Traveling Waves-Based Method for Fault Estimation in HVDC Transmission System
Abstract
1. Introduction
2. Traveling Wave Theory
3. Arrival Time Measurement-Based Method
Limitations
4. Natural Frequency Measurement Based Method
Limitations
5. Voltage Source Converter-Based HVDC (VSC–HVDC) System
6. Simulation Results
6.1. Cases of Faults
- Pole (Positive) to ground DC fault (P–G Fault)
- Pole (Negative) to ground DC fault (N–G Fault)
- Pole (Positive) to pole (Negative) DC fault (P–N Fault)
- Pole (Positive) to pole (Negative) and ground DC fault (P–N–G Fault)
- Phase to ground AC fault (Ph–G Fault)
- Phase to phase AC fault (Ph–Ph Fault)
- Phase to phase and ground AC fault (Ph–Ph–G Fault)
- Three phase AC fault (3Ph Fault)
- Three phase to ground AC fault (3Ph–G Fault)
6.1.1. Normal Conditions
6.1.2. Positive Pole to Ground Fault (P–G Fault)
6.1.3. Negative Pole to Ground Fault (N–G Fault)
6.1.4. Positive Pole to Negative Pole Fault (P–N Fault)
6.1.5. Positive Pole to Negative Pole and Ground Fault (P–N–G Fault)
6.1.6. Phase to Ground Fault (Ph–G Fault)
6.1.7. Phase to Phase Fault (Ph–Ph Fault) and Phase to Phase and Ground (Ph–Ph–G Fault)
6.1.8. Three Phase Fault (3Ph Fault) and Three Phase to Ground Fault (3Ph–G Fault)
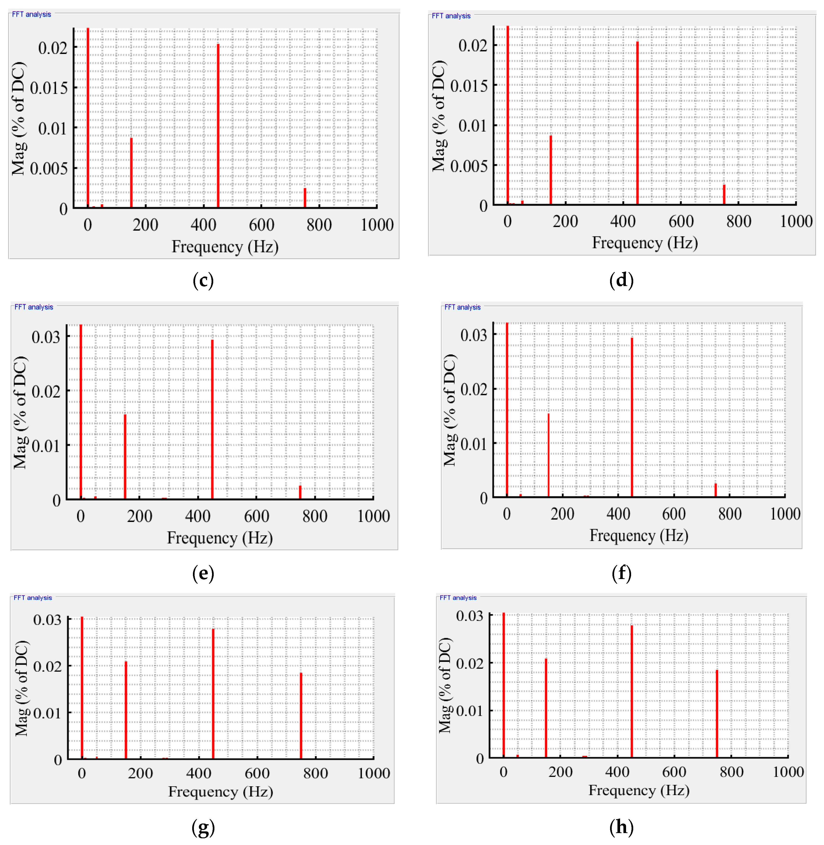
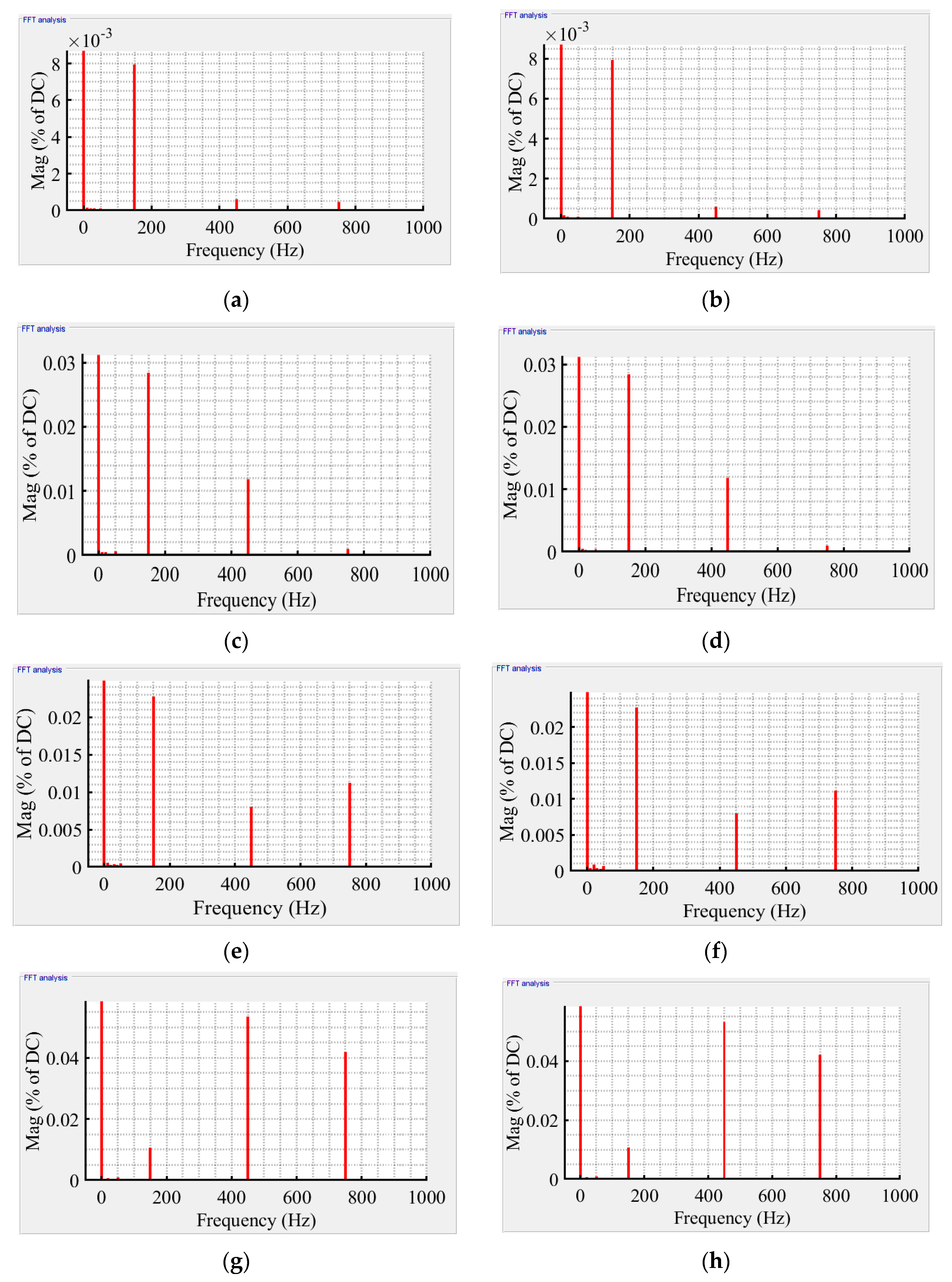
6.2. Frequency Spectrum Analysis
6.2.1. Frequency Spectrum Analysis of Normal Conditions
6.2.2. Frequency Spectrum Analysis of Pole to Ground Faults (P–G and N–G Faults)
6.2.3. Frequency Spectrum Analysis of Pole to Pole Fault (P–N Fault)
6.2.4. Frequency Spectrum Analysis of Pole to Pole and Ground Fault (P–N–G Fault)
6.2.5. Frequency Spectrum Analysis of Three Phase Faults (3Ph and 3Ph–G Faults)
6.3. Discrimination of AC Faults
6.4. Significance of Second Harmonics
6.5. Benefits of Frequency Spectrum Analysis
- In the case of faults at converter stations (AC or DC faults), there is a possibility that current flowing in the DC line under DC or AC fault condition has a similar characteristics curve. Therefore, there is a need to explore more about magnitude of DC component and its dominant AC components. Fast Fourier transform is conducted and frequency spectrum is analyzed as shown in Figure 20, Figure 21, Figure 22, Figure 23 and Figure 24 under different states (normal, pole to ground fault, phase to ground fault and three phase fault) and at different locations of the HVDC system. Frequency based analysis is valuable for differentiating between faulty states of HVDC system. In this research, it is found that DC component under DC fault has a much higher value than under AC faults. Transient nature is more observable in three phase AC faults as compared to DC faults. Therefore, this result plays a significant role in determining the faults at AC or DC side of converter station. Further, not only relaying strategy can be determined from this result but also the nature of primary and backup protection can be predicted.
- Locations of faults are identified by comparing the magnitude of DC component of DC fault current. In the frequency spectrum, it is noted that DC value decreases with the increase in distance from converter station but THD value increases with the increase in distance from converter station. Hence, it is concluded that the spectrum of frequency components is utilized for classification of fault with respect to location of fault, particularly in a case when the fault is not readily distinguished from values of DC fault current. The relationship of location of fault with respect to DC value of fault current and THD values is presented in Figure 26.
- This analysis is found beneficial for determining the states of the HVDC system. In a test system, it is observed that phase to ground fault has same characteristics curve of DC fault current as that of normal state of the system. In such cases, it is not easy to determine the state of the system. However, with the help of Fast Fourier transform, fundamental component and harmonics reveal the information about the state of system. Phase to ground fault hasa characteristics curve which is rich in harmonics as compared to DC current flowing under normal state of the system. Moreover, it helps to determine the forward (DC faults) and backward faults (AC faults) of converter stations.
6.6. Performance Comparison of Fault Location Estimation Techniques
7. Conclusions
Funding
Conflicts of Interest
References
- Fairley, P. DC versus AC: The second war of currents has already begun. IEEE Power Energy Mag. 2012, 10, 102–104. [Google Scholar] [CrossRef]
- Reed, G. DC technologies—Solutions to electric power system advancements. IEEE Power Energy Mag. 2012, 10, 10–17. [Google Scholar] [CrossRef]
- Adapa, R. High-wire act: HVDC technology: The state of the art. IEEE Power Energy Mag. 2012, 10, 18–29. [Google Scholar] [CrossRef]
- Padiyar, K.R. HVDC Power Transmission Systems: Technology and System Interactions; Wiley: Hoboken, NJ, USA, 1990. [Google Scholar]
- Nanayakkara, O.M.K.K.; Rajapakse, A.D.; Wachal, R. Location of DC line faults in conventional HVDC systems with segments of cables and overhead lines using terminal measurements. IEEE Trans. Power Del. 2012, 27, 279–288. [Google Scholar] [CrossRef]
- Nanayakkara, O.M.K.K.; Rajapakse, A.D.; Wachal, R. Traveling wave based line fault location in star-connected multi-terminal HVDC systems. IEEE Trans. Power Del. 2012, 27, 2286–2294. [Google Scholar] [CrossRef]
- Dewe, M.B.; Sankar, S.; Arrillaga, J. The application of satellite time references to HVDC fault location. IEEE Trans. Power Del. 1993, 8, 1295–1302. [Google Scholar] [CrossRef]
- Ping, C.; Bingyin, X.; Jing, L.; Yaozhong, G. Modern traveling wave based fault location techniques for HVDC transmission lines. Trans. Tianjin Univ. 2008, 14, 139–143. [Google Scholar]
- Swetha, A.; Murthy, P.K.; Sujatha, N.; Kiran, Y. A novel technique for the location of fault on a HVDC transmission line. J. Eng. Appl. Sci. 2011, 6, 62–67. [Google Scholar]
- Ando, M.; Schweitzer, E.O.; Baker, R.A. Development and field-data evaluation of single-end fault locator for two-terminal HVDC transmission lines-part 2: Algorithm and evaluation. IEEE Trans. Power App. Syst. 1985, PAS-104, 3531–3537. [Google Scholar] [CrossRef]
- Sachdev, M.S.; Wood, H.C.; Johnson, N.G. Kalman filtering applied to power system measurements for relaying. IEEE Trans. Power App. Syst. 1985, 104, 3565–3573. [Google Scholar] [CrossRef]
- Das, S.; Santoso, S.; Gaikwad, A.; Patel, M. Impedance-based fault location in transmission networks: Theory and application. IEEE Access 2014, 2, 537–557. [Google Scholar] [CrossRef]
- Dzienis, C.; Yelgin, Y.; Washer, M.; Maun, J.-C. Accurate impedance based fault location algorithm using communication between protective relays. In Proceedings of the 2015 Modern Electric Power Systems (MEPS), Wroclaw, Poland, 6–9 July 2015. [Google Scholar]
- Bustamante-Mparsakis, X.; Maun, J.C.; Dzienis, C.; Jurisch, A. Travelling wave fault location based on pattern recognition. In Proceedings of the 2017 IEEE Manchester PowerTech, Manchester, UK, 18–22 June 2017. [Google Scholar]
- Lopes, F.; Dantas, K.; Silva, K.; Costa, F.B. Accurate Two-Terminal Transmission Line Fault Location Using Traveling Waves. IEEE Trans. Power Del. 2017, 33, 873–880. [Google Scholar] [CrossRef]
- Sachdev, M.S.; Aggarwal, R. A technique for estimating transmission line fault locations from digital impedance relay measurements. IEEE Trans. Power Del. 1988, 3, 121–129. [Google Scholar] [CrossRef]
- Eriksson, L.; Saha, M.M.; Rockefeller, G.D. An accurate fault locator with compensation for apparent reactance in the fault resistance resulting from remote-end infeed. IEEE Trans. Power Appar. Syst. 1985, 104, 423–436. [Google Scholar] [CrossRef]
- Johns, A.T.; Jamali, S. Accurate fault location technique for power transmission lines. IEE Proc. Part C 1990, 137, 395–402. [Google Scholar] [CrossRef]
- Yuan, L.; Ning, K. Fault-location algorithms without utilizing line parameters based on the distributed parameter line model. IEEE Trans. Power Del. 2009, 24, 579–584. [Google Scholar] [CrossRef]
- Xu, H.; Song, G. A novel traveling wave head identification method in VSC-HVDC based on parameter identification. In Proceedings of the 2015 5th International Conference on Electric Utility Deregulation and Restructuring and Power Technologies (DRPT), Changsha, China, 26–29 November 2015. [Google Scholar]
- Song, G.; Cai, X.; Gao, S.; Suonan, J.; Li, G. Natural frequency based protection and fault location for VSC-HVDC transmission lines. In Proceedings of the 2011 International Conference on Advanced Power System Automation and Protection, Beijing, China, 16–20 October 2011. [Google Scholar]
- He, Z.Y.; Liao, K.; Li, X.P.; Lin, S.; Yang, J.W.; Mai, R.K. Natural Frequency-Based Line Fault Location in HVDC Lines. IEEE Trans. Power Del. 2014, 29, 851–859. [Google Scholar] [CrossRef]
- Chanda, N.K.; Fu, Y. ANN-based fault classification and location in MVDC shipboard power systems. In Proceedings of the 2011 North American Power Symposium, Boston, MA, USA, 4–6 August 2011. [Google Scholar]
- Rajesh, K.; Yadaiah, N. Fault Identification Using Wavelet Transform. In Proceedings of the 2005 IEEE/PES Transmission and Distribution Conference and Exhibition: Asia and Pacific, Dalian, China, 18 August 2005; pp. 1–6. [Google Scholar]
- Li, Y.; Gong, Y.F.; Jiang, B. A novel traveling-wave-based directional protection scheme for MTDC grid with inductive DC terminal. Electr. Power Syst. Res. 2018, 157, 83–92. [Google Scholar] [CrossRef]
- Liu, K.; Yang, X.; Li, Y.; Wang, J. Study of protection for serial multi-terminal DC grids. J. Int. Counc. Electr. Eng. 2018, 8, 71–77. [Google Scholar] [CrossRef][Green Version]
- Crossley, P.A.; McLaren, P. Distance protection based on traveling waves. IEEE Trans. Power App. Syst. 1983, 102, 2971–2983. [Google Scholar] [CrossRef]
- Shehab-Eldin, E.; McLaren, P. Traveling wave distance protection-problem areas and solutions. IEEE Trans. Power Del. 1986, 1, 894–902. [Google Scholar]
- McLaren, P.; Rajendra, S.; Shehab-Eldin, E.; Crossley, P. Ultra high speed distance protection based on traveling waves. In Proceedings of the IEE Conference Publication No. 249 ‘Developments in Power System Protection’, London, UK, April 1985; pp. 106–110. [Google Scholar]
- Christopoulos, C.; Thomas, D.; Wright, A. Scheme based on traveling waves, for the protection of major transmission lines. IEE Proc. Part C 1988, 135, 63–73. [Google Scholar]
- Christopoulos, C.; Thomas, D.; Wright, C. Signal processing and discriminating techniques incorporated in a protective scheme based on traveling waves. IEE Proc. Part C 1989, 136, 279–288. [Google Scholar]
- Dutta, P.; Duttagupta, P. Microprocessor-based UHS distance relaying and fault locating algorithms for EHV transmission lines. In Proceedings of the International Conference on Power System Protection, Singapore, September 1989; pp. 315–337. [Google Scholar]
- Dommel, H.W.; Michels, J.M. High speed relaying using traveling wave transient analysis. In Proceedings of the IEEE PES Winter Meeting, Paper A, New York, NY, USA, 29 January–3 February 1978. [Google Scholar]
- Ancell, G.B.; Pahalawaththa, C. Maximum likelihood estimation of fault location on transmission lines using traveling waves. IEEE Trans.Power Del. 1994, 9, 680–689. [Google Scholar]
- Bewley, L.V. Traveling Waves on Transmission Systems, 2nd ed.; Dover Publications Inc.: New York, NY, USA, 1963. [Google Scholar]
- Tang, Y.; Chen, H.; Wang, H.; Dai, F. Transmission line models used in traveling wave studies. In Proceedings of the Transmission Distribution Conference, New Orleans, LA, USA, 11–16 April 1999; Volume 2, pp. 797–803. [Google Scholar]
- Chen, P.; Xu, B.; Li, J. A traveling wave based fault locating system for HVDC transmission lines. In Proceedings of the International Conference on Power System Technology, Chongqing, China, 22–26 October 2006; pp. 1–4. [Google Scholar]
- Radford, T.W. HVDC line fault locator upgrade. In Proceedings of the HVDC System Operating Conference, Winnipeg, MB, Canada, 15–17 September 1987; pp. 189–200. [Google Scholar]
- Shang, L.; Herold, G.; Jaeger, J.; Krebs, R.; Kumar, A. High-speed fault identification and protection for HVDC line using wavelet technique. In Proceedings of the IEEE Porto Power Tech Proceedings, Porto, Portugal, 10–13 September 2001; pp. 1–5. [Google Scholar]
- Evrenosoglu, C.Y.; Abur, A. Traveling wave based fault location for teed circuits. IEEE Trans. Power Del. 2005, 20, 1115–1121. [Google Scholar] [CrossRef]
- Magnago, F.H.; Abur, A. Fault location using wavelets. IEEE Trans. Power Del. 1998, 13, 1475–1480. [Google Scholar] [CrossRef]
- Nanayakkara, K.; Rajapakse, A.D.; Wachal, R. Fault location in extra HVDC transmission line using continuous wavelet transform. In Proceedings of the IPST Conference, Delft, The Netherlands, 14–17 June 2011. [Google Scholar]
- Gale, P.F.; Taylor, P.V.; Naidoo, P.; Hitchin, C.; Clowes, D. Traveling wave fault locator experience on Eskom’s transmission network. In Proceedings of the Seventh International Conference on Developments in Power System Protection, Amsterdam, The Netherlands, 9–12 April 2001; Volume 14, pp. 327–330. [Google Scholar]
- Kumar, K.P. Fault diagnosis for an HVDC system: A feasibility study of an expert system application. Electric Power Syst. Res. 1988, 14, 83–89. [Google Scholar]
- Shultz, R.D.; Gonzales, R.F. Operating characteristics of an HVDC multi terminal transmission line under single pole faulted conditions and high resistance earth return. Electric Power Syst. Res. 1986, 10, 103–111. [Google Scholar] [CrossRef]
- Swift, G.W. The Spectra of Fault-Induced Transients. IEEE Trans. Power App. Syst. 1979, PAS-98, 940–947. [Google Scholar] [CrossRef]
- Styvaktakis, E.; Bollen, M.H.J.; Gu, H.Y. A fault location technique using high frequency fault clearing transients. IEEE Power Engg. Rev. 1999, 19, 58–60. [Google Scholar] [CrossRef]
- Li, Y.L.; Zhang, Y.; Ma, Z.Y. Fault location method based on the periodicity of the transient voltage traveling wave. In Proceedings of the IEEE Region 10 Conference, Chiang Mai, Thailand, 24 November 2004; Volume 3, pp. 389–392. [Google Scholar]
- Zou, Y.; Wang, X.; Zhang, H.; Liu, C.; Zhou, Q.; Zhu, W. Traveling-wave based fault location with high grounding resistance for HVDC transmission lines. In Proceedings of the 2016 IEEE PES Asia-Pacific Power and Energy Engineering Conference (APPEEC), Xi’an, China, 25–28 October 2016; pp. 1651–1655. [Google Scholar]
- Leite, E.J.S.; Lopes, F.V. Traveling wave-based fault location formulation for hybrid lines with two sections. In Proceedings of the2017 Workshop on Communication Networks and Power Systems (WCNPS), Brasília, Brazil, 16–17 November 2017; pp. 1–4. [Google Scholar]
- Giovanni, M. Transmission Lines and Lumped Circuits; Academic Press: San Diego, CA, USA, 2001; pp. 64–84. [Google Scholar]
- Zhang, S.; Zou, G.; Huang, Q.; Gao, H. A traveling-wave-based fault location scheme for MMC-based multi-terminal DC grids. Energies 2018, 11, 401. [Google Scholar] [CrossRef]
- Xu, Y.; Liu, J.; Jin, W.; Fu, Y.; Yang, H. Fault Location Method for DC Distribution Systems Based on Parameter Identification. Energies 2018, 11, 1983. [Google Scholar] [CrossRef]
- Liu, K.; Huai, Q.; Qin, L.; Zhu, S.; Liao, X.; Li, Y.; Ding, H. Enhanced Fault Current-Limiting Circuit Design for a DC Fault in a Modular Multilevel Converter-Based High-Voltage Direct Current System. Appl. Sci. 2019, 9, 1661. [Google Scholar] [CrossRef]
- Lan, T.; Li, Y.; Duan, X.; Zhu, J. Simplified Analytic Approach of Pole-to-Pole Faults in MMC-HVDC for AC System Backup Protection Setting Calculation. Energies 2018, 11, 264. [Google Scholar] [CrossRef]
- Muzzammel, R. Machine Learning Based Fault Diagnosis in HVDC Transmission Lines. In Intelligent Technologies and Applications; Springer: Singapore, 2019; Volume 932. [Google Scholar]
- Hao, W.; Mirsaeidi, S.; Kang, X.; Dong, X.; Tzelepis, D. A novel traveling-wave-based protection scheme for LCC-HVDC systems using teager energy operator. Int. J. Electr. Power Energy Syst. 2018, 99, 474–480. [Google Scholar] [CrossRef]
- Jin, H.; Lu, B.; Tan, F.; Chen, P.; Si, W.; Yang, L. Application of distributed traveling wave ranging technology in fault diagnosis of HVDC transmission line. IOP Conf. Ser.: Earth Environ. Sci. 2018, 186, 012039. [Google Scholar] [CrossRef]
- Ikhide, M.; Tennakoon, S.; Griffiths, A.; Subramanian, S.; Ha, H.A. Transient based protection technique for future DC grids utilising travelling wave power. J. Eng. 2018, 2018, 1267–1273. [Google Scholar] [CrossRef]
- Jiang, L.; Chen, Q.; Huang, W.; Wang, L.; Zeng, Y.; Zhao, P. Pilot protection based on amplitude of directional travelling wave for voltage source converter-high voltage direct current (VSC-HVDC) transmission lines. Energies 2018, 11, 2021. [Google Scholar] [CrossRef]
- Padiyar, K.R.; Prabhu, N. Modelling, control design and analysis of VSC based HVDC transmission system. In Proceedings of the International Conference on Power System Technology, Singapore, 21–24 November 2004; Volume 1, pp. 774–779. [Google Scholar]
- Stan, A.I. Control of VSC-Based HVDC Transmission System for Offshore Wind Power Plants. Master’s Thesis, Aalborg University, Aalborg, Denmark, 2010. [Google Scholar]
- Bajracharya, C. Control of VSC-HVDC for wind power. Master’s Thesis, Norwegian University of Science and Technology, Trondheim, Norway, 2008. [Google Scholar]






























| Parameters | Grid Station I | Grid Station II |
|---|---|---|
| Voltage (kV) | 230 | 230.100 |
| Frequency (Hz) | 50 | 50 |
| Power (MVA) | 2000 | 2000 |
| Voltage Source Converter (MVA) | 200 | 200 |
| Phase Reactor (p.u.) | 0.15 | 0.15 |
| Rectifier/Inverter | Rectifier | Inverter |
| Three Phase Fault | No | Yes |
| DC Fault | No | Yes |
| Type of Fault | Pole | Distance of Fault Location (km) | DC Component Value (p.u.) | AC Component Value (p.u.) | THD (%) |
|---|---|---|---|---|---|
| No Fault | Negative Pole | - | 0.5411 | 4.732 × 10−5 | 0.25 |
| No Fault | Positive Pole | - | 0.5419 | 6.746 × 10−5 | 0.41 |
| Positive Pole to Ground Fault | Negative Pole | 0.1 | 0.5606 | 0.005026 | 24.59 |
| Positive Pole | 0.1 | 4.765 | 0.007139 | 14.42 | |
| Negative Pole | 50 | 0.6148 | 0.004998 | 40.36 | |
| Positive Pole | 50 | 2.887 | 0.008196 | 8.82 | |
| Negative Pole | 100 | 0.5609 | 0.003834 | 45.34 | |
| Positive Pole | 100 | 2.321 | 0.006595 | 11.17 | |
| Negative Pole | 200 | 0.5779 | 0.008461 | 49.26 | |
| Positive Pole | 200 | 1.169 | 0.01321 | 18.95 | |
| Negative Pole to Ground Fault | Negative Pole | 0.1 | 4.084 | 0.04372 | 12.63 |
| Positive Pole | 0.1 | 0.5845 | 0.01105 | 26.04 | |
| Negative Pole | 50 | 2.956 | 0.01519 | 10.11 | |
| Positive Pole | 50 | 0.6241 | 0.007598 | 42.95 | |
| Negative Pole | 100 | 2.357 | 0.02323 | 10.91 | |
| Positive Pole | 100 | 0.5594 | 0.006355 | 44.36 | |
| Negative Pole | 200 | 1.201 | 0.01062 | 19.08 | |
| Positive Pole | 200 | 0.5818 | 0.00755 | 49.87 | |
| Positive Pole to Negative Pole Fault | Negative Pole | 0.1 | 0.3491 | 9.805 × 10−8 | 0 |
| Positive Pole | 0.1 | 0.3491 | 1.026 × 10−7 | 0 | |
| Negative Pole | 50 | 0.06027 | 1.819 × 10−7 | 0.03 | |
| Positive Pole | 50 | 0.06027 | 1.678 × 10−7 | 0.03 | |
| Negative Pole | 100 | 0.0426 | 1.473 × 10−7 | 0.05 | |
| Positive Pole | 100 | 0.0426 | 1.477 × 10−7 | 0.05 | |
| Negative Pole | 200 | 0.03009 | 1.234 × 10−7 | 0.08 | |
| Positive Pole | 200 | 0.03009 | 1.224 × 10−7 | 0.08 | |
| Positive Pole to Negative Pole and Ground Fault | Negative Pole | 0.1 | 0.3493 | 1.154 × 10−7 | 0.01 |
| Positive Pole | 0.1 | 0.3493 | 9.985 × 10−8 | 0.01 | |
| Negative Pole | 50 | 0.0602 | 1.768 × 10−7 | 0.06 | |
| Positive Pole | 50 | 0.0602 | 1.712 × 10−7 | 0.06 | |
| Negative Pole | 100 | 0.0427 | 1.564 × 10−7 | 0.07 | |
| Positive Pole | 100 | 0.04247 | 1.128 × 10−7 | 0.07 | |
| Negative Pole | 200 | 0.02983 | 1.073 × 10−7 | 0.10 | |
| Positive Pole | 200 | 0.02983 | 1.284 × 10−7 | 0.10 | |
| Phase to Ground Fault | Negative Pole | 200 | 0.3594 | 0.08539 | 9.64 |
| Positive Pole | 200 | 0.3588 | 0.008504 | 9.43 | |
| Phase to Phase Fault | Negative Pole | 200 | 0.2014 | 0.01973 | 28.09 |
| Positive Pole | 200 | 0.2007 | 0.01982 | 27.66 | |
| Two Phase to Ground Fault | Negative Pole | 200 | 0.1622 | 0.009965 | 20.19 |
| Positive Pole | 200 | 0.1625 | 0.009905 | 19.69 | |
| Three Phase Fault | Negative Pole | 200 | 0.01694 | 0.001494 | 9.90 |
| Positive Pole | 200 | 0.01642 | 7.805 × 10−5 | 10.68 | |
| Three Phase to Ground Fault | Negative Pole | 200 | 0.0164 | 4.012 × 10−5 | 9.01 |
| Positive Pole | 200 | 0.01691 | 7.231 × 10−5 | 7.77 |
| Serial Number | Parameters | Proposed Method | Arrival Time Based Method | Natural Frequency Based Method |
|---|---|---|---|---|
| 1 | Time of Arrival of Traveling Wave Head | Not Required | Required. Dependent on parameters of line | Required |
| 2 | Natural Frequency | Not Required | Not Required | Required. Domain Transformations are Involved |
| 3 | Decoupling of Transmission Lines | Not Required. DC transmission lines are analyzed simultaneously. | Required | Required. Phase Modal Transformation Techniques are Involved. |
| 4 | DC Faults | All type of DC faults (P–G, N–G, P–N, and P–N–G) are discriminated and located successively. | Pole to Ground Faults are located successively. Bandpass Filters are required for discrimination. | All types of DC faults are located successively. Interpolation is required for discrimination. |
| 5 | AC Faults in HVDC Systems | All AC faults are identified and classified successively. Discrimination is achieved between AC and DC faults. | Not Applicable | Not Applicable |
| 6 | Faults Near Converter Stations | Readily Distinguished and Identified. | Failed to Distinguish and Identify | Identification is compromised because of small magnitudes of components of natural frequency |
| 7 | Complexity | Easy to Implement | Complex | Highly Complex |
| 8 | Computational Time | Less Computational Time | Computational time depends upon detection of first traveling wave | Computational Time is high because of complex mathematical formulations for discrimination |
© 2019 by the author. Licensee MDPI, Basel, Switzerland. This article is an open access article distributed under the terms and conditions of the Creative Commons Attribution (CC BY) license (http://creativecommons.org/licenses/by/4.0/).
Share and Cite
Muzzammel, R. Traveling Waves-Based Method for Fault Estimation in HVDC Transmission System. Energies 2019, 12, 3614. https://doi.org/10.3390/en12193614
Muzzammel R. Traveling Waves-Based Method for Fault Estimation in HVDC Transmission System. Energies. 2019; 12(19):3614. https://doi.org/10.3390/en12193614
Chicago/Turabian StyleMuzzammel, Raheel. 2019. "Traveling Waves-Based Method for Fault Estimation in HVDC Transmission System" Energies 12, no. 19: 3614. https://doi.org/10.3390/en12193614
APA StyleMuzzammel, R. (2019). Traveling Waves-Based Method for Fault Estimation in HVDC Transmission System. Energies, 12(19), 3614. https://doi.org/10.3390/en12193614

