District Heating Network Demand Prediction Using a Physics-Based Energy Model with a Bayesian Approach for Parameter Calibration
Abstract
1. Introduction
2. Modelling of Building Heat Demand in a District
3. The Development of Model Calibration Approach
3.1. Bayesian Methodology
3.2. Emulator Design in General Gaussian Process Model
3.3. Model Calibration Process
4. Result and Discussion
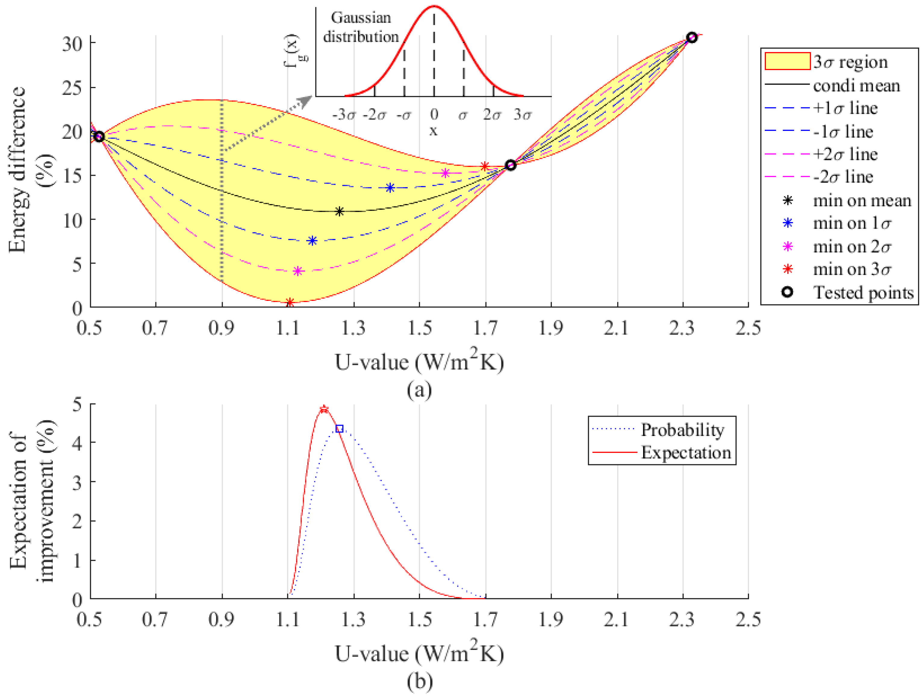
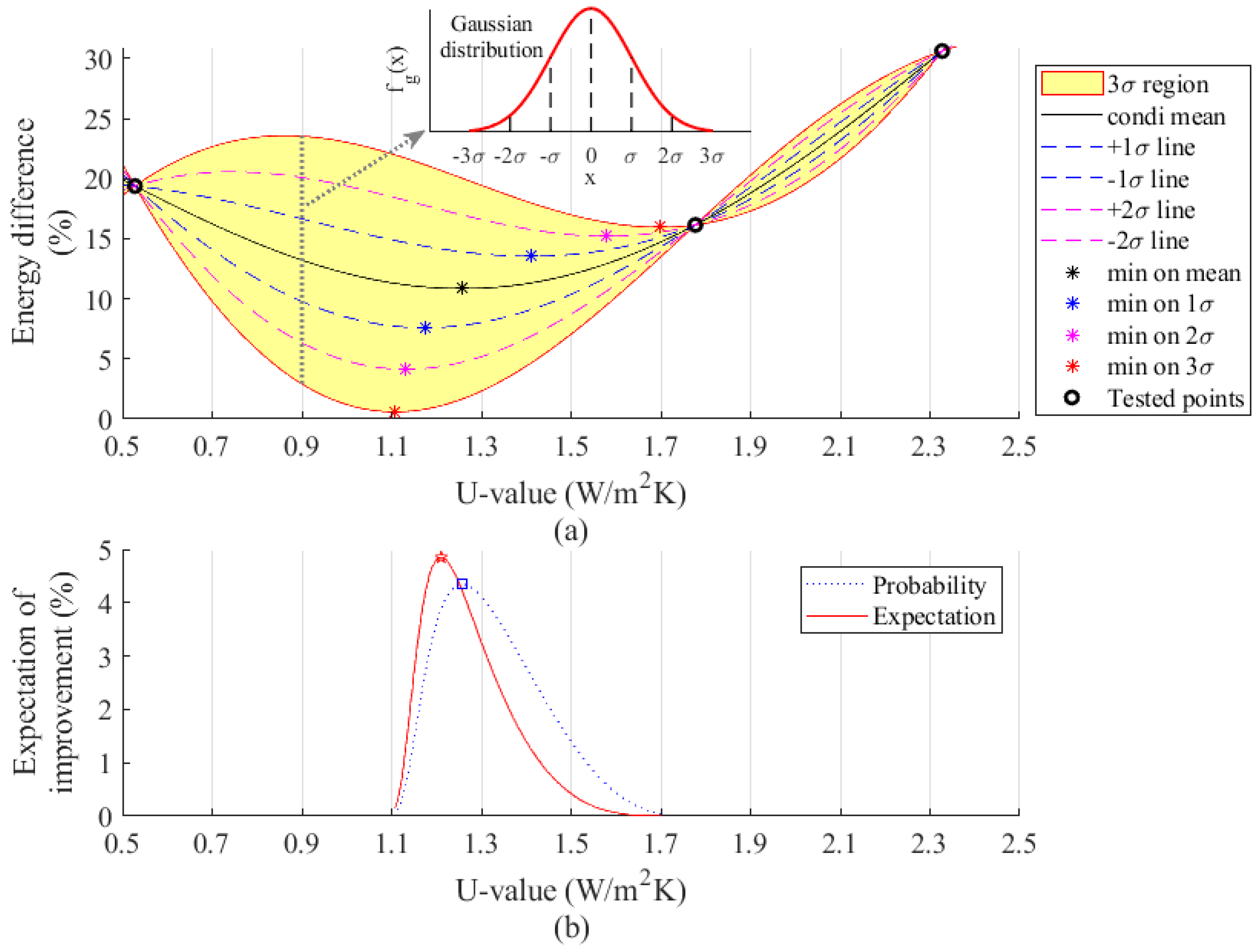
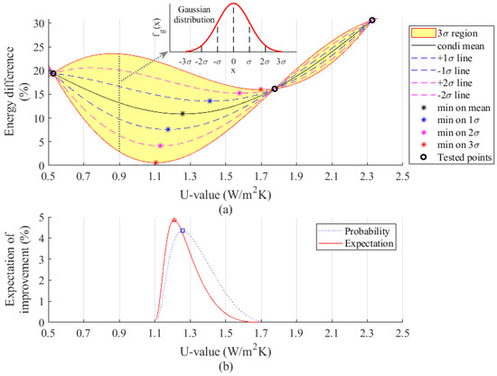
4.1. Wall Heat Resistance Coefficient Calibration
4.2. Dual-Parameters Calibration
4.3. Multi-Parameters Calibration
5. Conclusions
Author Contributions
Funding
Acknowledgments
Conflicts of Interest
References
- Heo, Y.; Choudhary, R.; Augenbroe, G. Calibration of building energy models for retrofit analysis under uncertainty. Energy Build. 2012, 47, 550–560. [Google Scholar] [CrossRef]
- Lund, H.; Andersen, A.N.; Østergaard, P.A.; Mathiesen, B.V.; Connolly, D. From electricity smart grids to smart energy systems—A market operation based approach and understanding. Energy 2012, 42, 96–102. [Google Scholar] [CrossRef]
- Kienzle, F.; Favre-Perrod, P.; Arnold, M.; Andersson, G. Multi-energy delivery infrastructures for the future. In Proceedings of the 2008 First International Conference on Infrastructure Systems and Services: Building Networks for a Brighter Future (INFRA), Rotterdam, The Netherlands, 10–12 November 2008. [Google Scholar]
- Wu, F.; Guo, Q.; Sun, H.; Pan, Z. Research on the optimization of combined heat and power microgrids with renewable energy. In Proceedings of the 2014 IEEE PES Asia-Pacific Power and Energy Engineering Conference (APPEEC), Hong Kong, China, 7–10 December 2014. [Google Scholar]
- Ozkahraman, H.T.; Bolatturk, A. The use of tuff stone cladding in buildings for energy conservation. Constr. Build. Mater. 2006, 20, 435–440. [Google Scholar] [CrossRef]
- Cøengel, Y. Heat and Mass Transfer: A Practical Approach; McGraw-Hill: New York, NY, USA, 2007. [Google Scholar]
- Fan, C.; Wang, J.; Gang, W.; Li, S. Assessment of deep recurrent neural network-based strategies for short-term building energy predictions. Appl. Energy 2019, 236, 700–710. [Google Scholar] [CrossRef]
- Bacher, P.; Madsen, H. Identifying suitable models for the heat dynamics of buildings. Energy Build. 2011, 43, 1511–1522. [Google Scholar] [CrossRef]
- Heo, Y.; Augenbroe, G.; Graziano, D.; Muehleisen, R.T.; Guzowski, L. Scalable methodology for large scale building energy improvement: Relevance of calibration in model-based retrofit analysis. Build. Environ. 2015, 87, 342–350. [Google Scholar] [CrossRef]
- Balaji, N.; Mani, M.; Reddy, B.V. Dynamic thermal performance of conventional and alternative building wall envelopes. J. Build. Eng. 2019, 21, 373–395. [Google Scholar] [CrossRef]
- Reddy, T.A. Literature Review on Calibration of Building Energy Simulation Programs: Uses, Problems, Procedures, Uncertainty, and Tools. ASHRAE Trans. 2006, 112, 226–240. [Google Scholar]
- Royapoor, M.; Roskilly, T. Building model calibration using energy and environmental data. Energy Build. 2015, 94, 109–120. [Google Scholar] [CrossRef]
- Raftery, P.; Keane, M.; O’Donnell, J. Calibrating whole building energy models: An evidence-based methodology. Energy Build. 2011, 43, 2356–2364. [Google Scholar] [CrossRef]
- Raftery, P.; Keane, M.; Costa, A. Calibrating whole building energy models: Detailed case study using hourly measured data. Energy Build. 2011, 43, 3666–3679. [Google Scholar] [CrossRef]
- Soebarto, V.I. Calibration of hourly energy simulations using hourly monitored data and monthly utility records for two case study buildings. In Proceedings of the Building Simulation, 5th International IBPSA Conference, Prague, Czech Republic, 8–10 September 1997. [Google Scholar]
- Bertagnolio, S. Evidence-Based Model Calibration for Efficient Building Energy Services. Ph.D. Thesis, Université de Liège, Liège, Belgium, 2012. [Google Scholar]
- Yang, Z.; Becerik-Gerber, B. A model calibration framework for simultaneous multi-level building energy simulation. Appl. Energy 2015, 149, 415–431. [Google Scholar] [CrossRef]
- Ruiz, G.R.; Bandera, C.F.; Temes, T.G.; Gutierrez, A.S. Genetic algorithm for building envelope calibration. Appl. Energy 2016, 168, 691–705. [Google Scholar] [CrossRef]
- Struck, C.; Hensen, J.; Kotek, P. On the application of uncertainty and sensitivity analysis with abstract building performance simulation tools. J. Build. Phys. 2009, 33, 5–27. [Google Scholar] [CrossRef]
- Eisenhower, B.; O’Neill, Z.; Fonoberov, V.; Mezic, I. Uncertainty and sensitivity decomposition of building energy models. J. Build. Perform. Simul. 2012, 5, 171–184. [Google Scholar] [CrossRef]
- Tindale, A. Third-order lumped-parameter simulation method. Build. Serv. Eng. Res. Technol. 1993, 14, 87–97. [Google Scholar] [CrossRef]
- Underwood, C. An improved lumped parameter method for building thermal modelling. Energy Build. 2014, 79, 191–201. [Google Scholar] [CrossRef]
- Aksoezen, M.; Daniel, M.; Hassler, U.; Kohler, N. Building age as an indicator for energy consumption. Energy Build. 2015, 87, 74–86. [Google Scholar] [CrossRef]
- Walker, R.; Pavía, S. Thermal performance of a selection of insulation materials suitable for historic buildings. Build. Environ. 2015, 94, 155–165. [Google Scholar] [CrossRef]
- Mustafaraj, G.; Marini, D.; Costa, A.; Keane, M. Model calibration for building energy efficiency simulation. Appl. Energy 2014, 130, 72–85. [Google Scholar] [CrossRef]
- Yang, S.; Pilet, T.; Ordonez, J. Volume element model for 3D dynamic building thermal modeling and simulation. Energy 2018, 148, 642–661. [Google Scholar] [CrossRef]
- Yuan, J.; Nian, V.; Su, B. A Meta Model Based Bayesian Approach for Building Energy Models Calibration. Energy Procedia 2017, 143, 161–166. [Google Scholar] [CrossRef]
- Yuan, J.; Nian, V.; Su, B.; Meng, Q. A simultaneous calibration and parameter ranking method for building energy models. Appl. Energy 2017, 206, 657–666. [Google Scholar] [CrossRef]
- Gao, H.; Koch, C.; Wu, Y. Building information modelling based building energy modelling: A review. Appl. Energy 2019, 238, 320–343. [Google Scholar] [CrossRef]
- Baker, P. U-Values and Traditional Buildings; Historic Scotland Conservation Group: Glasgow, UK, 2011. [Google Scholar]
- Balaji, N.; Mani, M.; Reddy, B.V. Discerning heat transfer in building materials. Energy Procedia 2014, 54, 654–668. [Google Scholar] [CrossRef]
- Evangelisti, L.; Guattari, C.; Gori, P.; Bianchi, F. Heat transfer study of external convective and radiative coefficients for building applications. Energy Build. 2017, 151, 429–438. [Google Scholar] [CrossRef]
- Masatin, V.; Latõšev, E.; Volkova, A. Evaluation factor for district heating network heat loss with respect to network geometry. Energy Procedia 2016, 95, 279–285. [Google Scholar] [CrossRef]
- Ullah, T.; Healy, W.M. The Effect of Piping Heat Losses on the Efficiency of Solar Thermal Water Heating in a Net-Zero Energy Home. In Proceedings of the 2015 ASHRAE Winter Conference, Chicago, IL, USA, 24–28 January 2015. [Google Scholar]
- Yan, D.; Zhe, T.; Yong, W.; Neng, Z. Achievements and suggestions of heat metering and energy efficiency retrofit for existing residential buildings in northern heating regions of China. Energy Policy 2011, 39, 4675–4682. [Google Scholar] [CrossRef]
- Vesterlund, M.; Sandberg, J.; Lindblom, B.; Dahl, J. Evaluation of losses in district heating system, a case study. In Proceedings of the International Conference on Efficiency, Cost, Optimization, Simulation and Environmental Impact of Energy Systems (ECOS 2013), Guilin, China, 16–19 July 2013. [Google Scholar]
- Bayarri, M.J.; Berger, J.O.; Paulo, R.; Sacks, J.; Cafeo, J.A.; Cavendish, J.; Lin, C.H.; Tu, J. A framework for validation of computer models. Technometrics 2007, 49, 138–154. [Google Scholar] [CrossRef]
- Kennedy, M.C.; O’Hagan, A. Bayesian calibration of computer models. J. R. Stat. Soc. Ser. B (Stat. Methodol.) 2001, 63, 425–464. [Google Scholar] [CrossRef]
- Robert, C.; Casella, G. Monte Carlo Statistical Methods; Springer Science & Business Media: Berlin/Heidelberg, Germany, 2013. [Google Scholar]
- Andrianakis, I.; Vernon, I.R.; McCreesh, N.; McKinley, T.J.; Oakley, J.E.; Nsubuga, R.N.; Goldstein, M.; White, R.G. Bayesian history matching of complex infectious disease models using emulation: A tutorial and a case study on HIV in Uganda. PLoS Comput. Biol. 2015, 11, e1003968. [Google Scholar] [CrossRef] [PubMed]
- Rasmussen, C.E. Gaussian processes in machine learning. In Summer School on Machine Learning; Springer: Berlin/Heidelberg, Germany, 2003. [Google Scholar]
- Scottish Government. Building Standards Technical Handbook 2019: Non-Domestic Buildings; Scottish Government: Edinburgh, UK, 2019.
- Campolongo, F.; Cariboni, J.; Saltelli, A. An effective screening design for sensitivity analysis of large models. Environ. Model. Software 2007, 22, 1509–1518. [Google Scholar] [CrossRef]












| Parameters | Value & Unit |
|---|---|
| Room heating set-point | 21.8 °C |
| Natural ventilation in air exchange | l/people/m2 |
| Occupant density of people | 2 m2/people |
| Internal gains of people | 90 W/people |
| Lighting and equipment power density | 45 W/m2 |
| Parameters | Iteration | Calibrated Range (W/m2K) | Range to Its Initial (%) | Suggested Value (W/m2K) | Prediction Error (%) |
|---|---|---|---|---|---|
| External wall U-value (W/m2K) | 0th | 0.5–2.5 | 100 | 1.75 | 16.24 |
| 1st | 1.1–1.7 | 28.2 | 1.2 | 8.16 | |
| 2nd | 1.1–1.28 | 9.1 | 1.15 | 8.27 | |
| 3rd | 1.21–1.25 | 1.9 | 1.24 | 8.11 |
| Parameters | Unit | Initial Range | Calibrated Range | Range to Its Initial (%) | Suggested Value |
|---|---|---|---|---|---|
| Wall U-value | W/m2K | 0.5–2.5 | 1.05–1.25 | 10 | 1.16 |
| Windows U-value | W/m2K | 2–6 | 3.2–4.2 | 25 | 3.8 |
| Roof U-value | W/m2K | 0.2–2.2 | 0.6–1.1 | 25 | 0.95 |
| Ground U-value | W/m2K | 0.2–0.9 | 0.4–0.7 | 43 | 0.55 |
| Internal U-value | W/m2K | 1.5–3.6 | 2.4–3 | 29 | 2.7 |
| Parameters | Monthly Prediction Error | Hourly Prediction Error |
|---|---|---|
| Before calibration | 16.3% | 18.5% |
| One parameter calibration | 8.02% | 15.4% |
| Two parameters calibration | 6.1% | 13.2% |
| Multi parameters calibration | 4.3% | 12.6% |
© 2019 by the authors. Licensee MDPI, Basel, Switzerland. This article is an open access article distributed under the terms and conditions of the Creative Commons Attribution (CC BY) license (http://creativecommons.org/licenses/by/4.0/).
Share and Cite
Chen, S.; Friedrich, D.; Yu, Z.; Yu, J. District Heating Network Demand Prediction Using a Physics-Based Energy Model with a Bayesian Approach for Parameter Calibration. Energies 2019, 12, 3408. https://doi.org/10.3390/en12183408
Chen S, Friedrich D, Yu Z, Yu J. District Heating Network Demand Prediction Using a Physics-Based Energy Model with a Bayesian Approach for Parameter Calibration. Energies. 2019; 12(18):3408. https://doi.org/10.3390/en12183408
Chicago/Turabian StyleChen, Si, Daniel Friedrich, Zhibin Yu, and James Yu. 2019. "District Heating Network Demand Prediction Using a Physics-Based Energy Model with a Bayesian Approach for Parameter Calibration" Energies 12, no. 18: 3408. https://doi.org/10.3390/en12183408
APA StyleChen, S., Friedrich, D., Yu, Z., & Yu, J. (2019). District Heating Network Demand Prediction Using a Physics-Based Energy Model with a Bayesian Approach for Parameter Calibration. Energies, 12(18), 3408. https://doi.org/10.3390/en12183408

