. 2008, 65, 13–23. [Google Scholar] [CrossRef]
- Davis, S.J.; Caldeira, K. Consumption-based accounting of CO2 emissions. Proc. Natl. Acad. Sci. USA 2010, 107, 5687–5692. [Google Scholar] [CrossRef] [PubMed]
- Wiedmann, T. A review of recent multi-region input-output models used for consumption-based emission and resource accounting. Ecol. Econ. 2009, 69, 211–222. [Google Scholar] [CrossRef]
- Hertwich, E.G. The Life Cycle Environmental Impacts Of Consumption. Econ. Syst. Res. 2011, 23, 27–47. [Google Scholar] [CrossRef]
- Zhang, X.; Luo, L.; Skitmore, M. Household carbon emission research: An analytical review of measurement, influencing factors and mitigation prospects. J. Clean. Prod. 2015, 103, 873–883. [Google Scholar] [CrossRef]
- Wiedenhofer, D.; Smetschka, B.; Akenji, L.; Jalas, M.; Haberl, H. Household time use, carbon footprints, and urban form: a review of the potential contributions of everyday living to the 1.5 °C climate target. Curr. Opin. Environ. Sustain. 2018, 30, 7–17. [Google Scholar] [CrossRef]
- Ivanova, D.; Stadler, K.; Steen-Olsen, K.; Wood, R.; Vita, G.; Tukker, A.; Hertwich, E.G. Environmental Impact Assessment of Household Consumption. J. Ind. Ecol. 2016, 20, 526–536. [Google Scholar] [CrossRef]
- IEA. Key World Energy Statistics 2016; IEA: Paris, France, 2016. [Google Scholar]
- Shigetomi, Y.; Nansai, K.; Kagawa, S.; Tohno, S. Fertility-rate recovery and double-income policies require solving the carbon gap under the Paris Agreement. Resour. Conserv. Recycl. 2018, 133, 385–394. [Google Scholar] [CrossRef]
- Shigetomi, Y.; Matsumoto, K.; Ogawa, Y.; Shiraki, H.; Yamamoto, Y.; Ochi, Y.; Ehara, T. Driving forces underlying sub-national carbon dioxide emissions within the household sector and implications for the Paris Agreement targets in Japan. Appl. Energy 2018, 228, 2321–2332. [Google Scholar] [CrossRef]
- Nansai, K.; Kagawa, S.; Kondo, Y.; Suh, S.; Nakajima, K.; Inaba, R.; Oshita, Y.; Morimoto, T.; Kawashima, K.; Terakawa, T.; et al. Characterization of economic requirements for a “carbon-debt-free country”. Environ. Sci. Technol. 2012, 46, 155–163. [Google Scholar] [CrossRef]
- Shigetomi, Y.; Nansai, K.; Kagawa, S.; Tohno, S. Changes in the Carbon Footprint of Japanese Households in an Aging Society. Environ. Sci. Technol. 2014, 48, 6069–6080. [Google Scholar] [CrossRef] [PubMed]
- Shigetomi, Y.; Nansai, K.; Kagawa, S.; Tohno, S. Influence of income difference on carbon and material footprints for critical metals: the case of Japanese households. J. Econ. Struct. 2016, 5, 1. [Google Scholar] [CrossRef]
- Takase, K.; Kondo, Y.; Washizu, A. An analysis of sustainable consumption by the waste input-output model. J. Ind. Ecol. 2005, 9, 201–219. [Google Scholar] [CrossRef]
- Kawajiri, K.; Tabata, T.; Ihara, T. Using a Rebound Matrix to Estimate Consumption Changes from Saving and its Environmental Impact in Japan. J. Ind. Ecol. 2015, 19, 564–574. [Google Scholar] [CrossRef]
- Long, Y.; Dong, L.; Yoshida, Y.; Li, Z. Evaluation of energy-related household carbon footprints in metropolitan areas of Japan. Ecol. Model. 2018, 377, 16–25. [Google Scholar] [CrossRef]
- Long, Y.; Yoshida, Y.; Meng, J.; Guan, D.; Yao, L.; Zhang, H. Unequal age-based household emission and its monthly variation embodied in energy consumption—A cases study of Tokyo, Japan. Appl. Energy 2019, 247, 350–362. [Google Scholar] [CrossRef]
- Sovacool, B.K.; Kester, J.; Noel, L.; de Rubens, G.Z. The demographics of decarbonizing transport: The influence of gender, education, occupation, age, and household size on electric mobility preferences in the Nordic region. Glob. Environ. Chang. 2018, 52, 86–100. [Google Scholar] [CrossRef]
- Ang, B.W.; Zhang, F.Q. A survey of index decomposition analysis in energy and environmental studies. Energy 2000, 25, 1149–1176. [Google Scholar] [CrossRef]
- Rose, A.; Casler, S. Input-output structural decomposition analysis: a critical appraisal. Econ. Syst. Res. 1996, 8, 33–62. [Google Scholar] [CrossRef]
- Ang, B.; Zhang, F.; Choi, K.-H. Factorizing changes in energy and environmental indicators through decomposition. Energy 1998, 23, 489–495. [Google Scholar] [CrossRef]
- Xu, X.Y.; Ang, B.W. Index decomposition analysis applied to CO2 emission studies. Ecol. Econ. 2013, 93, 313–329. [Google Scholar] [CrossRef]
- Hoekstra, R.; van den Bergh, J.C.J.M. Comparing structural decomposition analysis and index. Energy Econ. 2003, 25, 39–64. [Google Scholar] [CrossRef]
- Lenzen, M. Structural analyses of energy use and carbon emissions—An overview. Econ. Syst. Res. 2016, 28, 119–132. [Google Scholar] [CrossRef]
- Donglan, Z.; Dequn, Z.; Peng, Z. Driving forces of residential CO2 emissions in urban and rural China: An index decomposition analysis. Energy Policy 2010, 38, 3377–3383. [Google Scholar] [CrossRef]
- Zang, X.; Zhao, T.; Wang, J.; Guo, F. The effects of urbanization and household-related factors on residential direct CO2 emissions in Shanxi, China from 1995 to 2014: A decomposition analysis. Atmos. Pollut. Res. 2017, 8, 297–309. [Google Scholar] [CrossRef]
- Xu, X.Y.; Ang, B.W. Analysing residential energy consumption using index decomposition analysis. Appl. Energy 2014, 113, 342–351. [Google Scholar] [CrossRef]
- Guan, D.; Hubacek, K.; Weber, C.L.; Peters, G.P.; Reiner, D.M. The drivers of Chinese CO2 emissions from 1980 to 2030. Glob. Environ. Chang. 2008, 18, 626–634. [Google Scholar] [CrossRef]
- Feng, K.; Davis, S.J.; Sun, L.; Hubacek, K. Drivers of the US CO2 emissions 1997–2013. Nat. Commun. 2015, 6, 7714. [Google Scholar] [CrossRef]
- Yuan, B.; Ren, S.; Chen, X. The effects of urbanization, consumption ratio and consumption structure on residential indirect CO2 emissions in China: A regional comparative analysis. Appl. Energy 2015, 140, 94–106. [Google Scholar] [CrossRef]
- Chapman, A.; Fujii, H.; Managi, S. Key Drivers for Cooperation toward Sustainable Development and the Management of CO2 Emissions: Comparative Analysis of Six Northeast Asian Countries. Sustainability 2018, 10, 244. [Google Scholar] [CrossRef]
- Okamoto, S. Impacts of Growth of a Service Economy on CO2 Emissions: Japan’s Case. J. Econ. Struct. 2013, 2. [Google Scholar] [CrossRef]
- Timilsina, G.R.; Shrestha, A. Transport sector CO2 emissions growth in Asia: Underlying factors and policy options. Energy Policy 2009, 37, 4523–4539. [Google Scholar] [CrossRef]
- Matsumoto, K.; Shigetomi, Y.; Shiraki, H.; Ochi, Y.; Ogawa, Y.; Ehara, T. Addressing Key Drivers of Regional CO2 Emissions of the Manufacturing Industry in Japan. Energy J. 2019, 40, 233–258. [Google Scholar] [CrossRef]
- Miller, R.E.; Blair, P.D. Input–Output Analysis; Cambridge University Press: Cambridge, UK, 2009; ISBN 9780511626982. [Google Scholar]
- Sun, J.W. Changes in energy consumption and energy intensity: A complete decomposition model. Energy Econ. 1998, 20, 85–100. [Google Scholar] [CrossRef]
- Dietzenbacher, E.; Los, B. Structural Decomposition Techniques: Sense and Sensitivity. Econ. Syst. Res. 1998, 10, 307–324. [Google Scholar] [CrossRef]
- Agency for Natural Resources and Energy of Japan Comprehensive Energy Statistics. Available online: https://www.enecho.meti.go.jp/statistics/total_energy/ (accessed on 20 July 2019).
- MIC NSFIE; National Survey of Family Income and Expenditure. Available online: https://www.e-stat.go.jp/stat-search/database?page=1&toukei=00200564&survey=全国消費実態調査&second=1&second2=1 (accessed on 1 May 2019).
- Nansai, K.; Moriguchi, Y. Embodied Energy and Emission Intensity Data for Japan Using Input-Output Tables. Available online: http://www.cger.nies.go.jp/publications/report/d031/jpn/datafile/embodied/2005/403.htm (accessed on 20 July 2019).
- Statistics Bureau of Japan Motor Vehicles Owned by Kind (F.Y.1936-2004). Available online: https://www.stat.go.jp/english/data/chouki/12.html?fbclid=IwAR1-62rFrm6hiZ-4nidMyIqEz1KX_W4YtvP-O4utpVG9mTEx3gURNhRkJvE (accessed on 20 July 2019).
- Choi, Y.; Hirata, H.; Kim, S.H. Tax reform in Japan: Is it welfare-enhancing? Jpn. World Econ. 2017, 42, 12–22. [Google Scholar] [CrossRef]
- MHLW; Ministry of Health Labour and Welfare Overview of Medical Service Regime in Japan. Available online: https://www.mhlw.go.jp/bunya/iryouhoken/iryouhoken01/dl/01_eng.pdf (accessed on 1 May 2019).
- Chan, Y.C. How does retail sentiment affect IPO returns? Evidence from the internet bubble period. Int. Rev. Econ. Financ. 2014, 29, 235–248. [Google Scholar] [CrossRef]
- MHLW; Ministry of Health Labour and Welfare National Livelihood Survey. Available online: https://www.mhlw.go.jp/toukei/saikin/hw/k-tyosa/k-tyosa18/index.html (accessed on 20 July 2019).







| Year | Average Annualized Increase | Growth Rate (between 1990 and 2005) | ||||
|---|---|---|---|---|---|---|
| 1990 | 1995 | 2000 | 2005 | |||
| Direct CO2 emissions (Mt-CO2) | 103.6 | 124.2 | 143.6 | 142.5 | 2.6 | 37.5% |
| Indirect CO2 emissions (Mt-CO2) | 473.5 | 542.6 | 537.9 | 572.3 | 6.6 | 20.9% |
| Total CO2 emissions (Mt-CO2) | 577.2 | 666.9 | 681.5 | 714.8 | 9.2 | 23.8% |
© 2019 by the authors. Licensee MDPI, Basel, Switzerland. This article is an open access article distributed under the terms and conditions of the Creative Commons Attribution (CC BY) license (http://creativecommons.org/licenses/by/4.0/).
Share and Cite
Huang, Y.; Shigetomi, Y.; Chapman, A.; Matsumoto, K. Uncovering Household Carbon Footprint Drivers in an Aging, Shrinking Society. Energies 2019, 12, 3745. https://doi.org/10.3390/en12193745
Huang Y, Shigetomi Y, Chapman A, Matsumoto K. Uncovering Household Carbon Footprint Drivers in an Aging, Shrinking Society. Energies. 2019; 12(19):3745. https://doi.org/10.3390/en12193745
Chicago/Turabian StyleHuang, Yuzhuo, Yosuke Shigetomi, Andrew Chapman, and Ken’ichi Matsumoto. 2019. "Uncovering Household Carbon Footprint Drivers in an Aging, Shrinking Society" Energies 12, no. 19: 3745. https://doi.org/10.3390/en12193745
APA StyleHuang, Y., Shigetomi, Y., Chapman, A., & Matsumoto, K. (2019). Uncovering Household Carbon Footprint Drivers in an Aging, Shrinking Society. Energies, 12(19), 3745. https://doi.org/10.3390/en12193745

