Study of a Piezoelectric Energy Harvesting Floor Structure with Force Amplification Mechanism
Abstract
:1. Introduction
2. Design of the Energy Harvesting Floor Structure
2.1. The Force Amplification Mechanism
2.2. The Double-Layer Squeezing Structure and Piezoelectric Beams Array
3. Experimental Validation
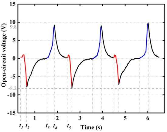
3.1. Analysis of the Voltage Output Waveform
3.2. The Voltage Output Under Different Frequencies and Strokes
3.3. Optimal Resistive Load and Maximum Output Power
4. Conclusions and Discussions
Author Contributions
Funding
Conflicts of Interest
References
- Gelenbe, E. Synchronising energy harvesting and data packets in a wireless sensor. Energies 2015, 8, 356–369. [Google Scholar] [CrossRef]
- Jawad, A.M.; Nordin, R.; Gharghan, S.K.; Jawad, H.M.; Ismail, M. Opportunities and challenges for near-field wireless power transfer: A review. Energies 2017, 10, 1022. [Google Scholar] [CrossRef]
- Yu, C.M.; Tala’t, M.; Chiu, C.H.; Huang, C.Y. Joint balanced routing and energy harvesting strategy for maximizing network lifetime in WSNs. Energies 2019, 12, 2336. [Google Scholar] [CrossRef]
- Zhou, X.Y.; Gao, S.Q.; Liu, H.P.; Jin, L. Nonlinear hybrid piezoelectric and electromagnetic energy harvesting driven by colored excitation. Energies 2018, 11, 498. [Google Scholar] [CrossRef]
- Zhu, J.X.; Wang, A.C.; Hu, H.B.; Zhu, H. Hybrid electromagnetic and triboelectric nanogenerators with multi-impact for wideband frequency energy harvesting. Energies 2017, 10, 2024. [Google Scholar] [CrossRef]
- Gao, C.H.; Gao, S.Q.; Liu, H.P.; Jin, L.; Lu, J.H. Electret length optimization of output power for double-end fixed beam out-of-plane electret-based vibration energy harvesters. Energies 2017, 10, 1122. [Google Scholar] [CrossRef]
- Choi, Y.M.; Lee, M.G.; Jeon, Y. Wearable biomechanical energy harvesting technologies. Energies 2017, 10, 1483. [Google Scholar] [CrossRef]
- Elahi, H.; Eugeni, M.; Gaudenzi, P. A review on mechanisms for piezoelectric-based energy harvesters. Energies 2018, 11, 1850. [Google Scholar] [CrossRef]
- Fan, K.; Liu, Z.; Liu, H.; Wang, L.; Zhu, Y.; Yu, B. Scavenging energy from human walking through a shoe-mounted piezoelectric harvester. Appl. Phys. Lett. 2017, 110, 143902. [Google Scholar] [CrossRef]
- Williams, C.B.; Yates, R.B. Analysis of a micro-electric generator for Microsystems. Sens. Actuators A Phys. 1996, 52, 8–11. [Google Scholar] [CrossRef]
- Kulah, H.; Najafi, K. Energy scavenging from low-frequency vibrations by using frequency up-conversion for wireless sensor applications. IEEE Sens. J. 2008, 8, 261–268. [Google Scholar] [CrossRef]
- Kim, K.B.; Cho, J.Y.; Jabbar, H.; Ahn, J.H.; Hong, S.D.; Woo, S.B.; Sung, T.H. Optimized composite piezoelectric energy harvesting floor tile for smart home energy management. Energy Convers. Manag. 2018, 171, 31–37. [Google Scholar] [CrossRef]
- Puscasu, O.; Counsell, N.; Herfatmanesh, M.R.; Peace, R.; Patsavellas, J.; Day, R. Powering lights with piezoelectric energy-harvesting floors. Energy Technol. 2018, 6, 906–916. [Google Scholar] [CrossRef]
- Panthongsy, P.; Isarakorn, D.; Janphuang, P.; Hamamoto, K. Fabrication and evaluation of energy harvesting floor using piezoelectric frequency up-converting mechanism. Sens. Actuators A Phys. 2018, 279, 321–330. [Google Scholar] [CrossRef]
- Kuang, Y.; Daniels, A.; Zhu, M. A sandwiched piezoelectric transducer with flex end-caps for energy harvesting in large force environments. J. Phys. D Appl. Phys. 2017, 50, 345501. [Google Scholar] [CrossRef]
- Wen, S.; Xu, Q.; Zi, B. Design of a new piezoelectric energy harvester based on compound two-stage force amplification frame. IEEE Sens. J. 2018, 18, 3989–4000. [Google Scholar] [CrossRef]
- Li, Z.; Saadatnia, Z.; Yang, Z.; Naguib, H. A hybrid piezoelectric-triboelectric generator for low-frequency and broad-bandwidth energy harvesting. Energy Convers. Manag. 2018, 174, 188–197. [Google Scholar] [CrossRef]
- Guan, M.; Wang, K.; Xu, D.; Liao, W.H. Design and experimental investigation of a low-voltage thermoelectric energy harvesting system for wireless sensor nodes. Energy Convers. Manag. 2017, 138, 30–37. [Google Scholar] [CrossRef]










| Properties | Upper Plate | Lower Plate | PPA-1001 |
|---|---|---|---|
| Material | aluminum alloy 5056 | PZT-5H | |
| Density (Kg/m3) | 2660 | 7750 | |
| Young’s modulus (GPa) | 72 | 49 | |
| Poisson’s ratio | 0.33 | 0.31 | |
| Radius of curvature (m) | 3.752 | - | |
| Tensile yield strength (MPa) | 290 | 210 | |
| Dimension (mm) | 320 × 100 × 0.5 | 54.4 × 22.4 × 0.46 | |
© 2019 by the authors. Licensee MDPI, Basel, Switzerland. This article is an open access article distributed under the terms and conditions of the Creative Commons Attribution (CC BY) license (http://creativecommons.org/licenses/by/4.0/).
Share and Cite
He, M.; Wang, S.; Zhong, X.; Guan, M. Study of a Piezoelectric Energy Harvesting Floor Structure with Force Amplification Mechanism. Energies 2019, 12, 3516. https://doi.org/10.3390/en12183516
He M, Wang S, Zhong X, Guan M. Study of a Piezoelectric Energy Harvesting Floor Structure with Force Amplification Mechanism. Energies. 2019; 12(18):3516. https://doi.org/10.3390/en12183516
Chicago/Turabian StyleHe, Ming, Sheng Wang, Xiang Zhong, and Mingjie Guan. 2019. "Study of a Piezoelectric Energy Harvesting Floor Structure with Force Amplification Mechanism" Energies 12, no. 18: 3516. https://doi.org/10.3390/en12183516
APA StyleHe, M., Wang, S., Zhong, X., & Guan, M. (2019). Study of a Piezoelectric Energy Harvesting Floor Structure with Force Amplification Mechanism. Energies, 12(18), 3516. https://doi.org/10.3390/en12183516

