Thermal Performance of a PCM-Based Thermal Energy Storage with Metal Foam Enhancement
Abstract
1. Introduction
2. Physical Problem Description
3. Numerical Model Validation
4. Results and Discussion
4.1. Enhancement Performance of Metal Foam
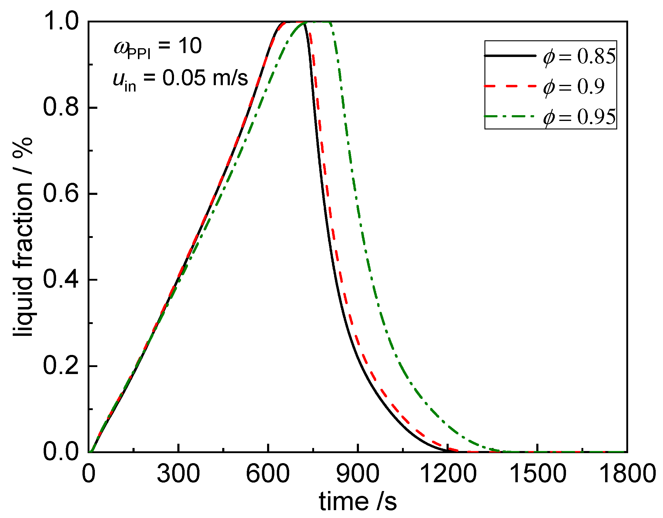
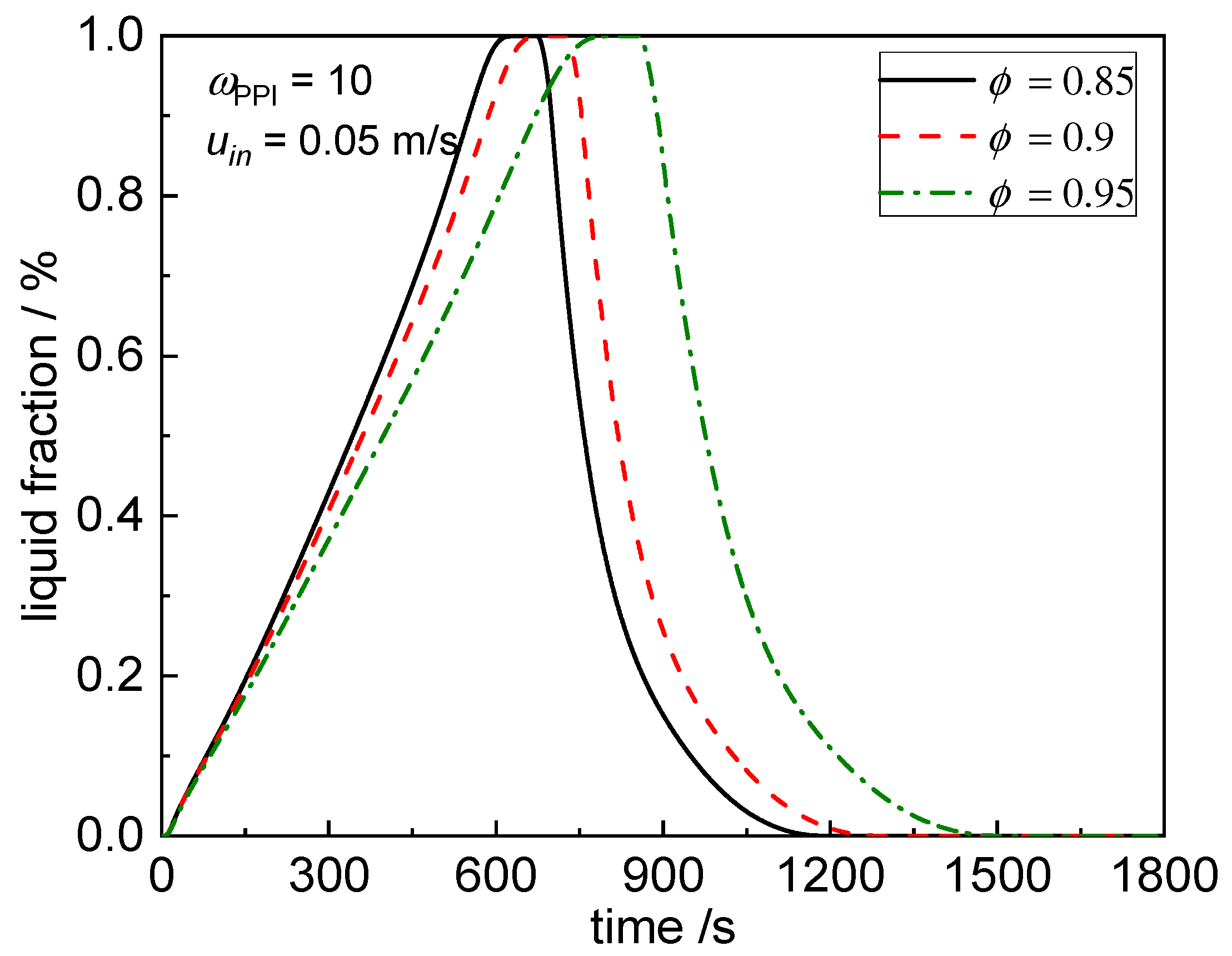
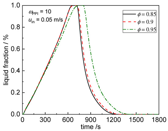
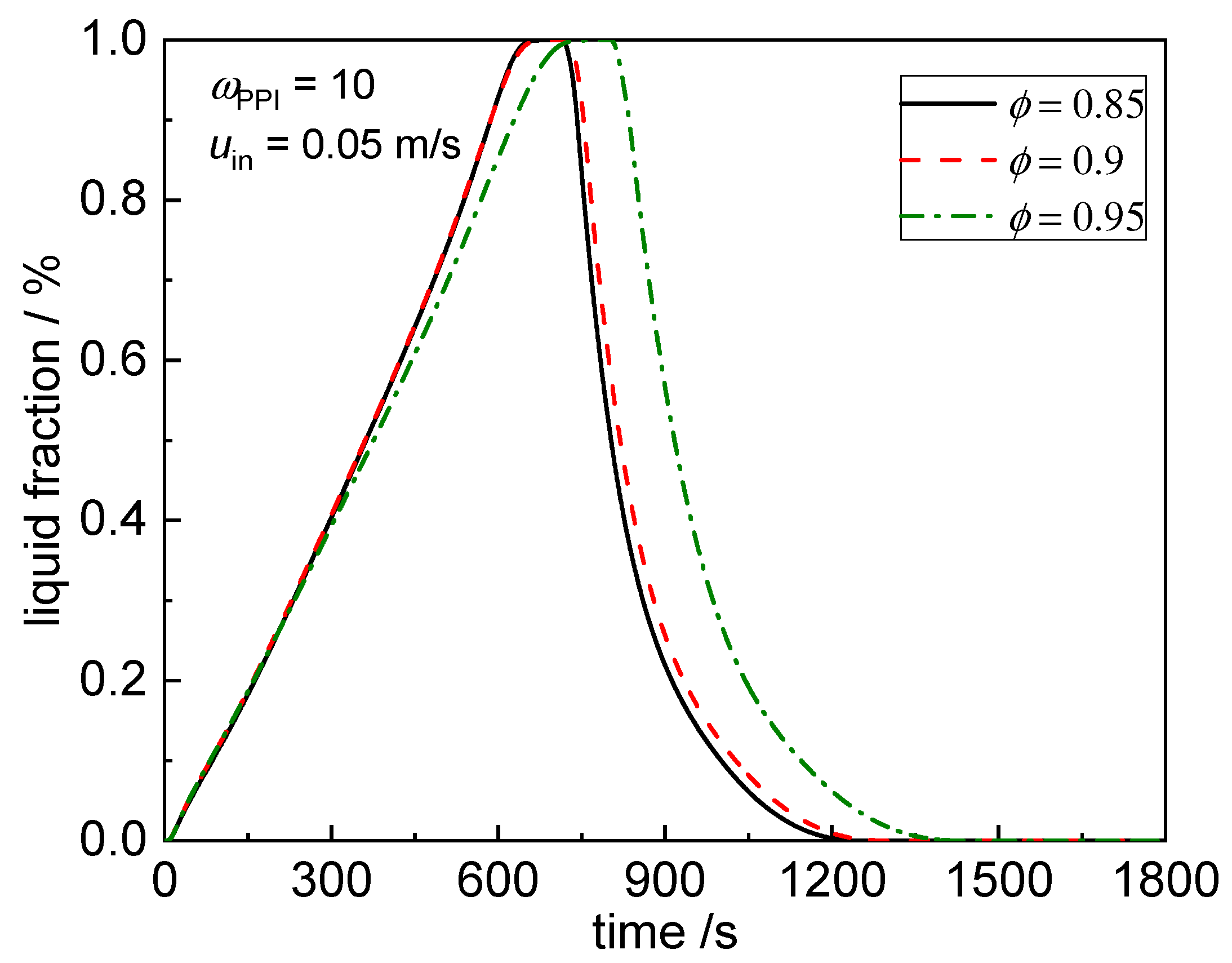
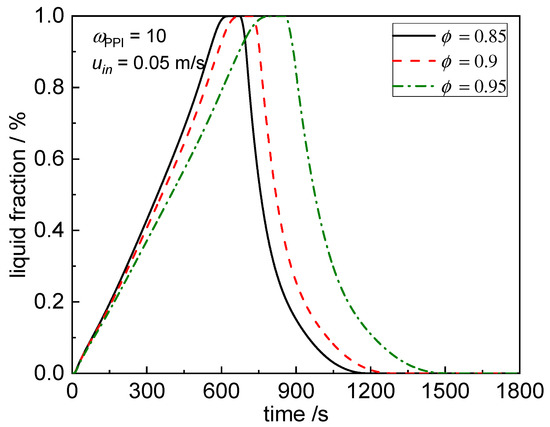
4.2. Effect of Foam Porosity
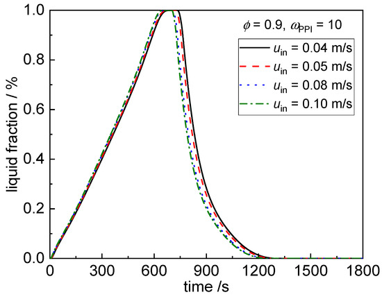
4.3. Effects of Inlet Conditions and Injection Side
5. Conclusions
Author Contributions
Funding
Conflicts of Interest
Nomenclature
| a,b,e | Geometric size of heat exchanger unit, m |
| asf | Specific surface area, m-1 |
| A | Mushy zone constant |
| c | Specific heat, J kg-1 K-1 |
| dp | Pore diameter, m |
| df | Ligament diameter, m |
| hsf | Interfacial heat transfer coefficient, W m-3 K-1 |
| k | Thermal conductivity, W m-1 K-1 |
| K | Permeability, m2 |
| CF | Inertial coefficient, m-1 |
| l | Length of heat exchanger, m |
| p | Pressure, Pa |
| Pr | Prandtl number |
| Red | Reynolds number |
| T | Temperature, K |
| Tliquidus | Liquidus temperature of the PCM, K |
| Tsolidus | Solidus temperature of the PCM, K |
| U | Velocity, m s-1 |
| x, y | Coordinates in computational region, m |
| Greek symbols | |
| β | Thermal expansion coefficient, K−1 |
| μf | Dynamic viscosity, kg m-1 s-1 |
| ρ | Density, kg m-3 |
| ϕ | Porosity |
| ωPPI | Pore in inch |
| δ | Liquid fraction in the porous medium |
| γ | Liquid fraction in the PCM |
| τ | Time, s |
| Subscripts | |
| eff | Effective |
| f | HTF (water) |
| p | PCM |
| in | Inlet |
| s | Solid |
| w | Wall |
References
- Lin, Y.; Jia, Y.; Alva, G.; Fang, G. Review on thermal conductivity enhancement, thermal properties and applications of phase change materials in thermal energy storage. Renew. Sustain. Energy Rev. 2018, 82, 2730–2742. [Google Scholar] [CrossRef]
- Yang, X.; Yu, J.; Guo, Z.; Jin, L.; He, Y.-L. Role of porous metal foam on the heat transfer enhancement for a thermal energy storage tube. Appl. Energy 2019, 239, 142–156. [Google Scholar] [CrossRef]
- Rehman, T.U.; Ali, H.M.; Janjua, M.M.; Sajjad, U.; Yan, W.M. A critical review on heat transfer augmentation of phase change materials embedded with porous materials/foams. Int. J. Heat Mass Transf. 2019, 135, 649–673. [Google Scholar] [CrossRef]
- Giovannelli, A.; Bashir, M.A. Charge and Discharge Analyses of a PCM Storage System Integrated in a High-Temperature Solar Receiver. Energies 2017, 10, 1943. [Google Scholar] [CrossRef]
- Li, D.; Ding, Y.; Wang, P.; Wang, S.; Yao, H.; Wang, J.; Huang, Y. Integrating Two-Stage Phase Change Material Thermal Storage for Cascaded Waste Heat Recovery of Diesel-Engine-Powered Distributed Generation Systems: A Case Study. Energies 2019, 12, 2121. [Google Scholar] [CrossRef]
- Zhao, Y.; You, Y.; Liu, H.; Zhao, C.; Xu, Z. Experimental study on the thermodynamic performance of cascaded latent heat storage in the heat charging process. Energy 2018, 157, 690–706. [Google Scholar] [CrossRef]
- Fleming, E.; Wen, S.; Shi, L.; Da Silva, A.K. Experimental and theoretical analysis of an aluminum foam enhanced phase change thermal storage unit. Int. J. Heat Mass Transf. 2015, 82, 273–281. [Google Scholar] [CrossRef]
- Zhang, P.; Xiao, X.; Ma, Z. A review of the composite phase change materials: Fabrication, characterization, mathematical modeling and application to performance enhancement. Appl. Energy 2016, 165, 472–510. [Google Scholar] [CrossRef]
- Zhao, C.; Lu, W.; Tian, Y. Heat transfer enhancement for thermal energy storage using metal foams embedded within phase change materials (PCMs). Sol. Energy 2010, 84, 1402–1412. [Google Scholar] [CrossRef]
- Cui, H. Experimental investigation on the heat charging process by paraffin filled with high porosity copper foam. Appl. Therm. Eng. 2012, 39, 26–28. [Google Scholar] [CrossRef]
- Lafdi, K.; Mesalhy, O.; Shaikh, S. Experimental study on the influence of foam porosity and pore size on the melting of phase change materials. J. Appl. Phys. 2007, 102, 83549. [Google Scholar] [CrossRef]
- Atal, A.; Wang, Y.; Harsha, M.; Sengupta, S. Effect of porosity of conducting matrix on a phase change energy storage device. Int. J. Heat Mass Transf. 2016, 93, 9–16. [Google Scholar] [CrossRef]
- Martinelli, M.; Bentivoglio, F.; Caron-Soupart, A.; Couturier, R.; Fourmigue, J.-F.; Marty, P. Experimental study of a phase change thermal energy storage with copper foam. Appl. Therm. Eng. 2016, 101, 247–261. [Google Scholar] [CrossRef]
- Yang, J.; Yang, L.; Xu, C.; Du, X. Experimental study on enhancement of thermal energy storage with phase-change material. Appl. Energy 2016, 169, 164–176. [Google Scholar] [CrossRef]
- Mahdi, J.M.; Nsofor, E.C. Melting enhancement in triplex-tube latent heat energy storage system using nanoparticles-metal foam combination. Appl. Energy 2017, 191, 22–34. [Google Scholar] [CrossRef]
- Mahdi, J.M.; Nsofor, E.C. Solidification enhancement in a triplex-tube latent heat energy storage system using nanoparticles-metal foam combination. Energy 2017, 126, 501–512. [Google Scholar] [CrossRef]
- Taghilou, M.; Sefidan, A.M.; Sojoudi, A.; Saha, S.C. Solid-liquid phase change investigation through a double pipe heat exchanger dealing with time-dependent boundary conditions. Appl. Therm. Eng. 2018, 128, 725–736. [Google Scholar] [CrossRef]
- Pourakabar, A.; Darzi, A.R. Enhancement of phase change rate of PCM in cylindrical thermal energy storage. Appl. Therm. Eng. 2019, 150, 132–142. [Google Scholar] [CrossRef]
- Liu, Z.; Yao, Y.; Wu, H. Numerical modeling for solid–liquid phase change phenomena in porous media: Shell-and-tube type latent heat thermal energy storage. Appl. Energy 2013, 112, 1222–1232. [Google Scholar] [CrossRef]
- Esapour, M.; Hamzehnezhad, A.; Darzi, A.A.R.; Jourabian, M. Melting and solidification of PCM embedded in porous metal foam in horizontal multi-tube heat storage system. Energy Convers. Manag. 2018, 171, 398–410. [Google Scholar] [CrossRef]
- Shahsavar, A.; Al-Rashed, A.A.; Entezari, S.; Sardari, P.T. Melting and solidification characteristics of a double-pipe latent heat storage system with sinusoidal wavy channels embedded in a porous medium. Energy 2019, 171, 751–769. [Google Scholar] [CrossRef]
- Kumar, A.; Saha, S.K. Latent heat thermal storage with variable porosity metal matrix: A numerical study. Renew. Energy 2018, 125, 962–973. [Google Scholar] [CrossRef]
- Lopez, J.P.A.; Kuznik, F.; Baillis, D.; Virgone, J. Numerical modeling and experimental validation of a PCM to air heat exchanger. Energy Build. 2013, 64, 415–422. [Google Scholar] [CrossRef]
- Chen, X.; Wang, F.; Han, Y.; Yu, R.; Cheng, Z. Thermochemical storage analysis of the dry reforming of methane in foam solar reactor. Energy Convers. Manag. 2018, 158, 489–498. [Google Scholar] [CrossRef]
- Li, W.; Qu, Z.; He, Y.; Tao, W. Experimental and numerical studies on melting phase change heat transfer in open-cell metallic foams filled with paraffin. Appl. Therm. Eng. 2012, 37, 1–9. [Google Scholar] [CrossRef]
- Zhang, H.J.; Zou, Z.P.; Li, Y.; Ye, J. Preconditioned Density-Based Algorithm for Conjugate Porous/Fluid/Solid Domains. Numer. Heat Transf. Part A Appl. 2011, 60, 129–153. [Google Scholar] [CrossRef]
- Chen, X.; Sun, C.; Xia, X.; Liu, R.; Wang, F. Conjugated heat transfer analysis of a foam filled double-pipe heat exchanger for high-temperature application. Int. J. Heat Mass Transf. 2019, 134, 1003–1013. [Google Scholar] [CrossRef]
- Calmidi, V.V.; Mahajan, R.L. Forced Convection in High Porosity Metal Foams. J. Heat Transf. 2000, 122, 557–565. [Google Scholar] [CrossRef]
- Boomsma, K.; Poulikakos, D. On the effective thermal conductivity of a three-dimensionally structured fluid-saturated metal foam. Int. J. Heat Mass Transf. 2001, 44, 827–836. [Google Scholar] [CrossRef]
- Krishnan, S.; Murthy, J.Y.; Garimella, S.V. A Two-Temperature Model for Solid-Liquid Phase Change in Metal Foams. J. Heat Transf. 2005, 127, 995–1004. [Google Scholar] [CrossRef]
- Fang, Y.; Niu, J.; Deng, S. Numerical analysis for maximizing effective energy storage capacity of thermal energy storage systems by enhancing heat transfer in PCM. Energy Build. 2018, 160, 10–18. [Google Scholar] [CrossRef]
















| Property | Paraffin RT 58 | Water | Cu | Stainless Steel |
|---|---|---|---|---|
| Density (kg m−3) | 840 | 998.2 | 8978 | 8030 |
| Specific heat (J kg−1 K−1) | 2100 | 4182 | 381 | 502.48 |
| Thermal conductivity (W m−1 K−1) | 0.2 | 0.6 | 387.6 | 16 |
| Dynamic viscosity (kg m−1 s−1) | 0.0269 | 0.001003 | − | − |
| Latent heat (kJ kg−1) | 181 | − | − | − |
| Thermal expansion coefficient (K−1) | 1.1 × 10−4 | − | − | − |
| Melting temperature range (K) (solidus and liquidus temperatures) | 321–335 | − | − | − |
| Case | Charging Time (s) | Discharging Time (s) | Total Time (s) |
|---|---|---|---|
| case (1) | 5174.5 | 3837.5 | 9012.0 |
| case (2) | 4704.0 | 3708.5 | 8412.5 |
| case (3) | 1200.5 | 1065.5 | 2266.0 |
| case (4) | 722.0 | 640.0 | 1362.0 |
| Foam porosity (fixed PCM mass) | charging time (s) | discharging time (s) | total time (s) |
| 0.85 | 711.5 | 620.0 | 1331.5 |
| 0.9 | 722.0 | 640.0 | 1362.0 |
| 0.95 | 799.5 | 689.0 | 1488.5 |
| Foam porosity (fixed TES volume) | charging time (s) | discharging time (s) | total time (s) |
| 0.85 | 670.0 | 594.0 | 1264.0 |
| 0.9 | 722.0 | 640.0 | 1362.0 |
| 0.95 | 852.5 | 724.5 | 1577.0 |
| Inlet velocity (m/s) | charging time (s) | discharging time (s) | total time (s) |
| 0.04 | 731.0 | 648.5 | 1379.5 |
| 0.05 | 722.0 | 640.0 | 1362.0 |
| 0.08 | 705.5 | 625.5 | 1331.0 |
| 0.1 | 699.5 | 620.0 | 1319.5 |
| Inlet temperature (K) | charging time (s) | discharging time (s) | total time (s) |
| 340 | 1186.0 | 636.5 | 1822.5 |
| 350 | 722.0 | 640.0 | 1362.0 |
| 360 | 532.5 | 643.5 | 1176.0 |
| Injection side | charging time (s) | discharging time (s) | total time (s) |
| Top injection | 722.0 | 640.0 | 1362.0 |
| Bottom injection | 677.0 | 642.5 | 1319.5 |
© 2019 by the authors. Licensee MDPI, Basel, Switzerland. This article is an open access article distributed under the terms and conditions of the Creative Commons Attribution (CC BY) license (http://creativecommons.org/licenses/by/4.0/).
Share and Cite
Chen, X.; Li, X.; Xia, X.; Sun, C.; Liu, R. Thermal Performance of a PCM-Based Thermal Energy Storage with Metal Foam Enhancement. Energies 2019, 12, 3275. https://doi.org/10.3390/en12173275
Chen X, Li X, Xia X, Sun C, Liu R. Thermal Performance of a PCM-Based Thermal Energy Storage with Metal Foam Enhancement. Energies. 2019; 12(17):3275. https://doi.org/10.3390/en12173275
Chicago/Turabian StyleChen, Xue, Xiaolei Li, Xinlin Xia, Chuang Sun, and Rongqiang Liu. 2019. "Thermal Performance of a PCM-Based Thermal Energy Storage with Metal Foam Enhancement" Energies 12, no. 17: 3275. https://doi.org/10.3390/en12173275
APA StyleChen, X., Li, X., Xia, X., Sun, C., & Liu, R. (2019). Thermal Performance of a PCM-Based Thermal Energy Storage with Metal Foam Enhancement. Energies, 12(17), 3275. https://doi.org/10.3390/en12173275
