Next Article in Journal
Evaluating the Investment Efficiency of China’s Provincial Power Grid Enterprises under New Electricity Market Reform: Empirical Evidence Based on Three-Stage DEA Model
Previous Article in Journal
Quantifying the Measurement Error on England and Wales EPC Ratings
 
 
Font Type:
Arial Georgia Verdana
Font Size:
Aa Aa Aa
Line Spacing:
Column Width:
Background:
Article

Parameter Matching and Optimization of a Hybrid Type DC SFCL Considering the Transient Characteristics of VSC-Based DC Systems

State Key Laboratory of Advanced Electromagnetic Engineering and Technology, School of Electrical and Electronic Engineering, Huazhong University of Science and Technology, Wuhan 430074, China
*
Author to whom correspondence should be addressed.
Energies 2019, 12(18), 3522; https://doi.org/10.3390/en12183522
Submission received: 13 July 2019 / Revised: 4 September 2019 / Accepted: 8 September 2019 / Published: 13 September 2019

Abstract

Voltage source converter-based (VSC-based) DC systems play an important role in connecting large-scale renewable energy and distributed energy, but they are vulnerable to DC short-circuit fault and lacks mature protection devices and appropriate protection strategies. Therefore, a hybrid type DC superconducting fault current limiter (H-SFCL) is proposed and the current limiting mechanism of the SFCL is analyzed. According to the requirements and strategies for protection, several different effective parameter matching and optimization methods of the H-SFCL are proposed by combining optimization algorithms and two short-circuit transient calculation models of VSC-based DC systems. The optimization methods proposed in this paper are compared and analyzed in terms of convergence, running time, calculation range and stability of optimization results, revealing their respective calculation characteristics. Finally, the effectiveness of parameter matching and optimization methods are well validated by comparison and analysis of simulation. The proposed methods can select a good parameter matching scheme of the H-SFCL to deal with different requirements.

1. Introduction

Voltage source converter (VSC)-based DC transmission technology can realize active and reactive power controlling [1] and bus voltage supporting [2], which can restrain the fluctuation and randomness of renewable energy in a large range and has potential advantages in renewable energy paralleling in the power grid [3,4]. Meanwhile with a common DC voltage and easy parallel connections, VSC-based DC transmission technology is the most appropriate for multi-terminal DC systems (MTDC) [5]. As a promising research hotspot, several VSC-based demonstration projects have been built including the conventional two or three level converter and modular multi-level converter [6,7,8,9,10]. Nevertheless, the safe, reliable and continuous operation of VSC-based DC system is the premise of exerting its own advantages. Due to the low damping of the DC system, DC short-circuit fault with high current rising rate and fast fault propagation speed is a great threat to the VSC-based DC system [11], which requires the sensitivity of fault identification and the rapidity of protective action. According to [12,13], DC short-circuit current must be interrupted within 5 ms to ensure the safety of VSC components.
At present, there are three main methods to deal with DC short-circuit fault, including blocking trigger pulse of converter, opening all AC circuit breakers (ACCBs) on AC sides of the VSC system then opening DC circuit breakers (DCCBs) [13]. DC short-circuit current is difficult to be cleared because of freewheel diodes [14]. Whereas, the first two methods must be adopted together in a VSC-based DC system in case of AC grids current feeding [15]. However, the first two methods have to force converter stations to shut down, which will have a negative impact on the continuous operation of a VSC-based DC system. DCCB can rapidly clear and isolate fault lines and maintain continuous operation of converter stations and other transmission lines, thereby preventing power transmission disruptions [16]. Therefore, DCCB is a better choice for the DC protection of VSC-based DC systems. With the capacity of power systems increasing, the economic cost and technical difficulty of DCCB become the main obstacles to the development of a VSC-based DC system [17].
The emergence of superconducting fault current limiter (SFCL) provides a good solution for solving DC short-circuit fault in a VSC-based DC system, which can improve the fault ride through capability and robustness of VSC-based DC systems [18,19] and assist DCCBs to interrupt [20,21,22]. According to current limiting components, DC SFCLs can be divided into a resistive type, an inductive type and a hybrid type [23]. Resistive type DC SFCL (R-SFCL) has been widely studied, including application in DC systems [24,25], economic and technical analysis [26] and engineering prototypes [27,28,29]. Some scholars have also carried out some studies on the performance of inductive type DC SFCL in VSC-based DC systems [30,31]. Based on the considerations of current limiting, recovery characteristics and energy dissipation, a comparative study of several types of DC SFCLs in VSC-based DC systems has been made in [32].
In addition, parameters’ influence and matching of different current limiters (FCLs) in different DC systems have been studied extensively, which have provided a good theoretical basis for the applications of different FCLs in high voltage direct current (HVDC) systems, as shown in Table 1. The methods adopted in these studies are mainly enumeration, comparison, analytical formula and graphical method, which are very suitable for studying the variation rule of parameters’ influence in FCLs.
However, it is obvious that there is still a lack of detailed studies on the combination of parameter matching and optimization methods of FCLs with multiple elements in DC systems, which are very important for the reasonable selection and design of FCLs’ parameters to solve mutual influence and restriction among multiple parameters. Therefore, it is very necessary to carry out relevant research works before FCLs are installed in HVDC systems. At present, the optimization problems of FCLs mainly focus on AC systems, such as optimal power flow [36], optimal allocation [37,38,39,40,41], economic analysis [42] and protection coordination [43]. FCLs adopted in studies are mainly resistance type fault current limiters with simple structure. Therefore, these studies focus on issues at the level of AC system while ignoring FCL itself. In addition, short-circuit fault current in AC system is obtained by power flow calculation, which usually is a steady state calculation. However, transient calculation is more important in the short-circuit calculation of a DC system, which needs to be able to accurately calculate the transient characteristics of DC system within a short time range. When FCL has a complex structure, its ontology performance should also be considered. Therefore, the optimization of FCLs in DC systems face new problems remaining to be solved.
In this paper, our study on a hybrid type SFCL (H-SFCL) is further developed based on previous studies of a small-scale prototype test and system simulation [44,45]. First, according to system simulation, the basic requirements and principles of the H-SFCL’s parameter matching are put forward. Second, for radiation multi-terminal VSC-based DC systems, two short-circuit calculation models of VSC-based DC system with H-SFCLs are proposed which can accurately simulate the transient process of DC short-circuit fault. Third, based on the precision of simplified system models and the excellent ability of genetic algorithm (GA) and particle swarm optimization (PSO) in optimization, several parameter matching and optimization methods of the H-SFCL in system are effectively realized and compared. They consider the safety and stability of the superconducting part of the H-SFCL and present a good parameters selection and optimization effect, simultaneously satisfying the requirements of fault current limiting and the design parameters of the H-SFCL in a VSC-based DC system.

2. Hybrid Type DC Superconducting Current Limiter and DC Circuit Breaker

2.1. H-SFCL

Figure 1a signifies the basic topological structure of the H-SFCL [45], which is composed of two high power resistors R1 and R2, a superconducting coil LSC, a metal oxide arrester RMOA, and a high-speed controlled switch S1. R1 and R2 are current limiting resistors. LSC is smoothing inductance which is wound by high temperature superconducting (HTS) tape. RMOA is applied to the transient overvoltage suppression of LSC.
In this H-SFCL, high-speed controlled switch S1 is a significant component for operational state transition, which must meet the rapidity and effectiveness of the H-SFCL. Due to the fast response characteristics of solid-state devices, a full solid-state DC fast switch can interrupt DC current within 100 μs and has a great advantage in fast interrupting [46]. Therefore, it can be adopted as S1, whose basic structure is shown in Figure 1b. It can satisfy the breaking requirements of S1 by series-parallel combination of basic unit. The breaking characteristics of S1 are shown in Figure 1c, where t1 is short-circuit fault time, t2 is S1 switch breaking time and Δt is breaking delay time including fault protection time tdet, protection coordination time tcod and communication time tcom, which can be described as Equation (1) [47].
Δ t = t d e t + t c o d + t c o m

2.1.1. Basic Principles of H-SFCL

In normal state, the switch S1 is closed, as shown in Figure 2a. The DC current only flows through smoothing inductance LSC, which operates at superconducting state without energy loss and has no effect on main circuit when DC system is in steady state. Low energy loss is very suitable for the long-term operation of equipment in series.
When short-circuit fault occurs, the H-SFCL can rapidly limit fault current without superconducting coil quenching, which has two current limiting stages [45]: current limiting stage I and current limiting stage II.
Current limiting stage I is shown in Figure 2b. When short-circuit fault occurs, the sudden change of current (di2/dt) causes instantaneous impedance of the superconducting coil, forcing fault current to transfer to branch R1. R1 is current limiting resistance and LSC is current limiting inductance, which produce a transient current limiting impedance together to suppress initial impulse current. Meanwhile a shunt branch provided by R1 greatly reduces the current flowing through LSC, which weakens the impact of fault current on superconducting coil.
Current limiting stage II is shown in Figure 2c. After fault detection, S1 is rapidly opened, and R2 is put into the LSC branch. It is worth noting that the quench of superconducting inductance coil is a very dangerous condition. R2 can limit current i2 to avoid exceeding the critical current of LSC, which can protect LSC from quenching. Meanwhile the H-SFCL gradually presents a steady equivalent current limiting impedance by R1 in parallel with R2.
During operation, the equivalent impedance of the H-SFCL can be expressed by Equation (2), where t1 is the time of fault occurrence and t2 is the time of S1 switching off. There is breaking delay time Δt between t1 and t2, where t2t1 = Δt.
Z S F C L = {                               0 ( t < t 1 ) L S C i 2 d i 2 d t R 1 / ( L S C i 2 d i 2 d t + R 1 ) ( t 1 t < t 2 ) ( L S C i 2 d i 2 d t + R 2 ) R 1 / ( L S C i 2 d i 2 d t + R 2 + R 1 ) ( t 2 t )

2.1.2. Current Limiting Process Analysis in a VSC-Based DC System

Figure 3a is the diagram of DC short-circuit fault in a VSC-based DC system, which indicates that DC short-circuit fault can be divided into two types: ① pole-to-ground short-circuit fault; ② pole-to-pole short-circuit fault. Compared with pole-to-ground short-circuit fault, the equivalent voltage value of pole-to-pole short-circuit fault is UDC which is twice the value of pole-to-ground, leading to a more serious short-circuit fault on the DC side. Therefore, considering the operation of the H-SFCL under the most serious DC fault, the analysis of the H-SFCL in pole-to-pole short-circuit fault is carried out.
Figure 3b shows the short-circuit current path of pole-to-pole DC fault in a pseudo bipolar VSC-based DC system, where two H-SFCLs are installed at the outlet of VSC converter station to suppress short-circuit current from DC-link capacitors discharging and AC grids feeding. As shown in Figure 3b, due to the upper and lower symmetry of a VSC-based DC system, the general mathematical model of the H-SFCL can be established by analyzing unipolar line equivalent circuit.
The unipolar line equivalent circuit is shown in Figure 4, which is a third-order circuit. In this equivalent circuit, the AC system with rectifier is equivalent to a current source ieq except for DC-link capacitor C. The influence of metal oxide arrester RMOA and the energy releasing process of S1 are both ignored. The DC system is a nonlinear dynamic system network in the process of short-circuit fault.
Generally, in first and second order circuits, an analytical formula can be solved to clarify the mathematical relationship between circuit parameters [48]. However, when a circuit becomes third-order or even more complex, with the number of variables increasing, there are some difficulties in solving the analytical formula. The interaction between circuit parameters in dynamic networks can be clearly expressed by using a state variable matrix. In order to establish the mathematical equivalent model of the H-SFCL and express the transient effect of the H-SFCL accurately, the state variable analysis method is adopted, where t1 is short-circuit fault time, t2 is S1 breaking time, RL is the equivalent load on the DC side and uC, iDC and iL are set as state variables.
The state variable matrix is:
X = [ u C i D C i L ] T .
The first-order derivative of the state variable matrix on t is:
X · = [ d u C d t d i D C d t d i L d t ] T .
When t1t < t2, S1 is still in the closed state. The initial state of the state variables is:
{ u C ( t 1 ) = u C ( t 1 + ) = U 0 i D C ( t 1 ) = i D C ( t 1 + ) = i L ( t 1 ) = i L ( t 1 + ) = I 0 ,
where U0 = 0.5UDC, I0 = (0.5UDC)/(0.5RL).
The third-order state equation is established as follows:
X · = A 1 X + B F ( t ) .
When t2t, S1 is opened. The initial state of the state variables is:
u C ( t 2 ) = u C ( t 2 + ) ,   i D C ( t 2 ) = i D C ( t 2 + ) ,   i L ( t 2 ) = i L ( t 2 + ) .
The third-order state equation is established as follows:
X · = A 2 X + B F ( t ) ,
where
A 1 = [ 0 1 / C 0 1 / L ( R 1 + R ) / L R 1 / L 0 R 1 / L S C R 1 / L S C ] ,   A 2 = [ 0 1 / C 0 1 / L ( R 1 + R ) / L R 1 / L 0 R 1 / L S C ( R 1 + R 2 ) / L S C ] , B = [ 1 / C 0 0 0 0 0 0 0 0 ] ,   F ( t ) = [ i e q ( t ) 0 0 ] T .

2.2. DC Circuit Breaker

A DC circuit breaker is a critical protection device for a DC system, which bears the function of interrupting DC fault current and isolating a fault. At present, there are two typical demonstration projects of high voltage DCCBs in the world, hybrid DCCB (H-DCCB) and coupling mechanical DC circuit breaker (CM-DCCB), respectively shown in Figure 5a,b.
H-DCCB is designed by Asea Brown Boveri Ltd (ABB), which is composed of an ultra fast disconnector (UFD), a load commutation switch (LCS), a main breaker (MB) and a residual circuit breaker (RCB). During normal operation, current only flows through the UFD and LCS, the current in the MB is 0 A. With a short-circuit fault occurring, the LCS is blocked to transfer fault current to the MB branch. After the UFD is in an open state, the MB breaks fault current finally. According to [49], the 80 kV module of H-DCCB was tested, which had 2 kA rated current and could break 9 kA fault current. The delay time of the LCS opening was 250 μs. The delay time of the UFD opening was 2 ms.
A CM-DCCB was designed and installed in the Nan’ao three-terminal VSC-HVDC system of China Southern Power Grid in 2017, which can cut off 9 kA within 5 ms [50]. The CM-DCCB is divided into a high voltage side and a low voltage side which are isolated by a coupling reactor. The high voltage side is composed of a main mechanical breaker (MB), resonance branch of L2 and C2 (L2C2 branch) and metal oxide varistor branch (MOV branch). The low voltage side consists of charging capacitor C1, primary side of coupling reactor L1 and silicon controlled rectifier (SCR). The L2C2 branch generates an artificial zero crossing point in the MB branch to make the MB cut off. Mechanical contact separation requires about 3 ms [51].

2.3. Action Sequence of H-SFCL and DCCB

The appropriate coordination control between the H-SFCL and the DCCB can fully exert the current limiting function of the H-SFCL and significantly improve breaking capacity of the DCCB for protecting a VSC-based DC system from short-circuit fault.

2.3.1. Action Sequence of H-SFCL and H-DCCB

The corresponding action sequence of the H-SFCL and the H-DCCB is shown in Figure 6. When short-circuit fault occurs, the specific procedures are as follows.
t1t2: Before S1 opening, the H-SFCL is in current limiting stage I which produces a transient current limiting impedance for initial impulse current. The delay time of S1 should be within 2 ms consisting of 1 ms fault detection time [52], 0.5 ms communication delay [16] and hundreds of microseconds action delay [46].
t1t5: The H-SFCL is in current limiting stage II, which produces a steady current limiting impedance, limiting continuous fault current during the whole breaking process of the H-DCCB. Because the LCS and MB are both full solid-state switches, their delay time is very short, within several hundred microseconds. An UFD is mechanical switch with an ability to break circuit fast at zero current state within 2 ms. Residual energy in the system is absorbed by the MOV within a few milliseconds. However, delay time Δt2–3 should be controlled within a range to ensure that it meets the protection requirements of a VSC-based DC system in engineering application.

2.3.2. Action Sequence of H-SFCL and CM-DCCB

The corresponding action sequence of H-SFCL and CM-DCCB is shown in Figure 7. When short-circuit fault occurs, the specific procedures are as follows.
t1–t2: This process is the same as the action sequence of H-SFCL and CM-DCCB, which is the inherent delay of H-SFCL.
t2t5: H-SFCL is in current limiting stage II which produces a steady current limiting impedance, limiting continuous fault current during the whole breaking process of a CM-DCCB. The precharged capacitor C1 discharges through SCR and L1, transferring energy to L2 of the high voltage side at t2. L2C2 resonant circuit generates zero crossing point by the superposition of oscillating current and DC fault current on the MB. Meanwhile mechanical contact of the MB completes breaking at t4 within about 3.2 ms. After a few milliseconds, residual energy is absorbed by the MOV to complete interrupting fault current at t5.

3. Study on the Influence of H-SFCL Parameters

The H-SFCL has three main current limiting elements, R1, LSC and R2. Their parameters directly affect current limiting of a VSC-based DC system. In addition, the parameter matching among components in the H-SFCL also affects their performance. Therefore, it is necessary to study the influence of H-SFCL parameters on itself and the VSC-based DC system.

3.1. VSC-Based System Simulation Model

As shown in Figure 8, a three-terminal VSC-based DC system model was established. The main purpose was to verify parameter effects of the H-SFCL on a VSC-based DC system including a converter station, H-SFCLs and DCCBs. The VSC-based DC system model was a traditional two-level structure whose rated capacity, rated voltage and rated current were respectively 100/50/150 MVA, ±100 kV and 0.5/0.2/0.7 kA. The main system parameters are listed in Table 2.
The outlet of VSC1 station was an application scenario for short-circuit fault simulation, where two H-SFCLs were in series with DCCBs installed on positive and negative pole lines. Pole-to-pole short-circuit fault occurred between points a and b, which was the most serious DC short-circuit fault for VSC1 station. When bridge arm current Ip is greater than the operating current limit of insulated gate bipolar transistor (IGBT) and diode, converter stations are generally blocked.

3.2. Simulation

Multivariable simulation cannot make clear the specific effect of each parameter in the H-SFCL. Therefore, changing single variable was adopted to clarify the influence of three parameters on the VSC-based DC system and the intrinsic performance of the H-SFCL. The simulation results covered nine aspects, such as DC-side voltage UDC, DC line current IDC, the current of freewheel diode ID1, the current of the superconducting coil IL, the overvoltage UL of the superconducting coil, the magnetic energy E of the superconducting coil, current limiting impedance ZSFCL, the overvoltage US1 and the current IS1 of S1 in the H-SFCL. t1 is the time of fault occurrence. t2 is the time of S1 interruption in H-SFCL.

3.2.1. The Effect of R1

In this set of simulations, LSC and R2 remained unchanged, and were set to 60 mH and 20 Ω, respectively. R1 changed from 4 Ω to 16 Ω. The corresponding simulation results of nine characteristics are shown in Figure 9. On the premise of keeping R2 and LSC unchanged, increasing R1 could bring significant effects on the VSC-based DC system and the H-SFCL.
Figure 9a–c indicates that increasing R1 could obviously contribute to compensate DC voltage sag, while suppressing DC line current and the current of freewheel diode in the VSC-based DC system. The main reason was the equivalent current limiting impedance of the H-SFCL enhanced by increasing R1, as shown in Figure 9g. There is no doubt that increasing R1 can reduce the effects of DC short-circuit fault and improve the robustness of the VSC-based DC system. Therefore, R1 plays an important role in the H-SFCL to mainly bear the protection function at the system level.
On the contrary, increasing R1 generated obvious negative effects on superconducting coil and S1. Figure 9d–f shows that increasing R1 could easily cause a larger overcurrent, higher overvoltage and greater fluctuation of magnetic energy in the superconducting coil. Meanwhile, with R1 increased, the overvoltage and current of high-speed controlled switch S1 in the H-SFCL increase, which signified more severe operating conditions and higher economic cost of S1, as shown in Figure 9h,i.

3.2.2. The Effect of LSC

In this set of simulations, R1 and R2 remained unchanged, and were set to 16 Ω and 20 Ω, respectively. LSC changed from 80 mH to 140 mH. The corresponding simulation results of nine characteristics are shown in Figure 10.
According to Figure 10g, increasing LSC had a slight improvement of equivalent current limiting impedance in the H-SFCL. However, the limited change was not enough to significantly improve the performance of the VSC-based DC system under DC short-circuit fault, as shown in Figure 10a–c. Therefore, it indicated that LSC is not the decisive parameter of current limiting effect for the VSC-based DC system.
However, Figure 10d–f reflects that increasing LSC is a double-edged sword for the stable operation of the superconducting coil. On the one hand, during current limiting process, increasing LSC could significantly reduce overcurrent in the superconducting coil, as shown in Figure 10d. On the other hand, it could cause higher overvoltage and greater fluctuation of magnetic energy in the superconducting coil, as shown in Figure 10e,f.
Figure 10h,i indicates that increasing LSC provides a positive effect on high-speed controlled switch S1. With LSC increased, the overvoltage and current of S1 in the H-SFCL decrease, which contribute to reduce operating conditions and economic costs of S1.

3.2.3. The Effect of R2

In this set of simulations, R1 and LSC remained unchanged, and were set to 16 Ω and 140 mH, respectively. R2 changed from 30 Ω to 60 Ω. The corresponding simulation results of nine characteristics are shown in Figure 11.
Figure 11g clearly reflects that increasing R2 could enhance the steady current limiting impedance of H-SFCL after t2, while the transient current limiting impedance of H-SFCL had little improvement from t1 to t2. Hence, in Figure 11a–c, it is not difficult to find that increasing R2 only had a slight positive effect on DC-side voltage sag compensation and the current suppression of the DC line and anti-parallel freewheel diode in the VSC-based DC system. It suggests that R2 is also not the decisive parameter of current limiting.
According to Figure 11d–f, the selection of R2 is crucial to protecting the superconducting coil. Increasing R2 has a positive effect on DC-side voltage sag compensation and the current suppression of DC line and anti-parallel freewheel diode, which is helpful to improve the safety and stability of the superconducting coil. However, increasing R2 had some negative effects on high-speed controlled switch S1. Though the breaking current was not affected by increasing R2 in Figure 11i, S1 could withstand higher voltage stress in H-SFCL with R2 increased, as shown in Figure 11g.

3.3. Summary

Through the above analysis, the effects of main parameters R1, R2 and LSC on the operational parameters of the H-SFCL and the VSC-based DC system were obtained, which are summarized in Table 3. It is worth noting that there are some contradictions in the effects of different parameters on specific functions in the H-SFCL. How to match various variables to maximize the target performance and achieve the compatibility of different functions in the H-SFCL is a difficult problem to be solved urgently. Therefore a parameter matching and optimization method is necessary to be developed to deal with the multi-parameter problems of a fault current limiter in a VSC-based DC system.

4. Parameter Matching and Optimization Methods of H-SFCL in VSC-Based DC System

4.1. The Basic Requirements of Parameter Matching and Optimization in H-SFCL

When a H-SFCL is designed and applied in a VSC-based DC system, how to match and optimize the main parameters of H-SFCL should be considered comprehensively. There are three main aspects, namely the VSC-based DC system, the H-SFCL and the DCCB, shown in Figure 12.
First, at the system level, the H-SFCL should compensate DC-side voltage sag and limit DC line current. In addition, the H-SFCL should suppress the overcurrent of anti-parallel freewheel diode to weaken the impact of fault current on converter, ensuring overcurrent below the rated value of anti-parallel freewheel diode before DCCB breaking.
Second, at the H-SFCL level, on the premise of realizing target current limiting impedance, the parameters of main components in the H-SFCL should be selected reasonably by parameter matching and optimization to lower the operational conditions of the superconducting coil and S1, protecting them from the effect of fault current shock.
Third, at the DCCB level, the appropriate parameters of the H-SFCL should be selected to reduce the breaking current, voltage stress and energy absorption of the DCCB, which can improve the breaking capacity of the DCCB. In generally, if the parameters of the H-SFCL can meet the current limiting requirements of system, the H-SFCL also meet the technical requirements of the DCCB.
Therefore, the selection of a parameter matching and optimization method should meet the following conditions:
  • Multiple transient characteristic parameters of VSC-based DC system can be accurately calculated and acquired;
  • More than three characteristic variables can be screened and optimized at the same time;
  • Under multiple constraints, the optimal parameters can be searched and obtained according to the optimization objectives.

4.2. The Implementation Methods of Parameter Matching and Optimization in the Transient Simulation of VSC-Based DC System Model

4.2.1. Short-Circuit Calculation Models

Before optimization, it is very important to accurately obtain the transient characteristic values of the VSC-based DC system. Therefore, it is necessary to establish an effective short-circuit calculation model. In the evolution process of a short-circuit fault, the VSC-based DC system is a typical AC/DC system which has a strong nonlinear dynamic network structure. Because the state variable matrix can correctly reflect the influence of multiple line variables on transient characteristics in any order circuit, even a complex system network, it is very applicable to calculate characteristic values in a system.
Two short-circuit calculation models based on state matrix are developed: (1) a simplified Simulink system model with a state matrix of the H-SFCL; (2) the state matrix model of equivalent capacitor discharging circuit. The first model is the hybrid computing model including Simulink model and state matrix codes. The second model is the equivalent computing model only having self-implemented state matrix codes.
(1) A Simplified Simulink Model with State Matrix (Hybrid Model)
The combination of a state matrix model of the SFCL and a Simulink model of a VSC system is the one of important parts in parameter matching and optimization. Figure 13a shows the equivalent short-circuit model of a VSC single-terminal system with two SFCLs, SFCL1 and SFCL2. The two SFCLs are both composed of state matrix and controlled current sources. The detailed model of SFCL1 in MATLAB/Simulink is shown in Figure 13b. In Figure 13b, controlled current sources 1 and 2 are respectively used to simulate two main branches of the SFCL, i1 and iL, changes of which can be equivalent to the working process of the SFCL in a VSC system. The parallel resistance of controlled current sources is required to ensure the model runs without reporting errors, and must be set large enough to avoid affecting calculation results. Gain1, Gain2 and Gain3 are used as input modules of variable assignment, and are convenient for an external program to identify and assign the parameters of the state matrix of SFCL.
In order to improve solution speed of MATLAB/Simulink, a discrete simulation environment is adopted. When simulation step size TS is set to a very small value, the Simulink model and state equations satisfy Equation (9):
{ u C ( k n + 1 ) = u C ( k n ) + u C ( k n + 1 ) u C ( k n ) k n + 1 k n T S i D C ( k n + 1 ) = i D C ( k n ) + i D C ( k n + 1 ) i D C ( k n ) k n + 1 k n T S i L ( k n + 1 ) = i L ( k n ) + i L ( k n + 1 ) i L ( k n ) k n + 1 k n T S ,
where kn+1kn = TS. When TS approaches 0, the following equation can be obtained:
lim T S 0 u C ( k n + 1 ) u C ( k n ) k n + 1 k n = d u C d t ,   lim T S 0 u C ( k n + 1 ) u C ( k n ) k n + 1 k n = d i D C d t ,   lim T S 0 u C ( k n + 1 ) u C ( k n ) k n + 1 k n = d i L d t .
Therefore, during current limiting process, according to Equations (9) and (10), the solution relationship of state matrix in the H-SFCL model can be approximately described as follows.
1)
When t1k < t2,
X ( k n + 1 ) = X ( k n ) + [ A 1 X ( k n ) + B F ( k n ) ] T S .
2)
When t2k,
X ( k n + 1 ) = X ( k n ) + [ A 2 X ( k n ) + B F ( k n ) ] T S .
Through state matrix Equations (11) and (12),
i 1 ( k n + 1 ) = i D C ( k n + 1 ) i L ( k n + 1 ) .
(2) The State Matrix of Equivalent Capacitor Discharging Circuit (Single Model)
Compared with Figure 4, this method only considers the capacitor’s discharging process of a VSC-based DC system in short-circuit fault while ignoring the AC side current feeding. The capacitor discharging process is generally no more than 10 ms, which is exactly the key link of fault protection in a DC system [48]. Therefore, the SFCL mainly works during this 10 ms after DC fault occurrence. Equivalent capacitor discharging circuit is shown in Figure 14.
Similar to the first model, discrete computation is adopted by programming in this model to solve transient characteristic quantities of system. n is set as the number variable of iterations. Fault occurs at t1. S1 is off at t2. TS is time step. According to Equations (3)–(8), in discrete calculation, the state matrix of equivalent capacitor discharging circuit can expressed by Equation (14).
{ t ( n ) = n T S X ( 1 ) = [ 0.5 U 0 I 0 I 0 ] T X ( n + 1 ) = X ( n ) + A 1 X ( n ) T S                 1 n < ( t 2 t 1 ) / T S X ( n + 1 ) = X ( n ) + A 2 X ( n ) T S                 ( t 2 t 1 ) / T S n i 1 ( n ) = i D C ( n ) i L ( n ) u D C ( n ) = 2 u C
A set of parameters is assigned to R1, LSC and R2 to implement simulation comparison between two short-circuit calculation models, where R1 = 15 Ω, LSC = 100 mH, R2 = 80 Ω; corresponding simulation results shown in Figure 15. Computational characteristics of two short-circuit calculation models are summarized in Table 4.

4.2.2. Basic Implementation Workflows of Parameter Matching and Optimization Methods

R1, LSC and R2 are the main key components affecting current limiting performance of the SFCL, and are set as optimization variables. The method of parameter matching and optimization consists of three parts: optimization algorithm main program, objective function and constraints, and a short-circuit calculation model. Based on two short-circuit calculation models, there are two basic implementation workflows of parameter matching and optimization, as shown in Figure 16.
In Figure 16a, hybrid model consists of the Simulink system model and the state matrix of H-SFCL. MATLAB function is adopted to set up the state matrix of the H-SFCL which can simulate the SFCL in the Simulink model and save calculation results for objective function reading. However, in Figure 16b, transient calculation and data storage are both completed by a single system state matrix model.
In the optimization process, the two implementation workflows are basically same. Optimization variables are firstly initialized through optimization algorithm main program, which are input into an objective function. The objective function assigns the value of variables to a short-circuit calculation model. Then, transient calculation is performed to obtain the characteristic quantities of the H-SFCL and system, which are fed back to the objective function for judgment and calculation. The results of the objective equation will return to the main program to determine whether the optimization is completed. If the stopping criteria is not met, the variables will be optimized in the next round.

4.3. Constraint Conditions and Fitness Function

In the whole current liming process, first of all, the parameters of SFCL should meet the following constraints simultaneously.
1) The fault current limiting rate should satisfy the system requirement:
I p I p I p × 100 % K ,
where Ip is the peak value of prospective short-circuit fault current, Ip is the peak value of short-circuit fault current with SFCL and K is the minimum fault current limiting rate for the system requirements. Proper current limiting rate is helpful to restrain voltage sag and short-circuit current of the DC side and reduce the operating conditions of the DCCB.
2) The maximum current value flowing through LSC should be lower than critical current to avoid LSC quenching and ensure safe operation of LSC. So:
I L max α I r a t e d = I c ,
where ILmax is the maximum current value of LSC, Irated is the rated DC-line current of the VSC terminal, Ic is the critical current of LSC and α is a coefficient greater than 1 which should be set as an appropriate value to provide a margin for safe operation of LSC. Meanwhile current limiting in LSC can also contribute to reduce the breaking current of S1.
3) The equivalent steady current limiting impedance of SFCL should exceed the minimum current limiting impedance required for the system, thereby:
Z s t e a d y Z r e q u i r e d
where Zsteady = R1 × R2/(R1 + R2) and Zrequired is the minimum current limiting resistance required for the system.
4) During the current limiting process, the overvoltage of S1 should be lower than the rated voltage of S1, so:
U o v e r U r a t e d ,
where UoverR2 × ILmax and Urated is the rated voltage of S1. The number of IGBTs depends on the overvoltage of S1 during S1 interrupting current iL.
On the premise of meeting above constraints, the objective function is designed to select optimal parameters to minimize the maximum transient magnetic energy of the superconducting coil, which is described as follows:
f ( R 1 , L S C , R 2 ) = E max
where Emax = LSC × ILmax2/2. The superconducting coil is the core component of the H-SFCL, whose safety and stability of operation have great influence on the overall performance of the H-SFCL. AC loss is an important index of superconducting devices, which is usually caused by external time-varying field and transport current. It exists in coated superconductors and consists of hysteresis losses and eddy-current loss [53]. AC loss can cause joule heat, which has a negative effect on the steady operation of superconducting devices. Based on the results of [45], in the current limiting process, decreasing magnetic energy can help to reduce AC loss generated from current fluctuations in the superconducting coil. In addition, according to [54], the total length of superconducting tape is proportional to magnetic energy in different types of superconducting inductive coils. Optimizing magnetic energy can effectively reduce the amount of superconducting tape used in the coil and improve the economy of H-SFCL in engineering application. Therefore, it is necessary to optimize the maximum magnetic energy of superconducting coils.

4.4. The Workflows of Optimization Algorithms

4.4.1. The Optimization Workflows Based on GA

GA is a classical evolutionary algorithm, which is based on survival of the fittest and searches for the optimal solution in the problem space using selection, crossover and mutation operations [55]. It can solve complicated optimization problems from a variety of sources with outstanding advantages of simplicity, good robustness, implicit parallelism and global searching [56,57,58,59,60]. Therefore, based on GA, two optimization workflows of a H-SFCL applied in a VSC system are proposed as follows.
(1) GA Workflow 1
Figure 17 presents an optimization workflow based on GA, where R1, LSC and R2 in the SFCL are taken as the optimization variables. The selection of the variables plays an important role in the stability and reliability of a VSC-based DC system. Therefore, appropriate optimization conditions need to be set to ensure that the H-SFCL meets the requirements of the system. According to the constraint conditions proposed, R1, LSC and R2 can be selected and optimized to obtain optimal parameters, minimizing the maximum transient magnetic energy of the superconducting coil. In the process of iteration, the initial solution populations are randomly generated. If parameters selected do not satisfy optimization conditions, high fitness individuals will be selected to evolve a better individual population through crossover and mutation. The evolution process continues until stop conditions are satisfied. The purpose of a penalty function is to transform constrained optimization into unconstrained optimization. The GA workflow is simple and easy to implement, and can be adopted in the optimization of different current limiting devices without considering the detailed analysis of the relationship among variables.
(2) GA Workflow 2
In the Section 3.2, simulation results indicated that R1 is the decisive parameter of the H-SFCL in current limiting process at a system level. Increasing R1 can enhance current limiting effect, while the effects of R2 and LSC are not obvious on the system. In addition, reducing R1 can effectively lower operating conditions of the superconducting coil and S1. Therefore, based on these characteristics of the H-SFCL, another optimization, Workflow 2, is proposed and shown in Figure 18.
Reaching the current limiting rate of the system is the primary requirement of R1 selection. The initial values of LSC and R2 are set and remain unchanged. Then, the minimum value of R1 is selected based on meeting the requirement of current limiting rate, which can effectively meet the current limiting requirements of the system and minimizes the influence of R1 on the superconducting coil and S1. Meanwhile the selection range of R2 can be determined by R1 in advance. Thus, the data preprocessing can reduce the number of optimal variables and solution space by taking advantage of the characteristics of the H-SFCL in Table 3. Then, LSC and R2 are optimized as variables in GA. In the optimal solution set of minimum EMAX, the parameter combination with the lowest overvoltage is obtained by sorting and filtering optimization results. This link can avoid the instability of output results caused by the existence of multiple solutions in an optimal function value. Meanwhile this link can ensure that the parameter combination obtained in each optimization has the best performance in the optimal solution set.

4.4.2. The Optimization Workflow Based on PSO

PSO is an evolutionary algorithm proposed in 1995 [61], whose concept was inspired by studying on the rules of bird group behaviors during predation. Each particle in particle swarm represents a possible solution of the problem, which flies through solution space with random velocity and updates position to search for an optimal solution. PSO has the advantages of a simple algorithm, easy implementation and fast convergence speed in the aspects of spatial function optimization and dynamic target optimization, so it is very suitable for engineering applications [62,63,64].
The particle has two properties: velocity and position. Velocity represents the speed of movement and position represents the direction of movement. Generally, in the N-dimensional solution space, for m initial particles, the updates of their velocities and positions can be expressed by Equations (20) and (21) in the optimization process.
V i = ω V i + c 1 r 1 ( p b e s t X i ) + c 2 r 2 ( g b e s t X i ) ,
X i = X i + V i ,
where Xi and Vi are respectively the position and velocity of each particle, pbest is the individual historical best position, gbest is the optimal position of the particle swarm, c1 and c2 are learning factors, r1 and r2 are random numbers between 0 and 1 and ω is inertia weight between 0.1 and 0.9. Based on PSO, two optimization workflows of the H-SFCL applied in a VSC system are proposed as follows.
(1) PSO Workflow 1
Figure 19 presents an optimization workflow based on PSO. R1, LSC and R2 in the SFCL are taken as the optimization variables, whose combinations are considered as particles flying in the search space. The current position of a particle is a candidate solution to the optimization problem. The flying process of particle is the process of a searching individual. The Vi and Xi of a particle can be dynamically adjusted by pbest and gbest Through iteration, the velocity and position of particles are constantly updated, and the optimal solution satisfying termination conditions is obtained.
(2) PSO Workflow 2
Figure 20 is an improvement based on PSO Workflow 1, which is similar to GA Workflow 2, adding data preprocessing and results sorting. The purpose of data preprocessing is to make optimization more targeted and directional. The purpose of results sorting is to avoid instability of optimization results and find the best combination of performance.

5. Case Study and Analysis

5.1. The Settings of Parameter Matching and Optimization

In parameter matching and optimization, taking the speed and accuracy of simulation into consideration, the step size of discrete simulation was 5 × 10−5 s. R1, LSC, R2 were the main optimization variables. Because the parameters of components in the H-SFCL cannot be manufactured with precision to the last few decimal places, the data type of optimization variables was set as integer. The fault current that a DCCB can break is 9 kA, which is 54.9% of maximum short-circuit current (16.4 kA). Thus, fault current limiting rate should be no less than 50% to ensure that DCCB can break rapidly and reliably with the maximum short-circuit current of the system lower than 9 kA. The coefficient α was set as 3, so the peak value of the current in LSC could be constrained within 1.5 kA. Meanwhile the minimum resistance required to limit the current was 8 Ω, and the rated voltage between the ends of S1 was set not to exceed 80 kV. These multiple performance indices can be adjusted according to the system requirements.
Corresponding settings of GA Workflows 1 and 2, and PSO Workflows 1and 2 are listed in Table 5 and Table 6. In the data preprocessing of optimization Workflow 2, since current limiting rate was no less than 50%, the variation trend of current limiting rate with R1 could be obtained by parameter scanning, shown in Figure 21. Therefore, the minimum value of R1 satisfying 50% current limiting rate was 9 Ω. According to Equation (17), the selection range of R2 could be determined; R2 ≥ 72 Ω.

5.2. The Results of Parameter Matching and Optimization

5.2.1. Global Optimal Solution

In order to verify the accuracy of parameter matching optimization methods, grid search (brute force approach) was adopted to search the global optimal solution. According to optimization Workflow 2 in GA and PSO, LSC and R2 had 5539 combinations in the integer space, as shown in Figure 22.
When Urated ≤ 80 kV and α ≤ 3, the feasible solutions were obtained according to the constraint conditions, as shown in Figure 23. In the feasible solutions, low Us1_max was required while ensuring minimum value of Emax. Therefore, global optimal solution was (R1, LSC, R2) = (9, 111, 72) and Emax = 61.65635419.

5.2.2. Optimization Results and Discussion

Based on two types of short-circuit calculation models and four workflows of optimization, eight parameter matching and optimization methods were obtained. Ten rounds of optimization were carried out by each of the eight methods, whose optimal results are compared with the global optimal solution of grid search in Table 7. Meanwhile the average performance parameters of each method are also listed in Table 7.
In Figure 24, with short-circuit calculation model and workflow unchanged, the convergence of PSO is slightly better than that of GA. Through horizontal comparisons with Workflow 1 in Figure 24a,c, it indicates that Workflow 2 had better convergence in Figure 24b,d. In addition, the convergence of the single short-circuit calculation models in Figure 24c,d are better than those of hybrid models in Figure 24a,b. Therefore, the combination of single model, PSO and Workflow 2 has the best convergence among the eight combinations of methods.
According to Table 7, the number of possible solutions of each method in space and average running time of each method are respectively shown in Figure 25a,b. Grid search is the exhaustive method, obtaining global optimal solution by calculating every possible solution in space. In other words, it sacrifices solving time for solving accuracy. Therefore, it is the least efficient in searching among the several methods. In the hybrid model and the single model, the optimization algorithm of GA and PSO can more efficiently explore space to search global optimum solution, saving an amount of time in the face of a wider solution space. Compared with GA, PSO is simpler without the process of crossover and mutation and had a faster average solving speed. Compared with the hybrid model, because of simple structure, the single model could significantly shorten optimization time by an order of magnitude. In addition, by using parameter rules in the H-SFCL, possible solutions in space were effectively reduced. Therefore, Workflow 2 consumed less optimization time than Workflow 1. As such, the combination of the single model, PSO and Workflow 2 had the best optimization efficiency.
Figure 26 reflects the ten rounds of optimization results for each method. The results of R1 in eight optimization methods are consistent with the global optimal solution in Figure 26b. According to Section 4.2.1, the hybrid model had high calculation accuracy, while there was a certain error between the single model and full system model. Therefore, the single model introduced a fixed error for optimization results in Figure 26a,c. In the single model, compared with global optimal solution, the optimization results of Emax and LSC had 0.64% and 1.8% errors, respectively. However, due to the high accuracy of the hybrid model, the optimization results of Emax, R1 and LSC in the hybrid model were consistent with global optimal solution.
Figure 26d shows that the optimization results of R2 in Workflow 1 are unstable. The reason is that there are multiple solutions satisfying the minimum value of Emax. The feasible solutions of R2 in the hybrid model are from 72 Ω to 75 Ω, while the feasible solutions of R2 in single model are from 72 Ω to 76 Ω. Therefore, the optimization results of R2 were random and unstable in Workflow 1. However, the links of results sorting and screening in Workflow 2 could effectively avoid this problem to select optimal parameters and increase the stability of optimization results. Therefore, the combination of the hybrid model, GA/PSO and Workflow 2 had the best optimization accuracy.
Based on the comparative analysis of the above different methods, the evaluations of their corresponding characteristics are listed in Table 8.
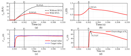
According to the method combinations of hybrid model, GA/PSO and Workflow 2, the global optimal parameters combinations the of H-SFCL are (R1, LSC, R2) = (9, 111, 72), which are brought into the VSC-based DC system simulation model for validation. Simulation results included DC line current, equivalent current limiting impedance of the H-SFCL, the current of LSC branch and the overvoltage of S1, as shown in Figure 27. This clearly indicates that optimization parameters can meet target requirements. Therefore, the above methods are effective and feasible.

5.3. Comparative Analysis between Unoptimized and Optimized Parameters of H-SFCL

In order to verify the optimizing function of parameter matching and optimization methods, a group of non-optimal parameters with the similar current limiting rate were selected to compare with the optimized parameters of the H-SFCL in simulation. According to Table 3, current limiting rate mainly depends on R1. Therefore, a group of arbitrary non-optimal parameters were selected as follows: R1 = 9 Ω, R2 = 20 Ω, LSC = 140 mH. Its current limiting rate was also about 50%. The comparative analysis was carried out from three aspects: VSC-based DC system, DCCB and H-SFCL.

5.3.1. Comparative Analysis in VSC-Based DC System

According to Figure 28, DC fault occurs at 0.5 s. Unoptimized H-SFCL had the same current limiting rate as the optimized H-SFCL, so there was no significant difference between their effects on a VSC-based DC system from 0.5 s to 0.505 s. However, because of the optimized H-SFCL, the minimum DC side voltage of the system was higher after 0.510 s, as shown in Figure 28a. Meanwhile, fault current was slightly lower in the DC line and convertor, as shown in Figure 28b,c. In other words, though the current limiting rates of two H-SFCLs both matched the requirements of the system, the optimized H-SFCL shows slightly better performance of voltage compensation and current limiting than those of the unoptimized H-SFCL in continuous fault.

5.3.2. Comparative Analysis in DCCB

Figure 29a–c indicate that the H-SFCL can effectively suppress voltage stress, breaking current and energy absorbed of the CM-DCCB and H-DCCB. However, the maximum voltage stress and breaking current of the two types of DCCBs mainly depended on current limiting rate. Therefore, if current limiting rate remains unchanged, they will not be obviously affected by parameter optimization of the H-SFCL, as shown in Figure 29a,b,d,e. But it is worth noting that the optimized H-SFCL can make the CM-DCCB and H-DCCB absorb less energy with the same current limiting rate. The reason is that the optimized H-SFCL has higher steady current limiting impedance in Figure 29d, which can absorb more energy from the system released to alleviate energy shock on the DCCB.

5.3.3. Comparative Analysis in H-SFCL

Figure 30a shows that the overcurrent of the superconducting coil in the optimized H-SFCL was much lower than the unoptimized H-SFCL, with 44% reduction. It clearly indicates the effect of overcurrent on the superconducting coil was significantly weakened by parameter optimization. In Figure 30b, though superconducting coils were subjected to the same maximum voltage stress in the unoptimized and optimized H-SFCLs, a shorter duration of overvoltage is seen in the optimized H-SFCL. In Figure 30c, during current limiting process, the maximum magnetic energy in the optimized H-SFCL is 62 kJ, which was only about 25% of that in the unoptimized H-SFCL. On the premise that the current limiting rate was not affected, the fluctuation of magnetic energy can be effectively suppressed by parameter optimization in the H-SFCL, avoiding a superconducting coil with excessive transient loss and cost. In addition, the optimized H-SFCL presents a more stable current limiting impedance curve than the unoptimized H-SFCL in Figure 30d. However, the optimization cannot improve performance parameters of all components. Figure 30e,f suggest that a S1 with larger breaking capacity is needed in the optimized H-SFCL, but the change of S1 caused by optimization still meets the target value of constraint conditions.

5.3.4. Summary

According to the above simulation research, corresponding results are listed in Table 9. On the premise of the same current limiting rate, the optimized H-SFCL shows a slightly better effect on the system and DCCB than the unoptimized H-SFCL, but these differences are not significant. For the same kind of H-SFCL, the influence of the H-SFCL on external systems and devices is mainly affected by its current limiting rate. Therefore, when the current limiting rate of the H-SFCL reaches the target value, the H-SFCL can meet the current limiting requirements of the system and DCCB.
However, on the premise of meeting current limiting requirements and other operational indicators, the parameter matching and optimization method of the H-SFCL can select better matching parameters of R1, LSC and R2. Taking the maximum magnetic energy of the superconducting coil as an optimization target can significantly reduce multiple performance indicators of the superconducting coil, such as maximum IL, overvoltage UL, inductance value and transient magnetic energy. This improvement can contribute to reduce the loss and cost of the H-SFCL with more stable performance. Therefore, the optimization function of this method has been well verified.

6. Conclusions

The parameter matching in the SFCL not only has an important impact on suppressing short-circuit fault current and maintaining the stability of a VSC-based system, but also affects the performance advantages, reliability and cost of the SFCL itself. Therefore, for the H-SFCL developed by our laboratory, eight method combinations of parameter matching and optimization are put forward based on two short-circuit calculation models, two algorithms and two workflows, whose effectiveness of optimization are well verified in system simulation.
Through simulation and comparative analysis, the characteristics of these methods are clearly elucidated as follows:
(1)
In the aspect of short-circuit calculation, the hybrid model has high solution accuracy and wider range of accuracy, but calculation speed is relatively slow. The single model is simple with outstanding solution speed, but its calculation accuracy is general.
(2)
In the aspect of algorithms, PSO has simpler structure, slightly better convergence and faster optimization speed than GA. However, GA is more mature and is an easier operation with the optimization tool in MATLAB. Compared with grid search (exhaustion method), GA and PSO both have more efficient search ability for an optimal solution in complex space, significantly reducing computational load and improving optimization efficiency.
(3)
In the aspect of optimization workflows, Workflow 1 is simple and easier to implement, but its results are not stable. Workflow 2 is the improvement of Workflow 1, which can obtain global optimal parameters of the H-SFCL faster and more stably.
Therefore, “single model + PSO + Workflow 2” is the optimal method combination with the fastest optimization speed, while “hybrid model + GA or PSO + Workflow 2” is the optimal method combination with the highest optimization accuracy. For contradictions among the effects of multiple parameters, these methods can select a good parameter matching scheme and maximize the performance advantages of the SFCL to meet the current limiting requirements of VSC-based systems. Meanwhile, optimizing the magnetic energy of the superconducting coil can significantly reduce the peak value of overvoltage, the duration of overvoltage, overcurrent and magnetic energy, thereby effectively reducing the cost and operation conditions of the H-SFCL.
It is worth noting that these methods are not limited to the parameter matching and optimization of the H-SFCL. By adjusting constraints and optimizing objectives, they can balance the relationships among multiple parameters and provide good references for the optimization issues of other current limiters or equipment applied in power systems.

Author Contributions

Conceptualization, S.L.; Data curation, J.S.; Formal analysis, S.L. and X.T.; Investigation, X.T., Z.L.; Methodology, S.L. and L.R.; Software, S.L. and Y.X.; Supervision, Y.T.; Validation, S.L., X.T., Z.L. and J.S.; Writing—original draft, S.L.; Writing—review & editing, L.R.

Funding

This research was funded by the Project of the National Natural Science Foundation of China under grant number 51677080.

Conflicts of Interest

The authors declare no conflict of interest.

Nomenclature

VSCVoltage Source ConverterCBCircuit Breaker
MMCModular Multilevel ConverterSFCLSuperconducting Fault Current Limiter
HVDCHigh Voltage Direct CurrentRCBResidual Circuit Breaker
HTSHigh temperature superconductingUFDUltra Fast Disconnector
DCDirect CurrentMBMain Breaker
ACAlternating CurrentLCSLoad Commutation Switch
MTDCMulti-terminal Direct CurrentMOVMetal Oxide Varistor
H-Hybrid TypeGAGenetic Algorithm
CM-Coupling MechanicalPSOParticle Swarm Optimization
IGBTInsulated Gate Bipolar TransistorSCRsilicon controlled rectifier

Symbols

ΔtBreaking delay time of S1 (s)i1Current of R1 branch in H-SFCL (A)
tdetFault protection time (s)iLCurrent of superconducting coil (A)
tcodProtection coordination time (s)ID1Current of freewheel diode (A)
tcomCommunication time (s)IDCDC line current (A)
iDCDC line current (A)IS1Current of S1 (A)
t1The time of fault occurrence (s)ICCritical current of LSC (A)
t2S1 switch breaking time (s)ULOvervoltage of LSC (V)
UDCDC side voltage (V)US1Overvoltage of S1 (V)
UcDC-link capacitor voltage (V)EMagnetic energy of LSC (J)
RLine resistance (Ω)EmaxMaximum magnetic energy (J)
RLEquivalent load on DC side (Ω)ZSFCLCurrent limiting impedance (Ω)
LLine inductance (H)IpPeak value of fault current (A)
CDC-link capacitance (F)ILmaxMaximum current value of LSC (A)
R1Current limiting resistance (Ω)IratedRated DC-line current (A)
R2Current limiting resistance (Ω)UratedRated voltage of S1 (V)
LSCInductance of HTS coil (H)KFault current limiting rate

References

  1. Chehardeh, M.I.; Lesani, H.; Zadeh, M.K. An optimal control strategy to alleviate sub-synchronous resonance in VSC-HVDC systems. In Proceedings of the 2009 2nd International Conference on Power Electronics and Intelligent Transportation System (PEITS), Shenzhen, China, 19–20 December 2009; pp. 250–255. [Google Scholar]
  2. Huang, Y.; Yuan, X.; Hu, J. DC-Bus Voltage Control Stability Affected by AC-Bus Voltage Control in VSCs Connected to Weak AC Grids. IEEE J. Emerg. Sel. Top. Power Electron. 2016, 4, 445–458. [Google Scholar] [CrossRef]
  3. Zheng, C.; Zhou, X.; Li, R. Dynamic Modeling and Transient Simulation for VSC based HVDC in Multi-Machine System. In Proceedings of the 2006 International Conference on Power System Technology, Chongqing, China, 22–26 October 2006; pp. 1–7. [Google Scholar]
  4. Xu, Z.; Li, R.; Hu, B. Direct power control based on renewable energy access for VSC-HVDC system. In Proceedings of the IEEE 8th International Power Electronics and Motion Control Conference, Hefei, China, 22–26 May 2016; pp. 2319–2324. [Google Scholar]
  5. DirkVan, H.; Ghandhari, M. Multi-terminal VSC HVDC for the European supergrid: Obstacles. Renew. Sustain. Energy Rev. 2010, 14, 3156–3163. [Google Scholar]
  6. Flourentzou, N.; Agelidis, V.G.; Demetriades, G.D. VSC-Based HVDC Power Transmission Systems: An Overview. IEEE Trans. Power Electron. 2009, 24, 592–602. [Google Scholar] [CrossRef]
  7. Dorn, J.; Gambach, H.; Retzmann, D. HVDC transmission technology for sustainable power supply. In Proceedings of the International Multi-Conference on Systems, Sygnals & Devices, Chemnitz, Germany, 20–23 March 2012; pp. 1–6. [Google Scholar]
  8. Barnes, M.; Beddard, A. Voltage Source Converter HVDC Links-The State of the Art and Issues Going Forward. Energy Procedia 2012, 24, 108–122. [Google Scholar] [CrossRef]
  9. Fu, J.; Yuan, Z.; Wang, Y. Control strategy of system coordination in Nanao multi-terminal VSC-HVDC project for wind integration. In Proceedings of the IEEE PES General Meeting, National Harbor, MD, USA, 27–31 July 2014; pp. 1–5. [Google Scholar]
  10. Yang, J.; Yang, Y.; He, Z. System design of MMC VSC-HVDC demonstration project for windfarm connection. In Proceedings of the 10th IET International Conference on AC and DC Power Transmission (ACDC 2012), Birmingham, UK, 4–5 December 2012; pp. 1–6. [Google Scholar]
  11. Jovcic, D.; Van Hertem, D.; Linden, K. Feasibility of DC transmission networks. In Proceedings of the 2011 2nd IEEE PES International Conference and Exhibition on Innovative Smart Grid Technologies, Manchester, UK, 5–7 December 2011; pp. 1–8. [Google Scholar]
  12. Monadi, M.; Koch-Ciobotaru, C.; Luna, A. Multi-terminal medium voltage DC grids fault location and isolation. IET Gener. Transm. Dis. 2016, 10, 3517–3528. [Google Scholar] [CrossRef]
  13. Wang, Y.; Yuan, Z.; Wen, W. Generalised protection strategy for HB-MMC-MTDC systems with RL-FCL under DC faults. IET Gener. Transm. Dis. 2018, 12, 1231–1239. [Google Scholar] [CrossRef]
  14. Yang, J.; Fletcher, J.E.; O’Reilly, J. Short-Circuit and Ground Fault Analyses and Location in VSC-Based DC Network Cables. IEEE Trans. Ind. Electron. 2012, 59, 3827–3837. [Google Scholar] [CrossRef]
  15. Tang, L.; Ooi, B.T. Locating and Isolating DC Faults in Multi-Terminal DC Systems. IEEE Trans. Power Del. 2007, 22, 1877–1884. [Google Scholar] [CrossRef]
  16. Li, Y.; Shi, X.; Wang, F. Dc fault protection of multi-terminal VSC-HVDC system with hybrid dc circuit breaker. In Proceedings of the 2016 IEEE Energy Conversion Congress and Exposition (ECCE), Milwaukee, WI, USA, 18–22 September 2016; pp. 1–8. [Google Scholar]
  17. Gomis-ellmunt, O.; Liang, J.; Ekanayake, J. Topologies of multiterminal HVDC-VSC transmission for large offshore wind farms. Electr. Pow. Syst. Res. 2011, 81, 271–284. [Google Scholar] [CrossRef]
  18. Chen, L.; Chen, H.; Shu, Z.; Zhang, G. Comparison of Inductive and Resistive SFCL to Robustness Improvement of a VSC-HVDC System with Wind Plants Against DC Fault. IEEE Trans. Appl. Supercond. 2016, 26, 5603508. [Google Scholar] [CrossRef]
  19. Yang, Q.; Blond, S.L.; Liang, F. Design and Application of Superconducting Fault Current Limiter in a Multiterminal HVDC System. IEEE Trans. Appl. Supercond. 2017, 27, 3800805. [Google Scholar] [CrossRef]
  20. Khan, U.A.; Lee, J.G.; Amir, F. A Novel Model of HVDC Hybrid-Type Superconducting Circuit Breaker and Its Performance Analysis for Limiting and Breaking DC Fault Currents. IEEE Trans. Appl. Supercond. 2015, 25, 5603009. [Google Scholar]
  21. Yang, K.; Yang, Y.; Junaid, M. Direct-Current Vacuum Circuit Breaker with Superconducting Fault-Current Limiter. IEEE Trans. Appl. Supercond. 2018, 28, 5600108. [Google Scholar] [CrossRef]
  22. Lee, J.G.; Khan, U.A. Impact of SFCL on the Four Types of HVDC CBs by Simulation. IEEE Trans. Appl. Supercond. 2016, 26, 5602606. [Google Scholar] [CrossRef]
  23. Li, B.; Wang, C.; Wei, Z. Technical Requirements of the DC Superconducting Fault Current Limiter. IEEE Trans. Appl. Supercond. 2018, 28, 5602805. [Google Scholar] [CrossRef]
  24. Li, B.; He, J. Studies on the Application of R-SFCL in the VSC-Based DC Distribution System. IEEE Trans. Appl. Supercond. 2016, 26, 5601005. [Google Scholar] [CrossRef]
  25. Chen, L.; He, H.; Li, G. Study of Resistive-Type Superconducting Fault Current Limiters for a Hybrid High Voltage Direct Current System. Materials 2018, 12, 26. [Google Scholar] [CrossRef]
  26. Leon Garcia, W.R.; Tixador, P.; Raison, B. Technical and Economic Analysis of the R-Type SFCL for HVDC Grids Protection. IEEE Trans. Appl. Supercond. 2017, 27, 5602009. [Google Scholar] [CrossRef]
  27. Xiao, L.; Dai, S.; Lin, L. HTS Power Technology for Future DC Power Grid. IEEE Trans. Appl. Supercond. 2013, 23, 5401506. [Google Scholar] [CrossRef]
  28. Fisher, L.M.; Alferov, D.F.; Akhmetgareev, M.R. A superconducting direct-current limiter with a power of up to 8 MVA. Phys. Atom. Nucl. 2017, 79, 1577–1584. [Google Scholar] [CrossRef]
  29. Pascal, P.T.; Badel, A.; Auram, G. Superconducting Fault Current Limiter for Ship Grid Simulation and Demonstration. IEEE Trans. Appl. Supercond. 2017, 27, 5601705. [Google Scholar] [CrossRef]
  30. Wang, C.; Li, B.; He, J. Design and Application of the SFCL in the Modular Multilevel Converter Based DC System. IEEE Trans. Appl. Supercond. 2017, 27, 3800504. [Google Scholar] [CrossRef]
  31. Li, B.; Jing, F.; Li, B. Study of the Application of Active Saturated Iron-Core Superconductive Fault Current Limiters in the VSC-HVDC System. IEEE Trans. Appl. Supercond. 2018, 28, 5602906. [Google Scholar] [CrossRef]
  32. Lee, H.Y.; Asif, M.; Park, K.H. Feasible Application Study of Several Types of Superconducting Fault Current Limiters in HVDC Grids. IEEE Trans. Appl. Supercond. 2018, 28, 5601205. [Google Scholar] [CrossRef]
  33. Zhang, L.; Shi, J.; Wang, Z. Application of a Novel Superconducting Fault Current Limiter in a VSC-HVDC System. IEEE Trans. Appl. Supercond. 2017, 27, 5600706. [Google Scholar] [CrossRef]
  34. Li, B.; Jiang, F.; Li, B.; Wen, W. Research on the Parameter Matching Between Active SI-SFCL and DC Circuit Breaker in DC systems. IEEE Trans. Appl. Supercond. 2019, 29, 5601605. [Google Scholar] [CrossRef]
  35. Lee, H.Y.; Asif, M.; Park, K.H. Appropriate Protection Scheme for DC Grid Based on the Half Bridge Modular Multilevel Converter System. Energies 2019, 12, 1837. [Google Scholar] [CrossRef]
  36. Khazali, A.; Kalantar, M. Optimal power flow considering fault current level constraints and fault current limiters. Int. J. Elect. Power Energy Syst. 2014, 59, 204–213. [Google Scholar] [CrossRef]
  37. Didier, G.; Lévêque, J. Influence of fault type on the optimal location of superconducting fault current limiter in electrical power grid. Int. J. Elect. Power Energy Syst. 2014, 56, 279–285. [Google Scholar] [CrossRef]
  38. Yu, P.; Venkatesh, B.; Yazdani, A. Optimal Location and Sizing of Fault Current Limiters in Mesh Networks Using Iterative Mixed Integer Nonlinear Programming. IEEE Trans. Power Syst. 2016, 31, 4776–4783. [Google Scholar] [CrossRef]
  39. Zhang, X.; Ruiz, H.S.; Geng, J. Optimal location and minimum number of superconducting fault current limiters for the protection of power grids. Int. J. Elect. Power Energy Syst. 2017, 87, 136–143. [Google Scholar] [CrossRef]
  40. Hamidi, M.E.; Chabanloo, R.M. Optimal Allocation of Distributed Generation with Optimal Sizing of Fault Current Limiter to Reduce the Impact on Distribution Networks Using NSGA-II. IEEE Syst. J. 2019, 13, 1714–1724. [Google Scholar] [CrossRef]
  41. Chen, L.; Zhang, X.; Chen, H. Pareto optimal allocation of resistive-type fault current limiters in active distribution networks with inverter-interfaced and synchronous distributed generators. Energy Sci. Eng. 2019. [Google Scholar] [CrossRef]
  42. Wang, W.; Jazebi, S. Looping Radial Distribution Systems Using Superconducting Fault Current Limiters: Feasibility and Economic Analysis. IEEE Trans. Power Syst. 2018, 33, 2486–2495. [Google Scholar] [CrossRef]
  43. Elmitwally, A.; Guoda, E.; Eladawy, S. Restoring recloser-fuse coordination by optimal fault current limiters planning in DG-integrated distribution systems. Int. J. Elect. Power Energy Syst. 2016, 77, 1–10. [Google Scholar] [CrossRef]
  44. Liang, S.; Tang, Y.; Xia, Z. Study on the Current Limiting Performance of a Novel SFCL in DC Systems. IEEE Trans. Appl. Supercond. 2017, 27, 5601106. [Google Scholar] [CrossRef]
  45. Liang, S.; Tang, Y.; Ren, L. Tests and Analysis of a Small-Scale Hybrid-Type DC SFCL Prototype. IEEE Trans. Appl. Supercond. 2018, 27, 5602106. [Google Scholar] [CrossRef]
  46. Pei, X.; Cwikowski, O.; Vilchis-Rodriguez, D.S. A review of technologies for MVDC CBs. In Proceedings of the IECON 2016—42nd Annual Conference of the IEEE Industrial Electronics Society, Florence, Italy, 23–26 October 2016; pp. 3799–3805. [Google Scholar]
  47. Qi, L.L.; Antoniazzi, A.; Raciti, L. Design of Solid-State Circuit Breaker-Based Protection for DC Shipboard Power Systems. IEEE J. Emerg. Sel. Topics Power Electron. 2017, 5, 260–268. [Google Scholar] [CrossRef]
  48. Xue, S.M.; Liu, C. Line-to-Line Fault Analysis and Location in a VSC-Based Low-Voltage DC Distribution Network. Energies 2018, 11, 536. [Google Scholar] [CrossRef]
  49. Callavik, M.; Blomberg, A.; Häfner, J. The Hybrid HVDC Breaker An Innovation Breakthrough Enabling Reliable HVDC Grids; ABB Grid Systems, Technical Paper; ABB: Zürich, Switzerland, 2012. [Google Scholar]
  50. Xiao, L.; Sheng, C.; Lu, Q. Research on Short-Circuit Test and Simulation of CSG First Mechanical HVDC Circuit Breaker in VSC-HVDC. In Proceedings of the 2018 International Conference on Power System Technology (POWERCON), Guangzhou, China, 6–8 November 2018; pp. 2764–2769. [Google Scholar]
  51. Zhang, Z.; Li, X.; Chen, M. Research and Development of 160kV Ultra-Fast Mechanical HVDC Circuit Breaker. Power Syst. Technol. 2018, 42, 2331–2338. [Google Scholar]
  52. Yeap, Y.M.; Geddada, N.; Satpathi, K. Time and Frequency Domain Fault Detection in VSC Interfaced Experimental DC Test System. IEEE Trans. Ind. Informat. 2018, 14, 4353–4364. [Google Scholar] [CrossRef]
  53. Park, D.K.; Bang, J.S.; Yang, S.E. Theoretical and Experimental Analysis of AC Loss Characteristic of Bifilar Pancake Coil with Coated Conductor. IEEE Trans. Appl. Supercond. 2008, 18, 1232–1235. [Google Scholar] [CrossRef]
  54. Xu, Y.; Ren, L.; Tang, Y. A Study on the Design and Comparison of 1–100-MJ-Class SMES Magnet with Different Coil Configurations. IEEE Trans. Appl. Supercond. 2017, 27, 5700809. [Google Scholar] [CrossRef]
  55. Bintha, S.; Sathya, S.S. A survey of Bio inspired optimization algorithms. Int. J. Soft Comput. Eng. 2012, 2, 137–151. [Google Scholar]
  56. Michalewicz, Z. Genetic Algorithms + Data Structures = Evoluation Programs; Springer: New York, NY, USA, 1999. [Google Scholar]
  57. Haupt, R.L.; Haupt, S.E. Practical Genetic Algorithms; John Wiley & Sons: Hoboken, NJ, USA, 2004. [Google Scholar]
  58. Teng, J.H.; Lu, C.N. Optimum fault current limiter placement with search space reduction technique. IET Gener. Trans. Distrib. 2010, 4, 485–494. [Google Scholar] [CrossRef]
  59. Huang, J.; Hu, X.; Yang, F. Support vector machine with genetic algorithm for machinery fault diagnosis of high voltage circuit breaker. Measurement 2011, 44, 1018–1027. [Google Scholar] [CrossRef]
  60. Ebrahim, M.A.; Elyan, T.; Wadie, F.; Abd-Allah, M.A. Optimal design of RC snubber circuit for mitigating transient overvoltage on VCB via hybrid FFT/Wavelet Genetic approach. Electric Power Syst. Res. 2017, 143, 451–461. [Google Scholar] [CrossRef]
  61. Kennedy, J.; Eberhart, R. Particle swarm optimization. In Proceedings of the ICNN’95—International Conference on Neural Networks, Perth, WA, Australia, 27 November–1 December 1995; Volume 4, pp. 1942–1948. [Google Scholar]
  62. Mehdinejad, M.; Mohammadi-Ivatloo, B. Solution of optimal reactive power dispatch of power systems using hybrid particle swarm optimization and imperialist competitive algorithms. Int. J. Elect. Power Energy Syst. 2016, 83, 104–116. [Google Scholar] [CrossRef]
  63. Farahmand, H.; Rashidinejad, M.; Mousavi, A. Hybrid Mutation Particle Swarm Optimisation method for Available Transfer Capability enhancement. Int. J. Elect. Power Energy Syst. 2012, 42, 240–249. [Google Scholar] [CrossRef]
  64. Kerdphol, T.; Fuji, K.; Mitani, Y. Optimization of a battery energy storage system using particle swarm optimization for stand-alone microgrids. Int. J. Elect. Power Energy Syst. 2016, 81, 32–39. [Google Scholar] [CrossRef]
Figure 1. Topological structure. (a) Configuration of the hybrid type DC superconducting fault current limiter (H-SFCL); (b) high-speed controlled switch S1; (c) the breaking characteristics of S1.
Figure 1. Topological structure. (a) Configuration of the hybrid type DC superconducting fault current limiter (H-SFCL); (b) high-speed controlled switch S1; (c) the breaking characteristics of S1.
Energies 12 03522 g001
Figure 2. Principles of the H-SFCL. (a) Normal; (b) current limiting stage I; (c) current limiting stage II.
Figure 2. Principles of the H-SFCL. (a) Normal; (b) current limiting stage I; (c) current limiting stage II.
Energies 12 03522 g002
Figure 3. Schematic diagram of DC short-circuit fault. (a) DC short-circuit fault of VSC-based DC system. (b) Short-circuit current path of pole-to-pole DC fault in a pseudo bipolar VSC-based system.
Figure 3. Schematic diagram of DC short-circuit fault. (a) DC short-circuit fault of VSC-based DC system. (b) Short-circuit current path of pole-to-pole DC fault in a pseudo bipolar VSC-based system.
Energies 12 03522 g003
Figure 4. Unipolar line equivalent circuit.
Figure 4. Unipolar line equivalent circuit.
Energies 12 03522 g004
Figure 5. Two typical high voltage DC circuit breakers (DCCBs): (a) hybrid DCCB (H-DCCB); (b) coupling mechanical DCCB (CM-DCCB).
Figure 5. Two typical high voltage DC circuit breakers (DCCBs): (a) hybrid DCCB (H-DCCB); (b) coupling mechanical DCCB (CM-DCCB).
Energies 12 03522 g005
Figure 6. Action sequence of H-SFCL and H-DCCB.
Figure 6. Action sequence of H-SFCL and H-DCCB.
Energies 12 03522 g006
Figure 7. Action Sequence of H-SFCL and CM-DCCB.
Figure 7. Action Sequence of H-SFCL and CM-DCCB.
Energies 12 03522 g007
Figure 8. The diagram of three-terminal detailed VSC-based DC system simulation model.
Figure 8. The diagram of three-terminal detailed VSC-based DC system simulation model.
Energies 12 03522 g008
Figure 9. Comparison of the effects of different R1 values. (a) DC-side voltage; (b) DC line current; (c) the current of freewheel diode; (d) the current of superconducting coil; (e) the overvoltage of superconducting coil; (f) the magnetic energy of superconducting coil; (g) current limiting impedance; (h) the overvoltage of S1; (i) the current of S1.
Figure 9. Comparison of the effects of different R1 values. (a) DC-side voltage; (b) DC line current; (c) the current of freewheel diode; (d) the current of superconducting coil; (e) the overvoltage of superconducting coil; (f) the magnetic energy of superconducting coil; (g) current limiting impedance; (h) the overvoltage of S1; (i) the current of S1.
Energies 12 03522 g009
Figure 10. Comparison of the effects of different LSC: (a) DC-side voltage; (b) DC line current; (c) the current of freewheel diode; (d) the current of superconducting coil; (e) the overvoltage of superconducting coil; (f) the magnetic energy of superconducting coil; (g) current limiting impedance; (h) the overvoltage of S1; (i) the current of S1.
Figure 10. Comparison of the effects of different LSC: (a) DC-side voltage; (b) DC line current; (c) the current of freewheel diode; (d) the current of superconducting coil; (e) the overvoltage of superconducting coil; (f) the magnetic energy of superconducting coil; (g) current limiting impedance; (h) the overvoltage of S1; (i) the current of S1.
Energies 12 03522 g010
Figure 11. Comparison of the effects of different R2: (a) DC-side voltage; (b) DC line current; (c) the current of freewheel diode; (d) the current of superconducting coil; (e) the overvoltage of superconducting coil; (f) the magnetic energy of superconducting coil; (g) current limiting impedance; (h) the overvoltage of S1; (i) the current of S1.
Figure 11. Comparison of the effects of different R2: (a) DC-side voltage; (b) DC line current; (c) the current of freewheel diode; (d) the current of superconducting coil; (e) the overvoltage of superconducting coil; (f) the magnetic energy of superconducting coil; (g) current limiting impedance; (h) the overvoltage of S1; (i) the current of S1.
Energies 12 03522 g011
Figure 12. The basic requirements of parameter matching and optimization in H-SFCL.
Figure 12. The basic requirements of parameter matching and optimization in H-SFCL.
Energies 12 03522 g012
Figure 13. The model in MTALAB/Simulink. (a) The equivalent short-circuit model of a VSC single-terminal system. (b) The detailed model of SFCL1.
Figure 13. The model in MTALAB/Simulink. (a) The equivalent short-circuit model of a VSC single-terminal system. (b) The detailed model of SFCL1.
Energies 12 03522 g013
Figure 14. Capacitor discharging circuit: (a) t1t < t2, S1 is in on state; (b) t2t, S1 is in off state.
Figure 14. Capacitor discharging circuit: (a) t1t < t2, S1 is in on state; (b) t2t, S1 is in off state.
Energies 12 03522 g014
Figure 15. The simulation comparison: (a) the DC-side voltage, UDC; (b) the DC-line current, IDC; (c) the current of R1, i1; (d) the current of LSC, IL.
Figure 15. The simulation comparison: (a) the DC-side voltage, UDC; (b) the DC-line current, IDC; (c) the current of R1, i1; (d) the current of LSC, IL.
Energies 12 03522 g015
Figure 16. Basic implementation frameworks of parameter matching and optimization methods. (a) Basic frameworks based on hybrid model; (b) basic frameworks based on single model.
Figure 16. Basic implementation frameworks of parameter matching and optimization methods. (a) Basic frameworks based on hybrid model; (b) basic frameworks based on single model.
Energies 12 03522 g016
Figure 17. The optimization Workflow 1 based on genetic algorithm (GA).
Figure 17. The optimization Workflow 1 based on genetic algorithm (GA).
Energies 12 03522 g017
Figure 18. The optimization Workflow 2 based on GA.
Figure 18. The optimization Workflow 2 based on GA.
Energies 12 03522 g018
Figure 19. The optimization Workflow 1 based on particle swarm optimization (PSO).
Figure 19. The optimization Workflow 1 based on particle swarm optimization (PSO).
Energies 12 03522 g019
Figure 20. The optimization Workflow 2 based on PSO.
Figure 20. The optimization Workflow 2 based on PSO.
Energies 12 03522 g020
Figure 21. The variation trend of current limiting rate with R1.
Figure 21. The variation trend of current limiting rate with R1.
Energies 12 03522 g021
Figure 22. All calculation results in search space: (a) maximum transient magnetic energy; (b) ratio of designed critical current to rated current of superconducting coil; (c) maximum overvoltage of S1.
Figure 22. All calculation results in search space: (a) maximum transient magnetic energy; (b) ratio of designed critical current to rated current of superconducting coil; (c) maximum overvoltage of S1.
Energies 12 03522 g022
Figure 23. All feasible solutions of grid search in search space.
Figure 23. All feasible solutions of grid search in search space.
Energies 12 03522 g023
Figure 24. Convergence comparison of different methods: (a) Hybrid model + GA/PSO + Workflow 1; (b) Hybrid model + GA/PSO + Workflow 2; (c) Single model + GA/PSO + Workflow 1; (d) Single model + GA/PSO + Workflow 2.
Figure 24. Convergence comparison of different methods: (a) Hybrid model + GA/PSO + Workflow 1; (b) Hybrid model + GA/PSO + Workflow 2; (c) Single model + GA/PSO + Workflow 1; (d) Single model + GA/PSO + Workflow 2.
Energies 12 03522 g024
Figure 25. Optimization efficiency between different methods. (a) The number of possible solutions; (b) average running time of parameter matching and optimization methods.
Figure 25. Optimization efficiency between different methods. (a) The number of possible solutions; (b) average running time of parameter matching and optimization methods.
Energies 12 03522 g025
Figure 26. Ten rounds of optimization results for each method. (a) The optimization results of Emax; (b) the optimization results of R1; (c) the optimization results of LSC; (d) the optimization results of R2.
Figure 26. Ten rounds of optimization results for each method. (a) The optimization results of Emax; (b) the optimization results of R1; (c) the optimization results of LSC; (d) the optimization results of R2.
Energies 12 03522 g026
Figure 27. Simulation verification of optimization results. (a) DC line current; (b) the current of superconducting coil; (c) current limiting impedance; (d) the overvoltage of S1.
Figure 27. Simulation verification of optimization results. (a) DC line current; (b) the current of superconducting coil; (c) current limiting impedance; (d) the overvoltage of S1.
Energies 12 03522 g027
Figure 28. Comparison simulation results for VSC-based DC system. (a) DC side voltage; (b) DC line current; (c) the current of freewheel diode.
Figure 28. Comparison simulation results for VSC-based DC system. (a) DC side voltage; (b) DC line current; (c) the current of freewheel diode.
Energies 12 03522 g028
Figure 29. Comparison simulation results for DCCB. (a) The voltage of CM-DCCB; (b) the breaking current of CM-DCCB; (c) the absorbed energy of CM-DCCB; (d) the voltage of H-DCCB; (e) the breaking current of H-DCCB; (f) the absorbed energy of H-DCCB.
Figure 29. Comparison simulation results for DCCB. (a) The voltage of CM-DCCB; (b) the breaking current of CM-DCCB; (c) the absorbed energy of CM-DCCB; (d) the voltage of H-DCCB; (e) the breaking current of H-DCCB; (f) the absorbed energy of H-DCCB.
Energies 12 03522 g029
Figure 30. Comparison simulation results for H-SFCL. (a) The overcurrent of superconducting coil; (b) the overvoltage of superconducting coil; (c) the magnetic energy of superconducting coil; (d) equivalent current limiting impedance; (e) the overvoltage of S1; (f) the breaking current of S1.
Figure 30. Comparison simulation results for H-SFCL. (a) The overcurrent of superconducting coil; (b) the overvoltage of superconducting coil; (c) the magnetic energy of superconducting coil; (d) equivalent current limiting impedance; (e) the overvoltage of S1; (f) the breaking current of S1.
Energies 12 03522 g030
Table 1. Studies on the parameters of fault current limiters in HVDC.
Table 1. Studies on the parameters of fault current limiters in HVDC.
HVDC SystemDC FCL/SFCLStudy on Parameters of SFCL/FCLMethodYear
InfluenceMatchingOptimization
VSCResistive Type [20]YesNoNoEnumeration, Comparison2015
VSCResistive, Inductive Type [18]YesNoNoEnumeration, Comparison2016
VSCHybrid Type [33]YesYesNoEnumeration, Comparison2017
MMCHybrid Type [13]YesYesNoAnalytical Formula, Graphical method2017
HybridResistive Type [25]YesNoNoEnumeration, Comparison2018
MMCInductive type [34]YesYesNoAnalytical Formula, Comparison2019
MMCResistive, Inductive, Hybrid Type [35]YesYesNoEnumeration, Comparison2019
Table 2. Main system parameters.
Table 2. Main system parameters.
ParametersValueParametersValue
The type of converter stationTwo-levelDC-link capacity, C (mF)0.5
Rated capacity (MVA)100/50/150Resistance, R (Ω)0.08
AC voltage (kV)110Smoothing inductance, L (mH)20
Frequency, f (Hz)50Resistance per unit length of cable, Ω (km)0.0139
DC voltage, UDC (kV)±100Inductance per unit length of cable, H (km)0.159 × 10−3
Rated DC current, IDC (A)500/200/700Capacitance per unit length of cable, F (km)12.74 × 10−9
Current limit of IGBT and diode (kA)2Prospective maximum fault current (kA)16.4
Table 3. The influence of main parameters of H-SFCL.
Table 3. The influence of main parameters of H-SFCL.
Affected IndicatorsMain Influence Factors
R1LSCR2
VSC-based DC systemUDC+//
IDC//
ID1//
H-SFCLIL+
UL++
E++
ZSFCL+/+
US1++
IS1+/
“+”: increase; “−”: decrease; “/”: No significant effect.
Table 4. Comparison of short-circuit calculation models.
Table 4. Comparison of short-circuit calculation models.
ModelImplementation MethodPrecisionEffective Scope of PrecisionCalculation Speed
Hybrid modelSimulink model + State Matrix CodesHighThe whole processGeneral
Single modelState Matrix CodesMediumWithin 10 ms after faultFast
Table 5. The main settings of GA Workflows 1 and 2.
Table 5. The main settings of GA Workflows 1 and 2.
Workflow 1Workflow 2
Time Step Ts5 × 10−5 s5 × 10−5 s
Optimization variablesR1, LSC, R2LSC, R2
Number of variables32
Type of variablesIntegerInteger
Population size4040
Mutation rate0.90.9
Crossover ratio0.080.08
Generations300300
Stall generations5050
Function tolerance1 × 1061 × 106
Optimization variables rangeR1 (Ω)5–509
LSC (mH)10–200(10–200
R2 (Ω)10–100(72–100
Constraint conditionsK≥50%/
α≤3≤3
Rrequired≥8 Ω/
Urated≤80 kV≤80 kV
Table 6. The main settings of PSO workflow 1,2.
Table 6. The main settings of PSO workflow 1,2.
Workflow 1Workflow 2
Time Step Ts5 × 10−5 s5 × 10−5 s
Optimization variablesR1, LSC, R2LSC, R2
Type of variablesIntegerInteger
Dimension, N32
Number of particles1010
Maximum velocity of particles2020
learning factors, c1, c21, 21, 2
Initial inertia weight0.90.9
Final inertia weight0.40.4
Maximum iteration number300300
Minimum global error gradient1 × 1061 × 106
Iterations before error gradient criterion terminates run5050
The range of particlesR1 (Ω)5–509
LSC (mH)10–20010–200
R2 (Ω)10–10072–100
Constraint conditionsK≥50%/
α≤3≤3
Rrequired≥8 Ω/
Urated≤80 kV≤80 kV
Table 7. The optimization results of different methods.
Table 7. The optimization results of different methods.
MethodOptimization WorkflowOptimal Parameters CombinationNumber of Possible SolutionsNumber of IterationsAverage Time (s)
R1 (Ω)LSC (mH)R2 (Ω)Emax (kJ)US1max (kV)
Grid search/91117261.6559084375.8885539553923,239
Hybird + GAWorkflow 1911172–7561.6559084375.8–79.1799,526719310
Workflow 291117261.6559084375.8885539547934
Hybird + PSOWorkflow 1911172–7561.6559084375.8–79.1795,5261147577
Workflow 291117261.6559084375.8885539563748
Single + GAWorkflow 1911372–7662.0508651575.5–79.7795,52670152
Workflow 291137262.0508651575.454553955105
Single + PSOWorkflow 1911372–7662.0508651575.5–79.7795,526109121
Workflow 291137262.0508651575.45455396662
Table 8. The characteristics’ evaluation of parameter matching and optimization methods.
Table 8. The characteristics’ evaluation of parameter matching and optimization methods.
MethodAccuracyAverage Time ConsumingSearch RangeConvergence RateStability of Results
Grid search★★★★★★☆☆☆☆★★★☆☆/★★★★★
Hybird + GAWorkflow 1★★★★☆★★☆☆☆★★★★★★★★☆☆★★☆☆☆
Workflow 2★★★★★★★★☆☆★★★☆☆★★★★☆★★★★★
Hybird + PSOWorkflow 1★★★★☆★★☆☆☆★★★★★★★★★☆★★☆☆☆
Workflow 2★★★★★★★★☆☆★★★☆☆★★★★☆★★★★★
Single + GAWorkflow 1★★★☆☆★★★★☆★★★★★★★★☆☆★★☆☆☆
Workflow 2★★★★☆★★★★★★★★☆☆★★★★☆★★★★☆
Single + PSOWorkflow 1★★★☆☆★★★★☆★★★★★★★★★☆★★☆☆☆
Workflow 2★★★★☆★★★★★★★★☆☆★★★★★★★★★★
Excellent ★★★★★, Very Good ★★★★☆, Good ★★★☆☆, Fair ★★☆☆☆, Poor★☆☆☆☆.
Table 9. The effects of comparison between unoptimized and optimized H-SFCL.
Table 9. The effects of comparison between unoptimized and optimized H-SFCL.
ParametersUnoptimized H-SFCLOptimized H-SFCLImprovementInfluence Degree
Optimization variableR19 Ω9 Ω0%/
LSC140 mH111 mH20.71%↓
R220 Ω72 Ω250%↑
VSC-based DC systemMinimum UDC15.1 kV28.8 kV90.73%↑★★☆☆☆
Maximum IDC8.37 kA8.04 kA3.9%↓
Maximum ID14.59 kA4.37 kA4.79%↓
DCCBM-DCCBMaximum UDCCB132.2 kV130.0 kV1.66%↓★☆☆☆☆
Maximum IDCCB8.22 kA8.18 kA0.49%↓
Absorbed Energy0.83 kJ0.77 kJ7.22%↓
H-DCCBMaximum UDCCB143 kV143 kV0%
Maximum IDCCB8.23 kA8.04 kA2.31%↓
Absorbed Energy0.77 kJ0.70 kJ9.09%↓
H-SFCLSuperconducting coilMaximum IL1.88 kA1.06 kA43.62%↓★★★★★
Maximum UL54.1 kV51.9 kV4.07%↓
Duration of Overvoltage7 ms4 ms42.86%↓
Maximum E248 kJ62 kJ75%↓
ZSFCLTransient ZSFCL7.8 Ω7.8 Ω0%
Steady ZSFCL5.9 Ω8.06 Ω36.61%↑
S1Maximum US137.6 kV74.1 kV97.07%↑
Maximum IS10.98 kA1.04 kA6.12%↑
Excellent ★★★★★, Very Good ★★★★☆, Good ★★★☆☆, Fair ★★☆☆☆, Poor★☆☆☆☆.

Share and Cite

MDPI and ACS Style

Liang, S.; Tang, Y.; Ren, L.; Xu, Y.; Shi, J.; Li, Z.; Tan, X. Parameter Matching and Optimization of a Hybrid Type DC SFCL Considering the Transient Characteristics of VSC-Based DC Systems. Energies 2019, 12, 3522. https://doi.org/10.3390/en12183522

AMA Style

Liang S, Tang Y, Ren L, Xu Y, Shi J, Li Z, Tan X. Parameter Matching and Optimization of a Hybrid Type DC SFCL Considering the Transient Characteristics of VSC-Based DC Systems. Energies. 2019; 12(18):3522. https://doi.org/10.3390/en12183522

Chicago/Turabian Style

Liang, Siyuan, Yuejin Tang, Li Ren, Ying Xu, Jing Shi, Zheng Li, and Xiangyu Tan. 2019. "Parameter Matching and Optimization of a Hybrid Type DC SFCL Considering the Transient Characteristics of VSC-Based DC Systems" Energies 12, no. 18: 3522. https://doi.org/10.3390/en12183522

APA Style

Liang, S., Tang, Y., Ren, L., Xu, Y., Shi, J., Li, Z., & Tan, X. (2019). Parameter Matching and Optimization of a Hybrid Type DC SFCL Considering the Transient Characteristics of VSC-Based DC Systems. Energies, 12(18), 3522. https://doi.org/10.3390/en12183522

Note that from the first issue of 2016, this journal uses article numbers instead of page numbers. See further details here.

Article Metrics

Back to TopTop