Multi-Scale Quantitative Characterization of Pore Distribution Networks in Tight Sandstone by integrating FE-SEM, HPMI, and NMR with the Constrained Least Squares Algorithm
Abstract
1. Introduction
2. Geological Setting
3. Materials and Methods
3.1. Geologic Features of Samples
3.2. Experimental Methods
3.3. Combining NMR and HPMI Methods
3.4. Estimating the Proportion of Different Pores Based on the Least Squares Estimator
3.5. Fractal Analysis Based on the HPMI-NMR Integration
4. Results
4.1. Mineral Composition and Petrophysical Parameters of Four Lithofacies
4.2. Pore Geometry and Size and the Proportion of Six Pore Types
4.3. Pore Structures Characterized by HPMI and NMR
4.3.1. Pore Size Distribution Patterns from HPMI and NMR
4.3.2. Parameters of Pore Structures Determined by NMR and HPMI
4.4. Fractal Dimensions from the Combination of HPMI and NMR
5. Discussion
5.1. Validation and Limitation of Decomposing the NMR-HPMI Integrated PSD by the Least Squares Estimator
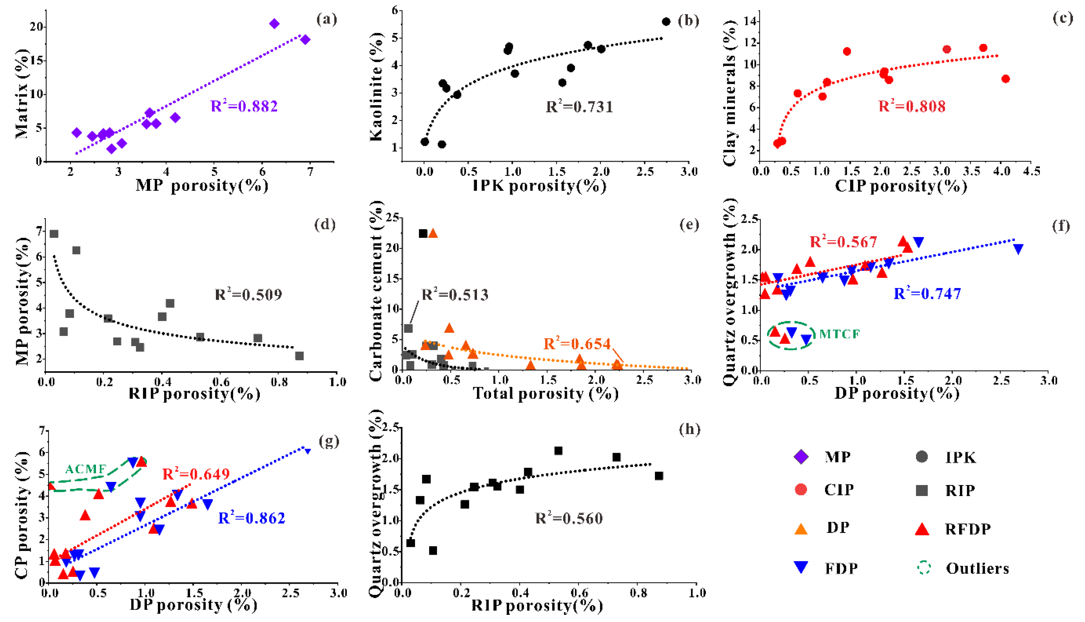
5.2. Effects of Sedimentary and Diagenetic Settings on Petrophysical Properties and Pore Networks
5.2.1. Impact of Diagenesis and Sedimentary Processes on the Macroscopic Reservoir Quality
5.2.2. Relationship between Petrophysical Properties and Different Genetic Pores
5.3. Relationships Among the Fractal Dimensions, Petrophysical Properties, and Pore Structures of Four Lithofacies
6. Conclusions
Author Contributions
Funding
Conflicts of Interest
Appendix A

References
- Jia, C.; Zou, C.; Li, J.; Li, D.; Zheng, M. Assessment criteria, main types, basic features and resource prospects of the tight oil in China. Shiyou Xuebao/Acta Pet. Sin. 2012, 33, 343–350. [Google Scholar]
 - Rezaee, R.; Saeedi, A.; Clennell, B. Tight gas sands permeability estimation from mercury injection capillary pressure and nuclear magnetic resonance data. J. Pet. Sci. Eng. 2012, 88–89, 92–99. [Google Scholar] [CrossRef]
 - Algive, L.; Békri, S.; Nader, F.H.; Lerat, O.; Vizika, O. Impact of diagenetic alterations on the petrophysical and multiphase flow properties of carbonate rocks using a reactive pore network modeling approach. Oil Gas Sci. Technol. 2012, 67, 147–160. [Google Scholar] [CrossRef]
 - Xiao, D.; Jiang, S.; Thul, D.; Huang, W.; Lu, Z.; Lu, S. Combining rate-controlled porosimetry and NMR to probe full-range pore throat structures and their evolution features in tight sands: A case study in the Songliao Basin, China. Mar. Pet. Geol. 2017, 83, 111–123. [Google Scholar] [CrossRef]
 - Bjørlykke, K. Relationships between depositional environments, burial history and rock properties. Some principal aspects of diagenetic process in sedimentary basins. Sediment. Geol. 2014, 301, 1–14. [Google Scholar] [CrossRef]
 - Wang, L.; Zhao, N.; Sima, L.; Meng, F.; Guo, Y. Pore Structure Characterization of the Tight Reservoir: Systematic Integration of Mercury Injection and Nuclear Magnetic Resonance. Energy Fuel 2018, 32, 7471–7484. [Google Scholar] [CrossRef]
 - Hill, P.J.; Collen, J.D. The kapuni sandstones from inglewood-1 well, taranaki—Petrology and the effect of diagenesis on reservoir characteristics. N. Z. J. Geol. Geophys. 1978, 21, 215–228. [Google Scholar] [CrossRef][Green Version]
 - Ozkan, A.; Cumella, S.P.; Milliken, K.L.; Laubach, S.E. Prediction of lithofacies and reservoir quality using well logs, Late Cretaceous Williams Fork Formation, Mamm Creek field, Piceance Basin, Colorado. AAPG Bull. 2011, 95, 1699–1724. [Google Scholar] [CrossRef]
 - Stroker, T.M.; Harris, N.B.; Crawford Elliott, W.; Marion Wampler, J. Diagenesis of a tight gas sand reservoir: Upper Cretaceous Mesaverde Group, Piceance Basin, Colorado. Mar. Pet. Geol. 2013, 40, 48–68. [Google Scholar] [CrossRef]
 - Walderhaug, O.; Eliassen, A.; Aase, N.E. Prediction of permeability in quartz-rich sandstones: Examples from the Norwegian continental shelf and the Fontainebleau Sandstone. J. Sediment. Res. 2012, 82, 899–912. [Google Scholar] [CrossRef]
 - Xiao, D.; Jiang, S.; Thul, D.; Lu, S.; Zhang, L.; Li, B. Impacts of clay on pore structure, storage and percolation of tight sandstones from the Songliao Basin, China: Implications for genetic classification of tight sandstone reservoirs. Fuel 2018, 211, 390–404. [Google Scholar] [CrossRef]
 - Li, Y.; Chang, X.; Yin, W.; Sun, T.; Song, T. Quantitative impact of diagenesis on reservoir quality of the Triassic Chang 6 tight oil sandstones, Zhenjing area, Ordos Basin, China. Mar. Pet. Geol. 2017, 86, 1014–1028. [Google Scholar] [CrossRef]
 - Lai, J.; Wang, G.; Wang, S.; Cao, J.; Li, M.; Pang, X.; Zhou, Z.; Fan, X.; Dai, Q.; Yang, L.; et al. Review of diagenetic facies in tight sandstones: Diagenesis, diagenetic minerals, and prediction via well logs. Earth Sci. Rev. 2018, 185, 234–258. [Google Scholar] [CrossRef]
 - Bjørlykke, K.; Jahren, J. Open or closed geochemical systems during diagenesis in sedimentary basins: Constraints on mass transfer during diagenesis and the prediction of porosity in sandstone and carbonate reservoirs. AAPG Bull. 2012, 96, 2193–2214. [Google Scholar] [CrossRef]
 - Schmitt, M.; Fernandes, C.P.; Wolf, F.G.; Bellini Da Cunha Neto, J.A.; Rahner, C.P.; Santiago Dos Santos, V.S. Characterization of Brazilian tight gas sandstones relating permeability and Angstrom-to micron-scale pore structures. J. Nat. Gas Sci. Eng. 2015, 27, 785–807. [Google Scholar] [CrossRef]
 - Clarkson, C.R.; Solano, N.; Bustin, R.M.; Bustin, A.M.M.; Chalmers, G.R.L.; He, L.; Melnichenko, Y.B.; Radliński, A.P.; Blach, T.P. Pore structure characterization of North American shale gas reservoirs using USANS/SANS, gas adsorption, and mercury intrusion. Fuel 2013, 103, 606–616. [Google Scholar] [CrossRef]
 - Medina, C.R.; Mastalerz, M.; Rupp, J.A. Characterization of porosity and pore-size distribution using multiple analytical tools: Implications for carbonate reservoir characterization in geologic storage of CO2. Environ. Geosci. 2017, 24, 51–72. [Google Scholar] [CrossRef]
 - Shao, X.; Pang, X.; Jiang, F.; Li, L.; Huyan, Y.; Zheng, D. Reservoir Characterization of Tight Sandstones Using Nuclear Magnetic Resonance and Incremental Pressure Mercury Injection Experiments: Implication for Tight Sand Gas Reservoir Quality. Energy Fuel 2017, 31, 10420–10431. [Google Scholar] [CrossRef]
 - Xiao, D.; Lu, Z.; Jiang, S.; Lu, S. Comparison and integration of experimental methods to characterize the full-range pore features of tight gas sandstone—A case study in Songliao Basin of China. J. Nat. Gas Sci. Eng. 2016, 34, 1412–1421. [Google Scholar] [CrossRef]
 - Yao, Y.; Liu, D. Comparison of low-field NMR and mercury intrusion porosimetry in characterizing pore size distributions of coals. Fuel 2012, 95, 152–158. [Google Scholar] [CrossRef]
 - Zhang, P.; Lu, S.; Li, J.; Chen, C.; Xue, H.; Zhang, J. Petrophysical characterization of oil-bearing shales by low-field nuclear magnetic resonance (NMR). Mar. Pet. Geol. 2018, 89, 775–785. [Google Scholar] [CrossRef]
 - Daigle, H.; Johnson, A. Combining Mercury Intrusion and Nuclear Magnetic Resonance Measurements Using Percolation Theory. Transp. Porous Media 2016, 111, 669–679. [Google Scholar] [CrossRef]
 - Huang, H.; Sun, W.; Ji, W.; Zhang, R.; Du, K.; Zhang, S.; Ren, D.; Wang, Y.; Chen, L.; Zhang, X. Effects of pore-throat structure on gas permeability in the tight sandstone reservoirs of the Upper Triassic Yanchang formation in the Western Ordos Basin, China. J. Pet. Sci. Eng. 2018, 162, 602–616. [Google Scholar] [CrossRef]
 - Yao, Y.; Liu, D.; Che, Y.; Tang, D.; Tang, S.; Huang, W. Petrophysical characterization of coals by low-field nuclear magnetic resonance (NMR). Fuel 2010, 89, 1371–1380. [Google Scholar] [CrossRef]
 - Li, J.; Yin, J.; Zhang, Y.; Lu, S.; Wang, W.; Li, J.; Chen, F.; Meng, Y. A comparison of experimental methods for describing shale pore features—A case study in the Bohai Bay Basin of eastern China. Int. J. Coal Geol. 2015, 152, 39–49. [Google Scholar] [CrossRef]
 - Zhang, L.; Lu, S.; Xiao, D.; Li, B. Pore structure characteristics of tight sandstones in the northern Songliao Basin, China. Mar. Pet. Geol. 2017, 88, 170–180. [Google Scholar] [CrossRef]
 - Wang, F.; Yang, K.; Cai, J. Fractal characterization of tight oil reservoir pore structure using nuclear magnetic resonance and mercury intrusion porosimetry. Fractals 2018, 26, 1840017. [Google Scholar] [CrossRef]
 - Du, J.; Zhi, D.; Li, J.; Yang, D.; Tang, Y.; Qi, X.; Xiao, L.; Wei, L. Major breakthrough of Well Gaotan 1 and exploration prospects of lower assemblage in southern margin of Junggar Basin, NW China. Pet. Explor. Dev. 2019, 46, 216–227. [Google Scholar] [CrossRef]
 - Han, S.; Li, X.; Chen, N.; Shen, J.; Xu, Y. Hydrocarbon reservoirs and their controlling factors in the lower associations of the middle part of southern Junggar Basin, Xinjiang. Sediment. Geol. Tethyan Geol. 2012, 32, 52–58. [Google Scholar]
 - Zhou, T.; Wu, C.; Yuan, B.; Shi, Z.; Wang, J.; Zhu, W.; Zhou, Y.; Jiang, X.; Zhao, J.; Wang, J.; et al. New insights into multiple provenances evolution of the Jurassic from heavy minerals characteristics in southern Junggar Basin, NW China. Pet. Explor. Dev. 2019, 46, 67–81. [Google Scholar] [CrossRef]
 - Niu, B.; Wei, P.; Zhang, S.; Guo, H.; Lu, X. Characteristics and controlling factors of the reservoir rocks from the Jurassic Badaowan Formation in the Shixi region, Junggar Basin, Xinjiang. Sediment. Geol. Tethyan Geol. 2017, 37, 77–87. [Google Scholar]
 - Xiao, X. Sedimentology and accumulation effect of humid fan of the Jurassic Badaowan Formation in Chunhui Oilfield, northern margin of Junggar Basin. J. Palaeogeogr. Engl. 2013, 15, 113–123. [Google Scholar]
 - Zhang, S.; Zhong, W.; Liang, Z.; Lu, X.; Jia, Y.; Shi, J. Reservoir diagenesis characteristics of Jurassic Badaowan Formation in Che-Guai area, Junggar Basin. Lithol. Reserv. 2011, 23, 49–55. [Google Scholar]
 - Zhong, W. Diagenesis and effect on physcial property of Jurassic reservoirs in Lunan uplift, abdomen of Junggar Basin. J. Northeast. Pet. Univ. 2018, 42, 77–85, 125–126. [Google Scholar]
 - Fang, Y.; Wu, C.; Guo, Z.; Hou, K.; Dong, L.; Wang, L.; Li, L. Provenance of the southern Junggar Basin in the Jurassic: Evidence from detrital zircon geochronology and depositional environments. Sediment. Geol. 2015, 315, 47–63. [Google Scholar] [CrossRef]
 - Jolivet, M.; Heilbronn, G.; Robin, C.; Barrier, L.; Bourquin, S.; Guo, Z.; Jia, Y.; Guerit, L.; Yang, W.; Fu, B. Reconstructing the Late Palaeozoic—Mesozoic topographic evolution of the Chinese Tian Shan: Available data and remaining uncertainties. Adv. Geosci. 2013, 37, 7–18. [Google Scholar] [CrossRef]
 - Yang, W.; Jolivet, M.; Dupont-Nivet, G.; Guo, Z.; Zhang, Z.; Wu, C. Source to sink relations between the Tian Shan and Junggar Basin (northwest China) from Late Palaeozoic to Quaternary: Evidence from detrital U-Pb zircon geochronology. Basin Res. 2013, 25, 219–240. [Google Scholar] [CrossRef]
 - Wang, J.; Wu, C.; Li, Z.; Zhu, W.; Zhou, T.; Wu, J.; Wang, J. Whole-rock geochemistry and zircon Hf isotope of Late Carboniferous-Triassic sediments in the Bogda region, NW China: Clues for provenance and tectonic setting. Geol. J. 2018, 54, 1853–1877. [Google Scholar] [CrossRef]
 - Hendrix, M.S. Sedimentary record and climatic implications of recurrent deformation in the Tian Shan: Evidence from Mesozoic strata of the north Tarim, south Junggar, and Turpan basins, northwest China. Geol. Soc. Am. Bull. 1992, 104, 53–79. [Google Scholar] [CrossRef]
 - Abbaszadeh Shahri, A.; Larsson, S.; Johansson, F. Updated relations for the uniaxial compressive strength of marlstones based on P-wave velocity and point load index test. Innov. Infrastruct. Solut. 2016, 1, 17. [Google Scholar] [CrossRef]
 - Daigle, H.; Johnson, A.; Thomas, B. Determining fractal dimension from nuclear magnetic resonance data in rocks with internal magnetic field gradients. Geophysics 2014, 79, D425–D431. [Google Scholar] [CrossRef]
 - Volokitin, Y.; Looyestijn, W.J.; Slijkerman, W.F.J.; Hofman, J.P. A practical approach to obtain primary drainage capillary pressure curves from NMR core and log data. Petrophysics 2001, 42, 334–343. [Google Scholar]
 - Zhang, S.; Yan, J.; Hu, Q.; Wang, J.; Tian, T.; Chao, J.; Wang, M. Integrated NMR and FE-SEM methods for pore structure characterization of Shahejie shale from the Dongying Depression, Bohai Bay Basin. Mar. Pet. Geol. 2019, 100, 85–94. [Google Scholar] [CrossRef]
 - Li, Z.; Wu, S.; Xia, D.; He, S.; Zhang, X. An investigation into pore structure and petrophysical property in tight sandstones: A case of the Yanchang Formation in the southern Ordos Basin, China. Mar. Pet. Geol. 2018, 97, 390–406. [Google Scholar] [CrossRef]
 - Li, A.; Ding, W.; Jiu, K.; Wang, Z.; Wang, R.; He, J. Investigation of the pore structures and fractal characteristics of marine shale reservoirs using NMR experiments and image analyses: A case study of the Lower Cambrian Niutitang Formation in northern Guizhou Province, South China. Mar. Pet. Geol. 2018, 89, 530–540. [Google Scholar] [CrossRef]
 - Smith, M.O.; Ustin, S.L.; Adams, J.B.; Gillespie, A.R. Vegetation in deserts: I. A regional measure of abundance from multispectral images. Remote Sens. Environ. 1990, 31, 1–26. [Google Scholar] [CrossRef]
 - Pech, R.P.; Davis, A.W.; Lamacraft, R.R.; Graetz, R.D. Calibration of LANDSAT data for sparsely vegetated semi-arid rangelands. Int. J. Remote Sens. 1986, 7, 1729–1750. [Google Scholar] [CrossRef]
 - Settle, J.J.; Drake, N.A. Linear mixing and the estimation of ground cover proportions. Int. J. Remote Sens. 1993, 14, 1159–1177. [Google Scholar] [CrossRef]
 - Uhrin, A.V.; Townsend, P.A. Improved seagrass mapping using linear spectral unmixing of aerial photographs. Estuar. Coast. Shelf Sci. 2016, 171, 11–22. [Google Scholar] [CrossRef]
 - Lai, J.; Wang, G.; Wang, Z.; Chen, J.; Pang, X.; Wang, S.; Zhou, Z.; He, Z.; Qin, Z.; Fan, X. A review on pore structure characterization in tight sandstones. Earth Sci. Rev. 2018, 177, 436–457. [Google Scholar] [CrossRef]
 - Shao, X.; Pang, X.; Li, H.; Zhang, X. Fractal Analysis of Pore Network in Tight Gas Sandstones Using NMR Method: A Case Study from the Ordos Basin, China. Energy Fuel 2017, 31, 10358–10368. [Google Scholar] [CrossRef]
 - Dou, W.; Liu, L.; Wu, K.; Xu, Z.; Liu, X.; Feng, X. Diagenetic heterogeneity, pore throats characteristic and their effects on reservoir quality of the Upper Triassic tight sandstones of Yanchang Formation in Ordos Basin, China. Mar. Pet. Geol. 2018, 98, 243–257. [Google Scholar] [CrossRef]
 - Fan, A.; Yang, R.; Lenhardt, N.; Wang, M.; Han, Z.; Li, J.; Li, Y.; Zhao, Z. Cementation and porosity evolution of tight sandstone reservoirs in the Permian Sulige gas field, Ordos Basin (central China). Mar. Pet. Geol. 2019, 103, 276–293. [Google Scholar] [CrossRef]
 - Yuan, G.; Cao, Y.; Jia, Z.; Gluyas, J.; Yang, T.; Wang, Y.; Xi, K. Selective dissolution of feldspars in the presence of carbonates: The way to generate secondary pores in buried sandstones by organic CO2. Mar. Pet. Geol. 2015, 60, 105–119. [Google Scholar] [CrossRef]
 - Liu, Y.; Hu, W.; Cao, J.; Wang, X.; Tang, Q.; Wu, H.; Kang, X. Diagenetic constraints on the heterogeneity of tight sandstone reservoirs: A case study on the Upper Triassic Xujiahe Formation in the Sichuan Basin, southwest China. Mar. Pet. Geol. 2018, 92, 650–669. [Google Scholar] [CrossRef]
 - Morad, S.; Al-Ramadan, K.; Ketzer, J.M.; De Ros, L.F. The impact of diagenesis on the heterogeneity of sandstone reservoirs: A review of the role of depositional fades and sequence stratigraphy. AAPG Bull. 2010, 94, 1267–1309. [Google Scholar] [CrossRef]
 - Purcell, W.R. Capillary pressures, their measurement using mercury and the calculation of permeability therefrom. Trans. AIME 1949, 186, 39–48. [Google Scholar] [CrossRef]
 - Zhu, F.; Hu, W.; Cao, J.; Sun, F.; Liu, Y.; Sun, Z. Micro/nanoscale pore structure and fractal characteristics of tight gas sandstone: A case study from the Yuanba area, northeast Sichuan Basin, China. Mar. Pet. Geol. 2018, 98, 116–132. [Google Scholar] [CrossRef]
 















| Sample | Depth (m) | Lithology | Petrophysical Parameters | Quartz (%) | Feldspar (%) | Rock Fragments (%) | Authigenic Clay (%) | Carbonate (%) | Matrix (%) | Lithofacies | ||||||||||
|---|---|---|---|---|---|---|---|---|---|---|---|---|---|---|---|---|---|---|---|---|
| Porosity (%) | Permeability (mD) | Detrital Quartz (%)  | Quartz Overgrowth (%) | Plagioclase (%) | K-Keldspar (%) | Sedimentary Rock Fragments (%)  | Igneous Rock Fragments (%) | Metamorphic Rock Fragments (%)  | Kaolinite (%) | I/S Mixed layers (%) | Illite (%) | Chlorite (%) | Calcite (%) | Ferrocalcite (%) | Siderite (%) | |||||
| 1879.5 | 1879.5 | Coarse sandstone | 4.956 | 0.066 | 34.159 | 1.332 | 4.597 | 9.195 | 10.788 | 5.569 | 1.745 | 3.348 | 1.59 | 2.343 | 1.088 | 6.857 | 1.523 | 5.334 | 2.710 | CCF | 
| 1882.3 | 1882.3 | Sandy fine gravel | 5.424 | 0.069 | 22.292 | 1.261 | 10.007 | 3.336 | 21.309 | 3.184 | 2.228 | 3.167 | 0.985 | 1.126 | 1.759 | 22.391 | 2.749 | 0 | 5.620 | CCF | 
| 1827.5 | 1827.5 | Sandy fine gravel | 4.186 | 0.055 | 23.605 | 1.54 | 19.366 | 7.262 | 12.028 | 10.938 | 0.667 | 2.931 | 0.586 | 1.246 | 2.565 | 8.947 | 0 | 0 | 4.187 | CCF | 
| 1714.6 | 1714.6 | Fine sandstone | 7.752 | 0.026 | 27.689 | 0.639 | 6.763 | 4.509 | 14.802 | 6.585 | 6.43 | 1.215 | 0.289 | 1.013 | 0.376 | 2.431 | 2.431 | 0 | 18.162 | MCTF | 
| 1713 | 1713 | Fine sandstone | 7.023 | 0.02 | 26.546 | 0.52 | 18.452 | 6.151 | 16.234 | 8.978 | 3.332 | 1.123 | 0.27 | 1.003 | 0.278 | 2.565 | 2.132 | 0 | 20.523 | MCTF | 
| 1787.2 | 1787.2 | Fine sandstone | 7.783 | 0.037 | 24.958 | 1.549 | 18.068 | 3.142 | 18.91 | 5.552 | 3.282 | 5.599 | 0.956 | 3.96 | 3.141 | 3.985 | 0 | 0 | 3.790 | ACMF | 
| C-36 | 1758 | Fine sandstone | 11.2 | 0.079 | 24.615 | 1.5 | 19.37 | 2.989 | 19.673 | 9.365 | 0.164 | 4.742 | 0.81 | 3.354 | 2.66 | 1.793 | 0 | 0 | 7.276 | ACMF | 
| 1667.2 | 1667.2 | Medium sandstone | 8.295 | 0.016 | 34.358 | 1.67 | 10.979 | 1.568 | 17.799 | 6.306 | 2.384 | 4.544 | 1.286 | 1.715 | 1.029 | 0.779 | 0 | 0.779 | 5.659 | QCDF | 
| 1672.5 | 1672.5 | Medium sandstone | 10.546 | 0.072 | 31.851 | 1.787 | 14.438 | 2.406 | 13.467 | 11.255 | 1.155 | 4.685 | 0.8 | 3.314 | 2.628 | 0.762 | 0 | 0.762 | 6.553 | QCDF | 
| 1674.5 | 1674.5 | Medium sandstone | 10.17 | 0.172 | 24.549 | 2.129 | 17.931 | 3.164 | 18.419 | 7.066 | 2.59 | 3.373 | 1.405 | 3.092 | 1.499 | 0.01 | 0 | 0 | 1.916 | QCDF | 
| 1907 | 1907 | Medium sandstone | 7.727 | 0.15 | 37.443 | 1.724 | 16.548 | 3.31 | 13.2 | 4.283 | 1.176 | 3.705 | 3.143 | 3.817 | 0.561 | 0.041 | 0 | 0.802 | 4.321 | QCDF | 
| 1907.6 | 1907.6 | Medium sandstone | 8.905 | 0.08 | 27.235 | 1.613 | 22.311 | 3.718 | 12.371 | 6.188 | 0.736 | 3.909 | 1.818 | 2.546 | 0.818 | 0.909 | 0 | 0.152 | 3.945 | QCDF | 
| C-37 | 1660 | Fine sandstone | 13.6 | 0.22 | 31.261 | 2.02 | 13.525 | 2.705 | 23.118 | 5.89 | 1.514 | 4.6 | 1.302 | 1.736 | 1.041 | 0.329 | 2.165 | 0 | 4.340 | QCDF | 
| Sam- ple  | Proportion (%) | Porosity (%) | |||||||||||
|---|---|---|---|---|---|---|---|---|---|---|---|---|---|
| Residual Inter-granular Pores (%) | Feldspar Disso-lution Pores (%) | Rock Fragment Disso-lution Pores (%) | Clay Mineral Inter-granular Pores (%)  | Kaolinite Intercrystalline Pores (%) | Matrix Pores (%) | Residual Inter-granular Pores (%) | Feldspar Disso-lution Pores (%) | Rock Fragment Disso-lution Pores (%) | Clay Mineral Intergranu-lar Pores (%)  | Kaoinite Inter-crystal- line Pores (%)  | Matrix Pores (%) | XRMS | |
| 1879.5 | 1.276 | 6.285 | 3.565 | 22.567 | 4.286 | 62.022 | 0.063 | 0.311 | 0.177 | 1.118 | 0.212 | 3.074 | 0.006 | 
| 1882.3 | 3.965 | 4.978 | 0.872 | 19.227 | 4.669 | 66.174 | 0.215 | 0.270 | 0.047 | 1.043 | 0.253 | 3.589 | 0.005 | 
| 1827.5 | 5.894 | 4.384 | 1.307 | 15.086 | 8.962 | 64.366 | 0.247 | 0.184 | 0.055 | 0.631 | 0.375 | 2.694 | 0.002 | 
| 1714.6 | 0.392 | 4.212 | 1.974 | 4.800 | 0.100 | 89.051 | 0.030 | 0.327 | 0.153 | 0.372 | 0.008 | 6.903 | 0.007 | 
| 1713 | 1.519 | 6.790 | 3.627 | 4.197 | 2.881 | 89.103 | 0.107 | 0.477 | 0.255 | 0.295 | 0.202 | 6.258 | 0.008 | 
| 1787.2 | 4.175 | 8.329 | 0.128 | 21.850 | 35.261 | 31.597 | 0.325 | 0.648 | 0.010 | 1.701 | 2.744 | 2.459 | 0.001 | 
| C-36 | 3.585 | 7.812 | 8.603 | 33.130 | 16.588 | 32.635 | 0.402 | 0.875 | 0.964 | 3.711 | 1.858 | 3.655 | 0.002 | 
| 1667.2 | 1.007 | 11.456 | 4.586 | 25.866 | 11.431 | 45.654 | 0.084 | 0.950 | 0.380 | 2.146 | 0.948 | 3.787 | 0.003 | 
| 1672.5 | 4.067 | 12.689 | 4.929 | 29.457 | 9.146 | 39.712 | 0.429 | 1.338 | 0.520 | 3.107 | 0.965 | 4.188 | 0.002 | 
| 1674.5 | 5.230 | 16.229 | 14.632 | 20.347 | 15.411 | 28.092 | 0.532 | 1.651 | 1.488 | 2.069 | 1.567 | 2.857 | 0.005 | 
| 1907 | 11.302 | 14.879 | 14.123 | 18.756 | 13.318 | 27.576 | 0.873 | 1.150 | 1.091 | 1.449 | 1.029 | 2.131 | 0.002 | 
| 1907.6 | 3.468 | 10.698 | 14.238 | 23.092 | 18.690 | 29.939 | 0.309 | 0.953 | 1.268 | 2.056 | 1.664 | 2.666 | 0.004 | 
| C-37 | 5.362 | 19.778 | 11.296 | 30.030 | 14.773 | 20.750 | 0.729 | 2.690 | 1.536 | 4.084 | 2.009 | 2.822 | 0.002 | 
| Sample | Lithofacies Facies | Parameters of HPMI Measurement | Parameters of NMR Measurement | ||||||||||||
|---|---|---|---|---|---|---|---|---|---|---|---|---|---|---|---|
| Pd (MPa) | r50 (μm) | (μm) | Sorting Coefficient | Skewness | Smax (%) | Entry Pressure (MPa) | rapex (μm) | ϕNMR (%) | T2cutoff (ms) | ϕBVI (%) | ϕFEI (%) | T2peak (ms) | T2gm (ms) | ||
| 1879.5 | CCF | 30.625 | 0.002 | 0.008 | 1.324 | 0.212 | 3.074 | 30.625 | 0.267 | 4.920 | 3.122 | 2.499 | 0.508 | 1.077 | 21.994 | 
| 1882.3 | CCF | 13.773 | 0.005 | 0.015 | 0.881 | 0.253 | 3.589 | 13.773 | 0.358 | 5.320 | 4.702 | 3.765 | 0.765 | 0.554 | 10.201 | 
| 1827.5 | CCF | 2.052 | 0.010 | 0.064 | 2.209 | 0.375 | 2.694 | 2.052 | 1.090 | 4.150 | 1.250 | 3.223 | 0.655 | 0.469 | 6.496 | 
| 1714.6 | MCTF | 2.753 | 0.062 | 0.083 | 1.974 | 0.008 | 6.903 | 2.753 | 0.036 | 7.468 | 3.917 | 4.044 | 0.822 | 1.138 | 4.835 | 
| 1713 | MCTF | 1.370 | 0.031 | 0.166 | 2.661 | 0.202 | 6.258 | 1.370 | 0.027 | 6.980 | 3.752 | 4.159 | 0.845 | 1.023 | 4.325 | 
| 1787.2 | ACMF | 0.675 | 0.155 | 0.208 | 2.125 | 2.744 | 2.459 | 0.675 | 1.078 | 7.684 | 14.650 | 4.537 | 0.922 | 0.397 | 6.207 | 
| C-36 | ACMF | 0.677 | 0.082 | 0.209 | 2.634 | 1.858 | 3.655 | 0.677 | 0.540 | 12.213 | 17.158 | 3.916 | 0.796 | 6.693 | 15.499 | 
| 1667.2 | QCDF | 0.672 | 0.027 | 0.220 | 2.832 | 0.948 | 3.787 | 0.672 | 0.134 | 8.162 | 11.895 | 3.677 | 0.747 | 1.677 | 41.876 | 
| 1672.5 | QCDF | 0.150 | 0.200 | 0.230 | 2.468 | 0.965 | 4.188 | 0.150 | 0.357 | 9.987 | 11.098 | 3.492 | 0.710 | 8.829 | 19.256 | 
| 1674.5 | QCDF | 0.138 | 0.399 | 0.230 | 3.444 | 1.567 | 2.857 | 0.138 | 0.542 | 10.050 | 16.832 | 3.379 | 0.687 | 18.644 | 27.054 | 
| 1907 | QCDF | 0.674 | 0.222 | 0.298 | 2.222 | 1.029 | 2.131 | 0.674 | 1.081 | 10.089 | 14.326 | 3.255 | 0.662 | 8.588 | 43.670 | 
| 1907.6 | QCDF | 0.100 | 0.220 | 0.629 | 3.000 | 1.664 | 2.666 | 0.100 | 0.359 | 6.634 | 16.058 | 3.624 | 0.737 | 1.724 | 22.075 | 
| C-37 | QCDF | 0.138 | 0.243 | 0.963 | 3.460 | 2.009 | 2.822 | 0.138 | 0.268 | 12.943 | 18.644 | 3.217 | 0.654 | 14.940 | 31.250 | 
| Sample | Lithofacies | Proportion of D1 (%) | K1 | D1 | R2D1 | Proportion of D2 (%) | K2 | D2 | R2D2 | rd | 
|---|---|---|---|---|---|---|---|---|---|---|
| 1879.5 | CCF | 78.950 | 1.138 | 1.862 | 0.705 | 21.050 | 0.051 | 2.950 | 0.871 | 0.268 | 
| 1882.3 | CCF | 91.230 | 1.245 | 1.755 | 0.790 | 8.770 | 0.018 | 2.982 | 0.843 | 1.079 | 
| 1827.5 | CCF | 88.800 | 1.201 | 1.799 | 0.718 | 11.200 | 0.016 | 2.984 | 0.825 | 1.106 | 
| 1714.6 | MCTF | 89.650 | 0.886 | 2.115 | 0.782 | 10.350 | 0.022 | 2.978 | 0.985 | 0.035 | 
| 1713 | MCTF | 92.694 | 0.760 | 2.240 | 0.705 | 7.306 | 0.006 | 2.994 | 0.736 | 0.027 | 
| 1787.2 | ACMF | 86.730 | 1.738 | 1.262 | 0.740 | 13.270 | 0.026 | 2.974 | 0.876 | 1.079 | 
| C-36 | ACMF | 78.228 | 1.866 | 1.134 | 0.755 | 21.772 | 0.058 | 2.942 | 0.822 | 0.532 | 
| 1667.2 | QCDF | 62.580 | 1.973 | 1.027 | 0.777 | 37.420 | 0.043 | 2.957 | 0.780 | 0.134 | 
| 1672.5 | QCDF | 70.980 | 1.472 | 1.528 | 0.740 | 29.020 | 0.029 | 2.971 | 0.718 | 0.362 | 
| 1674.5 | QCDF | 65.720 | 1.856 | 1.144 | 0.723 | 34.280 | 0.115 | 2.885 | 0.905 | 0.542 | 
| 1907 | QCDF | 71.900 | 1.404 | 1.596 | 0.739 | 28.100 | 0.033 | 2.968 | 0.839 | 1.100 | 
| 1907.6 | QCDF | 66.980 | 1.918 | 1.082 | 0.761 | 33.020 | 0.080 | 2.920 | 0.836 | 0.363 | 
| C-37 | QCDF | 49.143 | 2.281 | 0.719 | 0.798 | 50.857 | 0.160 | 2.840 | 0.905 | 0.268 | 
© 2019 by the authors. Licensee MDPI, Basel, Switzerland. This article is an open access article distributed under the terms and conditions of the Creative Commons Attribution (CC BY) license (http://creativecommons.org/licenses/by/4.0/).
Share and Cite
Zhou, T.; Wu, C.; Shi, Z.; Wang, J.; Zhu, W.; Yuan, B.; Yang, D. Multi-Scale Quantitative Characterization of Pore Distribution Networks in Tight Sandstone by integrating FE-SEM, HPMI, and NMR with the Constrained Least Squares Algorithm. Energies 2019, 12, 3514. https://doi.org/10.3390/en12183514
Zhou T, Wu C, Shi Z, Wang J, Zhu W, Yuan B, Yang D. Multi-Scale Quantitative Characterization of Pore Distribution Networks in Tight Sandstone by integrating FE-SEM, HPMI, and NMR with the Constrained Least Squares Algorithm. Energies. 2019; 12(18):3514. https://doi.org/10.3390/en12183514
Chicago/Turabian StyleZhou, Tianqi, Chaodong Wu, Zhongkui Shi, Jialin Wang, Wen Zhu, Bo Yuan, and Disheng Yang. 2019. "Multi-Scale Quantitative Characterization of Pore Distribution Networks in Tight Sandstone by integrating FE-SEM, HPMI, and NMR with the Constrained Least Squares Algorithm" Energies 12, no. 18: 3514. https://doi.org/10.3390/en12183514
APA StyleZhou, T., Wu, C., Shi, Z., Wang, J., Zhu, W., Yuan, B., & Yang, D. (2019). Multi-Scale Quantitative Characterization of Pore Distribution Networks in Tight Sandstone by integrating FE-SEM, HPMI, and NMR with the Constrained Least Squares Algorithm. Energies, 12(18), 3514. https://doi.org/10.3390/en12183514
        
