3.1. Data
This study utilized panel data from 183 Ghana SLT companies from 1994–1997 and 2012. Due to the power crises, some large-scale electricity users in Ghana folded up either temporarily or permanently or did not operate at their full capacities in 1998–2010 and 2012–2015. Therefore, we limited our sample by excluding those SLT firms and the respective years of crises. As our outcome variable was a one-year lag from 1994, the total number of valid observations was 732.
Figure 1 illustrates the power factor of firms in time t compared with time t-1. Horizontal and vertical lines at 0.9 of the X and Y axis represent the cut-off threshold of the power factor improvement policy. Points that fall to the right of the vertical line and above the horizontal line represent power-efficient firms that were not subject to the penalty under the policy. From
Figure 1, we find those firms scattered along the 45 degree line did not improve their power factors from the previous years. Those above the 45 degree line are the compliers who responded to the policy and improved their power factor compared with that at time t-1. There are a number of firms to the left of the vertical line who are just above the horizontal line: these are the firms who have improved their power factor above the penalty threshold from the previous year. In turn, those scattered below the 45 degree line are the noncomplying firms.
Table 1 reports the summary statistics of our data. From the mean of power factor in each year, we can see that the firms’ power factor had gradually improved. The dispersion of power factor among firms also became smaller towards year 2012, where the range had shrunken from 61 to 23, approximately 2.5 times smaller. We report our interested outcomes, the total number of employed, average salary of all staff, the average salary of all management staff, and the average salary of non-management staff, in logarithm form to measure the changes in terms of the growth rates rather than the levels, given the large heterogeneity among firms. Log transformation of variables is a common practice in applied microeconomic analyses when the linear form has a long range, such as income and salary (see for example [
23,
24,
25]).
Table 1 shows that the total number employed, average salary of all staff, the average salary of all management staff, and the average salary of non-management staff are all having a long skewed tail, with means being far from the max values, even after taking the log and the first difference.
3.2. Identification Strategies
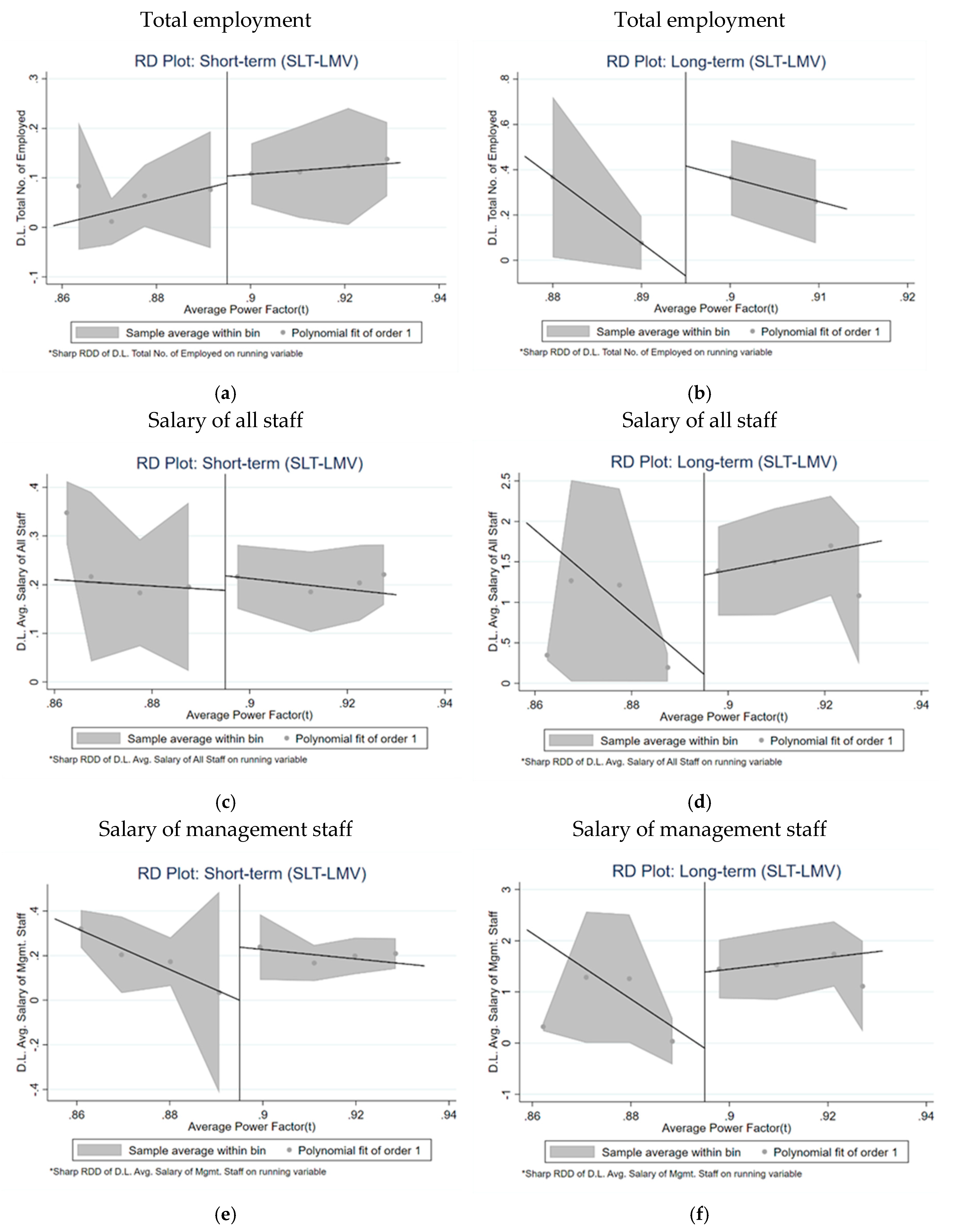
This paper aims to show the impact of PFC policy on the firm’s competency in both the short- and long-term perspective. Our study attempts to interpret a firm’s competitiveness through its human resource management outcomes by employing four managerial outcomes, namely, total number of employed, average salary of all staff, average salary of managerial staff, and average salary of nonmanagerial staff. For the short-term perspective, we pooled the observations from 1994 to 1997 in the analysis, while for the long-term perspective, we further included the observations from 2012, which brought our total number in the sample to 915.
We presume that the salary offered by a firm can serve as a proxy for a firm’s competitiveness and productivity. This logical framework flows from the positive synergy attainable through energy efficiency, which can lead to the overall improvement in firm performance, while raising their ability to offer higher compensation to employees for retaining skilled human capital and keeping up the excellent performance. For instance, Rayton [
26] showed that top-performing firms tend to link their employee’s remuneration more closely to a firm’s annual growth.
Apart from overall staff salary, we also tried to separately measure managerial and nonmanagerial staff salary given our interest in outcomes to address the existence of vertical and horizontal pay dispersion in firms [
27,
28]. As firms might want to control or even reduce pay for nonmanagerial staff or nonskilled labor, it is more reasonable to distinguish managerial and nonmanagerial staff remuneration in separate measurements to avoid plausible mixed effects.
We took first differences and one lag for all outcome variables, as the impact of the power factor improvement would usually take time to be reflected in all of these human resource managerial outcomes. We also conducted a robustness check by using two-period lagged outcome variables to allow firms to have a longer time to adjust to the penalized situation after the PFC policy is in place.
Our treatment variable is a power factor improvement dummy that equals one when the firm in the current year strictly improved its power factor from the last year, and zero otherwise. Obviously, this treatment variable is not randomly assigned and therefore suffers from confounding. To avoid this endogeneity, we adopted the identification strategy via a regression discontinuity design (RDD), which constitutes a quasi-experimental setting. (In Lotsu et al. [
15], the main equation outcome is the power factor in year t, while treatment is whether or not a firm received a penalty based on power factor in year t − 1 with the strict cut-off value (running variable) of power factor 0.895.) Fortunately, the policy of imposing a penalty on any firm whose power factor is less than the threshold value of 0.9 provides us with a quasi-experimental setting that can draw a causal estimation. Following the identification strategy in Lotsu et al. [
15], we also employed a cutoff value of 0.895 of power factor, as our running variable is measured in the increment of 0.01. The policy is designed to encourage firms to improve their power factor compared with the previous year. Therefore, unlike the previous paper that utilized sharp RDD, this study applied a fuzzy RDD (FRD hereafter), where power factor improvement is regarded as the treatment. The underlining identification assumptions for this FRD framework are (i) both potential outcome and potential treatment are continuous in the power factor around the penalty threshold and (ii) monotonicity and relevance of the PFC policy as an instrument are satisfied.
Our parameter of interest is defined as follows:
which is obtained by taking the ratio of the average treatment effect of the penalty policy on the outcome at the threshold,
, to that on the treatment,
(see Calonico et al. [
29]), where the subscript SRD refers to the sharp RD estimates. In other words, this can be regarded as the local average treatment effect (LATE) at the penalty policy threshold. The + and − signs refer to the range of optimal bandwidth that is selected by the data. We followed the nonparametric specification of [
30] and calculated the mean squared error- (MSE)-optimal bandwidths based on the data. Note that since the computation is based on minimizing MSE, the optimal bandwidth is different for each outcome variable.
Since this optimal data-driven bandwidth computation method was introduced by Calonico et al., [
29,
30] it has been adapted by several different studies that employed FRD. For instance, in the political economy field, Pons and Tricaud [
31] adopted the method in the French election to study the voters’ behavior by leveraging on the fact that 12.5% qualification threshold exists for the third candidate to be eligible in the second-round election. In the agricultural economy field, Aung et al. [
32] applied the method to the case of farmers in Myanmar whose eligibility to receive credit depends on whether their rice farming area is greater than 10 acres or not, to study a credit policy’s impacts on rice production. In the health economics field, Zhang et al. [
33] utilized the China’s statutory retirement ages of 60 years for men and 50 for women as the cutoff to study the causality of retirement on healthcare services utilization. Although in different fields, the common issue among these studies lays on the existence of compliers and noncompliers around the threshold. This necessitates the assessment of causal effect by examine the LATE, by taking up the nonparametric FRD estimation.
In our study, we assumed that the treatment status of a firm is induced by the power factor that is lower than 0.895, reflecting the firms’ incentive to avoid the penalty. With the existence of noncompliers, not all firms whose power factor in the last year is lower than 0.895 improve their power factor, or in other words, get “treated.” However, it still raises the probability of a firm being treated, which creates discontinuity on the likelihood of treatment that allows us to measure causality.
Furthermore, we also trimmed the sample within a reasonably narrow bandwidth, above and below the threshold value of the running variable (i.e., the power factor). By limiting the sample within this small window of the power factor, those firms located right above and below the threshold were nearly identical to each other as a group. These firms have by chance been cut off into two groups, one of which is subject to the penalty while the other is not.