Electrical Treeing in Power Cable Insulation under Harmonics Superimposed on Unfiltered HVDC Voltages
Abstract
:1. Introduction
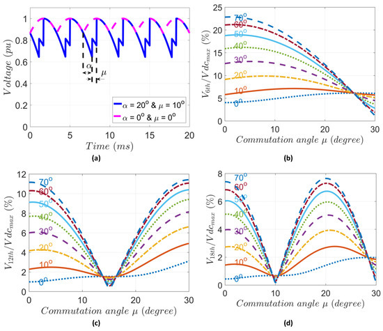
2. Superimposed Characteristic Harmonics
3. Sample Preparation
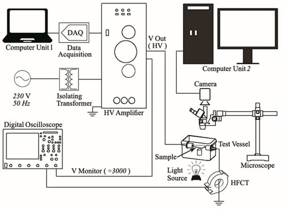
4. Experiment Setup and Test Procedure
5. Experimental Results
5.1. Electrical Treeing under Direct Current (DC) without Harmonic Voltage
5.2. Electrical Tree under Direct Current (DC) with Harmonic Voltages
5.3. Partial Discharge (PD) Activities under Direct Current (DC) with Harmonic Voltages
6. Discussion
7. Conclusions
Author Contributions
Funding
Conflicts of Interest
References
- Van Hertem, D.; Gomis-Bellmunt, O.; Liang, J. HVDC Grids: For Offshore and Supergrid of the Future, 1st ed.; John Wiley Sons Inc.: Hoboken, NJ, USA, 2016; ISBN 978-1-118-85915-5. [Google Scholar]
- Arrillaga, J. High Voltage Direct Current Transmission, 1st ed.; Institute of Electrical Engineering: London, UK, 1998; ISBN 13: 9780852969410. [Google Scholar]
- Fabiani, D.; Montanari, G. The Effect of Voltage Distortion on Ageing Acceleration of Insulation Systems under Partial Discharge Activity. IEEE Trans. Dielectr. Electr. Insul. 2001, 17, 24–33. [Google Scholar] [CrossRef]
- Liu, T.; Lv, Z.; Wang, Y.; Wu, K.; Dissado, L.; Peng, Z.; Li, R. A new method of estimating the inverse power law ageing parameter of XLPE based on step-stress tests. In Proceedings of the 2013 Annual Report Conference on Electrical Insulation and Dielectric Phenomena, Shenzhen, China, 20–23 Februery 2013; pp. 69–72. [Google Scholar]
- Dissado, L.A.; Fothergill, J.C. Electrical Degradation and Breakdown in Polymers, 1st ed.; Peter Peregrinus Ltd.: London, UK, 1992; ISBN 0863411967. [Google Scholar]
- Bozzo, R.; Gemme, C.; Guastavino, F.; Montanari, G.C. Investigation of aging rate in polymer films subjected to surface discharges under distorted voltage. In Proceedings of the IEEE 1997 Annual Report Conference on Electrical Insulation and Dielectric Phenomena, Minneapolis, MN, USA, 19–22 October 1997; Volume 2, pp. 435–438. [Google Scholar]
- Bahadoorsingh, S.; Rowland, S.M. Modeling of partial discharges in the presence of harmonics. In Proceedings of the 2009 IEEE Conference on Electrical Insulation and Dielectric Phenomena, Virginia Beach, VA, USA, 18–21 October 2009; pp. 384–387. [Google Scholar]
- Bodega, R.; Cavallini, A.; Morshuis, P.H.F.; Wester, F.J. The effect of voltage frequency on partial discharge activity. In Proceedings of the Annual Report Conference on Electrical Insulation and Dielectric Phenomena, Cancun, Mexico, 20–24 October 2002; pp. 685–689. [Google Scholar]
- Florkowski, M.; Florkowska, B.; Furga, J.; Zydron, P. Impact of high voltage harmonics on interpretation of partial discharge patterns. IEEE Trans. Dielectr. Electr. Insul. 2013, 20, 2009–2016. [Google Scholar] [CrossRef]
- Bahadoorsingh, S.; Rowland, S. Investigating the Impact of Harmonics on the Breakdown of Epoxy Resin through Electrical Tree Growth. IEEE Trans. Dielectr. Electr. Insul. 2010, 17, 1576–1584. [Google Scholar] [CrossRef]
- Xie, A.; Zheng, X.; Li, S.; Chen, G. Investigations of Electrical Trees in the Inner Layer of XLPE Cable Insulation Using Computer-Aided Image Recording Monitoring. IEEE Trans. Dielectr. Electr. Insul. 2010, 17, 685–693. [Google Scholar] [CrossRef]
- Sarathi, R.; Nandini, A.; Tanaka, T. Understanding electrical treeing phenomena in XLPE cable insulation under harmonic ac voltages adopting uhf technique. IEEE Trans. Dielectr. Electr. Insul. 2012, 19, 903–909. [Google Scholar] [CrossRef]
- Olsen, P.; Mauseth, F.; Ildstad, E. The Effect of DC Superimposed AC Voltage on Partial Discharges in Dielectric Bounded Cavities. In Proceedings of the International Conference on High Voltage Engineering and Application (ICHVE), Poznan, Poland, 8–11 September 2014; pp. 1–4. [Google Scholar]
- Klueter, T.; Wulff, J.; Jenau, F. Measurement and statistical analysis of partial discharges at DC voltage. In Proceedings of the 2013 48th International Universities’ Power Engineering Conference (UPEC), Dublin, Ireland, 2–5 September 2013; pp. 1–5. [Google Scholar]
- Cavallini, A.; Montanari, G.C.; Tozzi, M.; Chen, X. Diagnostic of HVDC systems using partial discharges. IEEE Trans. Dielectr. Electr. Insul. 2011, 18, 275–284. [Google Scholar] [CrossRef]
- British Standards Institution. IEC60270, High Voltage Test Techniques—Partial Discharge Measurements, 1st ed.; British Standards Institution: London, UK, 2000. [Google Scholar]
- Hamad, M.S.; Masoud, M.I.; Williams, B.W. Medium-voltage 12-pulse converter: Output voltage harmonic compensation using a series APF. IEEE Trans. Ind. Electron. 2014, 61, 43–52. [Google Scholar] [CrossRef]
- Kundur, P. Power System Stability and Control, 1st ed.; McGraw Hill: New York, NY, USA, 1994. [Google Scholar]
- Mircea, A.; Philip, M. HVDC Submarine Power Cables in the World. EUR 27527 EN, 1st ed.; Publications Office of the European Union: Luxembourg, 2015. [Google Scholar]
- Arrillaga, J.; Watson, N.R. Power System Harmonics, 2nd ed.; Wiley: Hoboken, NJ, USA, 2003. [Google Scholar]
- ASTM International. Standard Test Method for Evaluation of Resistance to Electrical Breakdown by Treeing in Solid Dielectric Materials Using Diverging Fields; ASTM D3756-97; ASTM International: West Conshohocken, PA, USA, 2010. [Google Scholar]
- Qi, X.; Boggs, S. Thermal and mechanical properties of EPR and XLPE cable compounds. IEEE Electr. Insul. Mag. 2006, 22, 19–24. [Google Scholar] [CrossRef]
- Fard, M.; Farrag, M.; McMeekin, S.; Reid, A. Electrical Treeing in Cable Insulation under Different HVDC Operational Conditions. Energies 2018, 11, 2406. [Google Scholar] [CrossRef]
- Azizian Fard, M.; Reid, A.J.; Hepburn, D.M.; Farrag, M.E. Partial discharge behavior under HVDC superimposed with transients. In Proceedings of the 51st International Universities Power Engineering Conference (UPEC), Coimbra, Portugal, 6–9 September 2016; pp. 1–5. [Google Scholar]
- Abramowitz, M.; Davidson, M.W. Microscope Objectives: Immersion Media. Olympus Microscopy Resource Center. Available online: http://www.olympusmicro.com/primer/anatomy/immersion.html (accessed on 10 January 2017).
- Babadi, S.; Ramirez-Iniguez, R.; Boutaleb, T.; Mallick, T. Performance comparison of a freeform lens and a CDTIRO when combined with an LED. IEEE Photonics J. 2017, 9, 1–8. [Google Scholar] [CrossRef]
- McMahon, E.J. A tutorial on treeing. IEEE Trans. Electr. Insul. 1978, 13, 277–288. [Google Scholar] [CrossRef]
- Ziyu, L.; Rongsheng, L.; Huiming, W.; Wenbin, L. Space charges and initiation of electrical trees. IEEE Trans. Electr. Insul. 1989, 24, 83–89. [Google Scholar] [CrossRef]
- Minoda, A.; Nagao, M.; Kosaki, M. Dc short-circuit treeing phenomenon and space charge effect in epr at cryogenic temperature. In Proceedings of the 5th International Conference on Properties and Applications of Dielectric Materials, Seoul, South Korea, 25–30 May 1997; Volume 1, pp. 426–429. [Google Scholar]
- Marzzanti, G.; Marzinotto, M. Extruded Cables for High Voltage Direct Current Transmission: Advance in Research and Development; Wiley-IEEE Press: Hoboken, NJ, USA, 2013; ISBN 978-1-118-09666-6. [Google Scholar]
- Mammeri, M.; Laurent, C.; Nedjar, M. Dynamics of voltage polarity reversal as the controlling factor in space-charge induced breakdown of insulating polymers. IEEE Trans. Dielectr. Electr. Insul. 1997, 4, 44–51. [Google Scholar] [CrossRef]
- Densley, R.J. An investigation into the growth of electrical trees in xlpe cable insulation. IEEE Trans. Electr. Insul. 1979, EI-14, 148–158. [Google Scholar] [CrossRef]
- Dissado, L.A.; Dodd, S.J.; Champion, J.V.; Williams, P.I.; Alison, J.M. Propagation of electrical tree structures in solid polymeric insulation. IEEE Trans. Dielectr. Electr. Insul. 1997, 4, 259–279. [Google Scholar] [CrossRef]












| Voltage Level (kV) | Positive DC | Negative DC |
|---|---|---|
| Percentage of Samples in Which ET’s Initiated (%) | Percentage of Samples in Which ET’s Initiated (%) | |
| 22.0 | 0 | 0 |
| 25.0 | 20 | 0 |
| 28.0 | 20 | 0 |
| Firing Angle (α) in Degrees | Positive DC | Negative DC |
|---|---|---|
| Percentage of Samples in Which ET’s Initiated (%) | Percentage of Samples in Which ET’s Initiated (%) | |
| 0 | 0 | 0 |
| 15 | 0 | 0 |
| 30 | 20 | 20 |
| 60 | 40 | 20 |
© 2019 by the authors. Licensee MDPI, Basel, Switzerland. This article is an open access article distributed under the terms and conditions of the Creative Commons Attribution (CC BY) license (http://creativecommons.org/licenses/by/4.0/).
Share and Cite
Azizian Fard, M.; Farrag, M.E.; Reid, A.; Al-Naemi, F. Electrical Treeing in Power Cable Insulation under Harmonics Superimposed on Unfiltered HVDC Voltages. Energies 2019, 12, 3113. https://doi.org/10.3390/en12163113
Azizian Fard M, Farrag ME, Reid A, Al-Naemi F. Electrical Treeing in Power Cable Insulation under Harmonics Superimposed on Unfiltered HVDC Voltages. Energies. 2019; 12(16):3113. https://doi.org/10.3390/en12163113
Chicago/Turabian StyleAzizian Fard, Mehrtash, Mohamed Emad Farrag, Alistair Reid, and Faris Al-Naemi. 2019. "Electrical Treeing in Power Cable Insulation under Harmonics Superimposed on Unfiltered HVDC Voltages" Energies 12, no. 16: 3113. https://doi.org/10.3390/en12163113
APA StyleAzizian Fard, M., Farrag, M. E., Reid, A., & Al-Naemi, F. (2019). Electrical Treeing in Power Cable Insulation under Harmonics Superimposed on Unfiltered HVDC Voltages. Energies, 12(16), 3113. https://doi.org/10.3390/en12163113

