A Structural Decomposition Analysis of China’s Consumption-Based Greenhouse Gas Emissions
Abstract
1. Introduction
2. Literature Review
3. Research Methods and Data Sources
3.1. Research Methods
3.1.1. Global MRIO Model
3.1.2. Global MRIO-SDA Method
3.2. Data Sources
4. Result and Discussion
4.1. The Realted Analysis of GHG Emissions in China
4.2. Composition of China’s Consumption-Based GHG Emissions
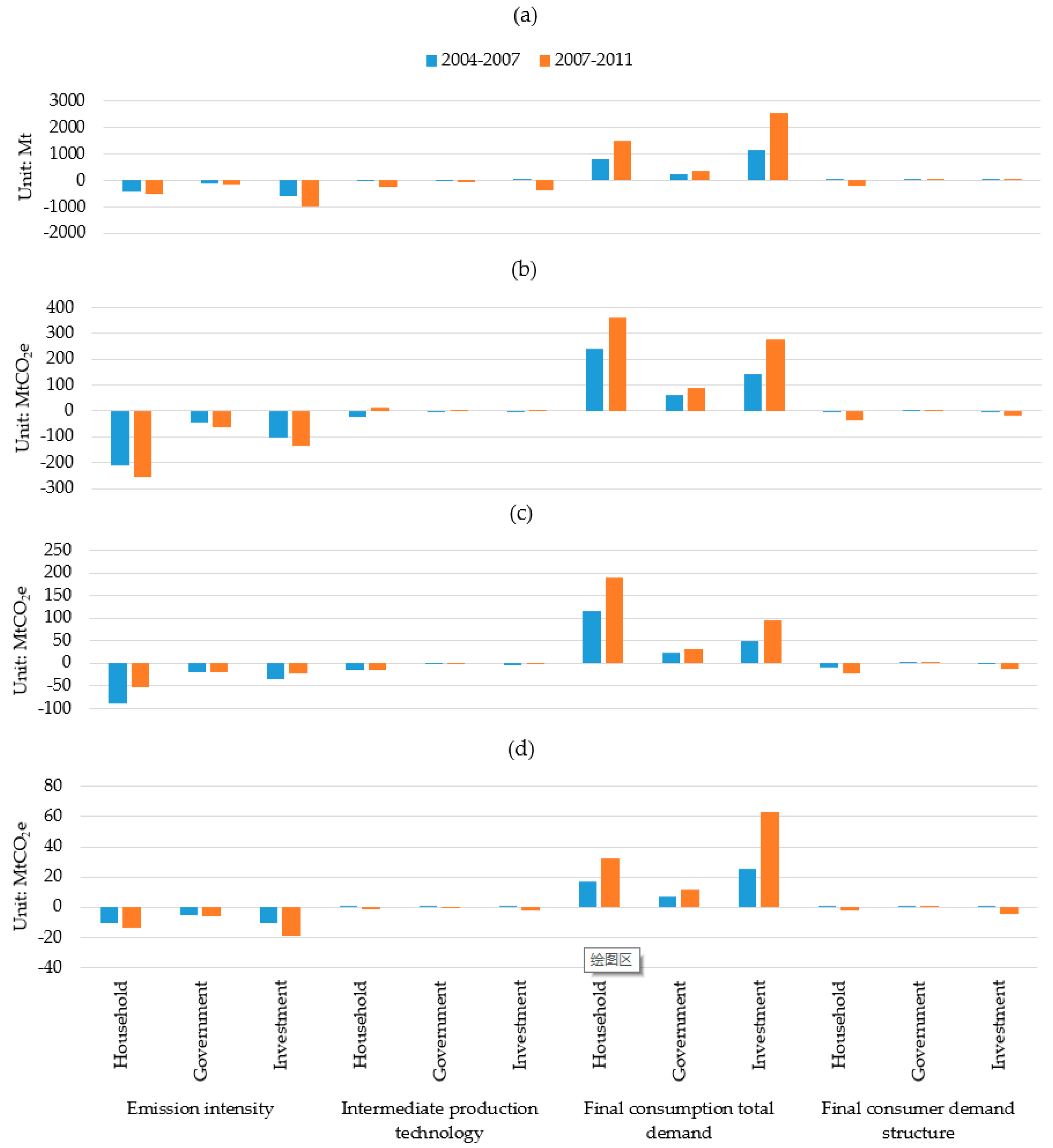
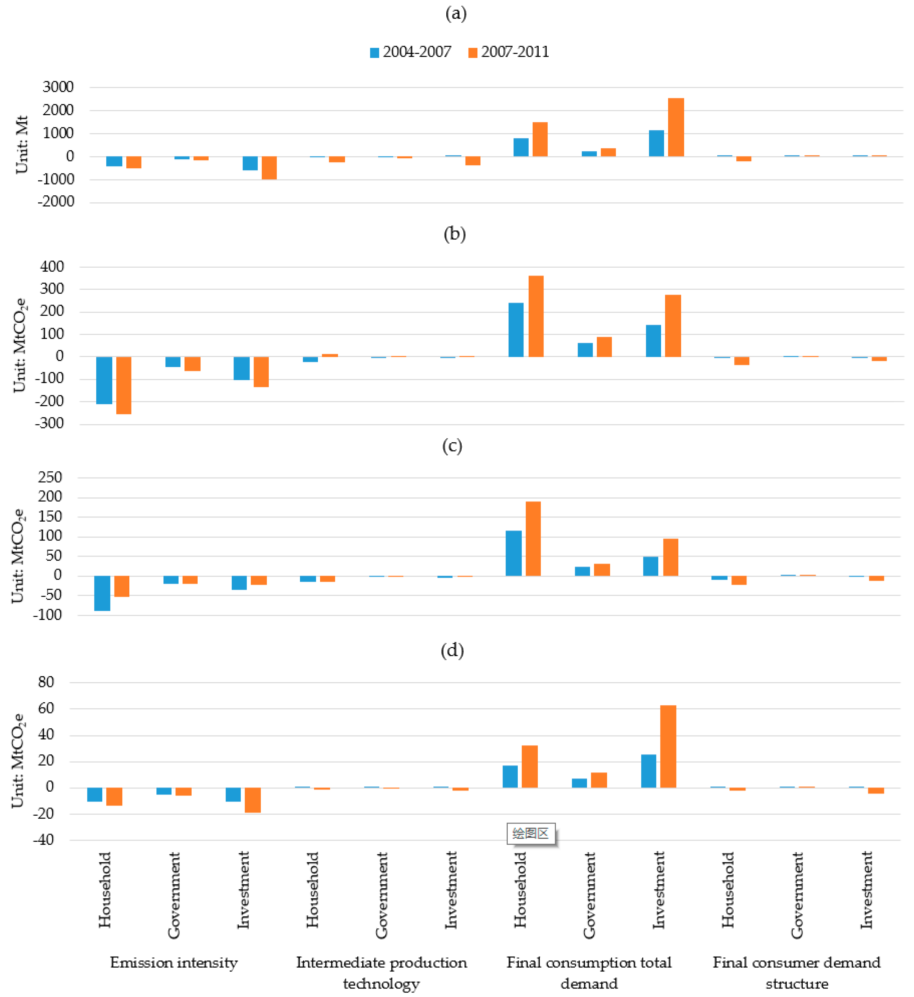
4.3. SDA of China’s Indirect Consumption-Based GHG Emissions
4.4. Discussion
5. Conclusions
Author Contributions
Funding
Acknowledgments
Conflicts of Interest
References
- United Nations. Climate Change. Available online: https://www.un.org/zh/sections/issues-depth/climate-change/index.html (accessed on 6 June 2019).
- Peters, G.P. From production-based to consumption-based national emission inventories. Ecol. Econ. 2008, 65, 13–23. [Google Scholar] [CrossRef]
- Södersten, C.-J.H.; Wood, R.; Hertwich, E.G. Endogenizing Capital in MRIO Models: The Implications for Consumption-Based Accounting. Environ. Sci. Technol. 2018, 52, 13250–13259. [Google Scholar] [CrossRef] [PubMed]
- Montzka, S.A.; Dlugokencky, E.J.; Butler, J.H. Non-CO2 greenhouse gases and climate change. Nature 2011, 476, 43–50. [Google Scholar] [CrossRef] [PubMed]
- Joint Research Centre/PBL Netherlands Environmental Assessment Agency (JRC/PBL). Global Emissions EDGAR v4.3.2. Available online: https://edgar.jrc.ec.europa.eu/overview.php?v=432_GHG&SECURE=123 (accessed on 29 June 2019).
- Mi, Z.; Zhang, Y.; Guan, D.; Shan, Y.; Liu, Z.; Cong, R.; Yuan, X.-C.; Wei, Y.-M. Consumption-based emission accounting for Chinese cities. Appl. Energy 2016, 184, 1073–1081. [Google Scholar] [CrossRef]
- Long, Y.; Yoshida, Y.; Dong, L. Exploring the indirect household carbon emissions by source: Analysis on 49 Japanese cities. J. Clean. Prod. 2017, 167, 571–581. [Google Scholar] [CrossRef]
- Mi, Z.-F.; Pan, S.-Y.; Yu, H.; Wei, Y.-M. Potential impacts of industrial structure on energy consumption and CO2 emission: A case study of Beijing. J. Clean. Prod. 2015, 103, 455–462. [Google Scholar] [CrossRef]
- Meng, J.; Mi, Z.; Yang, H.; Shan, Y.; Guan, D.; Liu, J. The consumption-based black carbon emissions of China’s megacities. J. Clean. Prod. 2017, 161, 1275–1282. [Google Scholar] [CrossRef]
- Feng, K.; Hubacek, K.; Sun, L.; Liu, Z. Consumption-based CO2 accounting of China’s megacities: The case of Beijing, Tianjin, Shanghai and Chongqing. Ecol. Indic. 2014, 47, 26–31. [Google Scholar] [CrossRef]
- Yang, T.; Liu, W. Inequality of household carbon emissions and its influencing factors: Case study of urban China. Habitat Int. 2017, 70, 61–71. [Google Scholar] [CrossRef]
- Guo, D.; Chen, H.; Long, R.; Ni, Y. An integrated measurement of household carbon emissions from a trading-oriented perspective: A case study of urban families in Xuzhou, China. J. Clean. Prod. 2018, 188, 613–624. [Google Scholar] [CrossRef]
- Wu, S.; Lei, Y.; Li, S. CO2 emissions from household consumption at the provincial level and interprovincial transfer in China. J. Clean. Prod. 2019, 210, 93–104. [Google Scholar] [CrossRef]
- Shao, L.; Li, Y.; Feng, K.; Meng, J.; Shan, Y.; Guan, D. Carbon emission imbalances and the structural paths of Chinese regions. Appl. Energy 2018, 215, 396–404. [Google Scholar] [CrossRef]
- Xia, Y.; Wang, H.; Liu, W. The indirect carbon emission from household consumption in China between 1995–2009 and 2010–2030: A decomposition and prediction analysis. Comput. Ind. Eng. 2019, 128, 264–276. [Google Scholar] [CrossRef]
- Zhang, B.; Chen, G.Q. Methane emissions by Chinese economy: Inventory and embodiment analysis. Energy Policy 2010, 38, 4304–4316. [Google Scholar] [CrossRef]
- Fang, X.; Hu, X.; Janssens-Maenhout, G.; Wu, J.; Han, J.; Su, S.; Zhang, J.; Hu, J. Sulfur Hexafluoride (SF6) Emission Estimates for China: An Inventory for 1990–2010 and a Projection to 2020. Environ. Sci. Technol. 2013, 47, 3848–3855. [Google Scholar] [CrossRef] [PubMed]
- Liu, Z.; Geng, Y.; Lindner, S.; Guan, D. Uncovering China’s greenhouse gas emission from regional and sectoral perspectives. Energy 2012, 45, 1059–1068. [Google Scholar] [CrossRef]
- Ang, B.W.; Zhang, F.Q. A survey of index decomposition analysis in energy and environmental studies. Energy 2000, 25, 1149–1176. [Google Scholar] [CrossRef]
- Ang, B.W.; Liu, N. Energy decomposition analysis: IEA model versus other methods. Energy Policy 2007, 35, 1426–1432. [Google Scholar] [CrossRef]
- Wang, H.; Ang, B.W.; Su, B. Assessing drivers of economy-wide energy use and emissions: IDA versus SDA. Energy Policy 2017, 107, 585–599. [Google Scholar] [CrossRef]
- Wang, H.; Ang, B.W.; Su, B. Multiplicative structural decomposition analysis of energy and emission intensities: Some methodological issues. Energy 2017, 123, 47–63. [Google Scholar] [CrossRef]
- Su, B.; Ang, B.W. Multiplicative structural decomposition analysis of aggregate embodied energy and emission intensities. Energy Econ. 2017, 65, 137–147. [Google Scholar] [CrossRef]
- Su, B.; Ang, B.W. Input–output analysis of CO2 emissions embodied in trade: The effects of spatial aggregation. Ecol. Econ. 2010, 70, 10–18. [Google Scholar] [CrossRef]
- Su, B.; Ang, B.W. Multi-region comparisons of emission performance: The structural decomposition analysis approach. Ecol. Indic. 2016, 67, 78–87. [Google Scholar] [CrossRef]
- Su, B.; Thomson, E. China’s carbon emissions embodied in (normal and processing) exports and their driving forces, 2006–2012. Energy Econ. 2016, 59, 414–422. [Google Scholar] [CrossRef]
- Chen, L. A Study on the Factors Affecting Carbon Emissions in China—Based on Input-Output Model. Sino-Glob. Energy 2013, 18, 17–22. [Google Scholar]
- Fan, X. Calculation of carbon emissions and research on reduction path in China. Ph.D. Thesis, Liaoning University, Shenyang, China, 2013. [Google Scholar]
- Fang, B.; Guan, D.; Liao, H.; Wei, Y. Empirical study of driver for China’s energy consumption: Evidencefrom an input-ouput based structure decomposition analysis. Math. Pract. Theory 2011, 2, 66–77. [Google Scholar]
- Guo, C.X. An analysis of the Increase of CO2 emission in China—Based on SDA technique. China Ind. Econ. 2010, 12, 47–56. [Google Scholar]
- Bian, X. The influencing factors and transfer mechanism of indirect CO2 emission caused by household consumption in China. Master Thesis, Beijing Institute of Technology, Beijing, China, 2016. [Google Scholar]
- Fu, J.; Li, C. Research on Measurement and Driving Factors of Indirect Energy Carbon Emissions from Chinese Residents—Panel data analysis based on STIRPAT model. Consum. Econ. 2015, 2, 92–96. [Google Scholar]
- Qu, J.; Liu, L.; Zeng, J.; Zhang, Z.; Wang, L.; Wang, Q. An Analysis on Driving Factors of China’s Urban and Rural Household Carbon Emissions. China Popul. Resour. Environ. 2014, 8, 33–41. [Google Scholar]
- Zhu, Q.; Peng, X.; Wu, K. Analysis on indirect carbon emissions from residential consumption in China based on the structural decomposition. J. Quant. Econ. Econ. Res. 2012, 1, 65–77. [Google Scholar]
- Huang, M.; Liu, J. An Empirical Study of Driving Factors in Growth of Embodied Carbon in Foreign Trade: Analysis Based on I-O SDA Model. Int. Trade Issues 2011, 4, 94–103. [Google Scholar] [CrossRef]
- Ji, J.; Ma, X. Structural Decomposition Analysis of China’s Greenhouse Gas Emission Growth. China Environ. Sci. 2011, 31, 2076–2082. [Google Scholar]
- Li, H. A study on carbon dioxide intensity in China based on comparable price IO-SDA model. Ph.D. Thesis, Southwestern University of Finance and Economics, Chengdu, China, 2014. [Google Scholar]
- Li, J. A weighted average decomposition method of SDA model and its application in Chinese tertiary industry development. Syst. Eng. 2004, 9, 69–73. [Google Scholar]
- Li, Y.; Fu, J. Structural decomposition analysis on carbon emissions growth embodied in exports in China. China Popul. Resour. Environ. 2010, 8, 53–57. [Google Scholar]
- Li, Y.; Yang, T. Structural Decomposition Analysis of Decline in CO2 Emissions Intensity in China: Input-output Analysis Based on the 1997 to 2007. Resour. Sci. 2011, 4, 605–611. [Google Scholar]
- Li, Y.; Zhang, L. Structural decomposition analysis of China’s indirect household energy consumption. Resour. Sci. 2008, 6, 890–895. [Google Scholar]
- Li, Y.; Zhang, L. Reason analysis of energy consumption increase and discussion of energy saving approach. China Popul. Resour. Environ. 2008, 3, 83–87. [Google Scholar]
- Ma, R. Carbon emission factors and machanism analysis based on structural decomposition analysis—A case study of Shandong Province. Master’s Thesis, Shandong University, Jinan, China, 2016. [Google Scholar]
- Meng, Y. Construction of Decomposition Analysis Model of Input-Output Spatial Structure. Stat. Decis. 2012, 19, 25–29. [Google Scholar]
- Song, H.; Wang, Z. Raising analytical function of input-output modelwite the technique of structural decomposition analysis. J. Quant. Econ. Econ. Res. 2004, 5, 109–112. [Google Scholar]
- Su, D. A study on urban residents’ income structure decomposition and tendency evolution. Commer. Res. 2013, 8, 195–201. [Google Scholar]
- Su, X. China’s Air Pollutant Emission Embodied in International Trade. Master’s Thesis, Tsinghua University, Beijing, China, 2013. [Google Scholar]
- Su, X.; He, K.; Zhang, Q. Air pollutant emissions embodied in China-US trade. Res. Environ. Sci. 2013, 9, 1022–1028. [Google Scholar]
- Wang, Z. Study on Calculation and Impact Factors of Carbon Emissions from residents’ consumption. Ph.D. Thesis, University of Science and Technology of China, Hefei, China, 2012. [Google Scholar]
- Wang, A.; Song, H. Paising Analytical function of input-output modelwite the technique of structural decomposition analysis. J. Hebei Univ. (Nat. Sci. Ed.) 2005, 25, 361–364. [Google Scholar] [CrossRef]
- Wang, L. Structure Decomposition of Embodied Carbon Emissions in China’s Trade and Analysis How to Develop Low-carbon Economy. Master’s Thesis, Tianjin University, Tianjin, China, 2012. [Google Scholar]
- Wang, L.; Wang, Y.; Mao, G.; Zhao, P. Structure Decomposition Analysis of Embodied Carbon Emissions for China’s International Trade. Resour. Sci. 2012, 12, 2382–2389. [Google Scholar]
- Yan, Y.; Yang, L. The impacting factors of China’s CO2 emissions embodied in exports. China Popul. Resour. Environ. 2010, 20, 48–52. [Google Scholar]
- Yao, L.; Liu, J.; Wang, R. The carbon emissions embodied in Chinese household consumption by the driving factors. Acta Ecol. Sin. 2011, 19, 5632–5637. [Google Scholar]
- Yu, D.; Gan, C.; Zheng, R. Industrial Linkages in China—An Empirical Research Based on Structural Decomposition Technique of Input-Output Model. China Ind. Econ. 2011, 11, 5–15. [Google Scholar]
- Zhang, W.; Xie, S. An Analysis of Influencing Factor on the Increase of CO2 Emission Because of Energy Consumption in Beijing—Based on Three-level Nested Method of I-O SDA Technique. J. Nat. Resour. 2013, 11, 1846–1857. [Google Scholar]
- Zhao, X.; Hong, D. Key Factors Affecting Energy Consumption in China: Based on Structure Decomposition Analysis. Technol. Econ. 2010, 29, 42–49. [Google Scholar]
- Wei, J.; Huang, K.; Yang, S.; Li, Y.; Hu, T.; Zhang, Y. Driving forces analysis of energy-related carbon dioxide) emissions in Beijing: An input–output structural decomposition analysis. J. Clean. Prod. 2017, 163, 58–68. [Google Scholar] [CrossRef]
- Chang, Y.F.; Lin, S.J. Structural decomposition of industrial CO2 emission in Taiwan: An input-output approach. Energy Policy 1998, 26, 5–12. [Google Scholar] [CrossRef]
- Peters, G.P.; Andrew, R.; Lennox, J. Constructing an environmentally-extended multi-regional input-output table using the GTAP database. Econ. Syst. Res. 2011, 23, 131–152. [Google Scholar] [CrossRef]
- Ding, N.; Liu, J.; Kong, Z.; Yan, L.; Yang, J. Life cycle greenhouse gas emissions of Chinese urban household consumption based on process life cycle assessment: Exploring the critical influencing factors. J. Clean. Prod. 2019, 210, 898–906. [Google Scholar] [CrossRef]
- The Second National Communication on Climate Change of the People’s Republic of China.pdf. Available online: http://data.ncsc.org.cn/portals/word-news-detail.html?column=statistical-report&&id=148744 (accessed on 29 June 2019).
- The People’s Republic of China First Biennial Update Report on Climate Change. Available online: https://unfccc.int/sites/default/files/resource/chnbur1.pdf (accessed on 29 June 2019).
- Zhang, B.; Zhao, X.; Wu, X.; Han, M.; Guan, C.H.; Song, S. Consumption-based accounting of global anthropogenic CH4 emissions. Earth’s Future 2018, 6, 1349–1363. [Google Scholar] [CrossRef]



| MtCO2e | Production-Based Emissions | Consumption-Based Emissions | Direct Household | Indirect Household | Investment | Direct Government | Indirect Government | |
|---|---|---|---|---|---|---|---|---|
| 2004 | CO2 | 4723.6 | 3582.3 | 358.1 | 1310.4 | 1606.1 | 0.0 | 307.6 |
| CH4 | 905.5 | 749.5 | 0.3 | 440.3 | 216.8 | 0.0 | 92.3 | |
| N2O | 385.6 | 322.6 | 1.0 | 211.7 | 74.8 | 0.0 | 36.2 | |
| F-gases | 130.2 | 74.4 | 0.0 | 28.6 | 35.1 | 0.0 | 10.7 | |
| GHG | 6144.9 | 4728.8 | 359.4 | 1991.1 | 1932.8 | 0.0 | 446.8 | |
| 2007 | CO2 | 6468.3 | 4853.1 | 441.1 | 1790.5 | 2196.5 | 0.0 | 425.0 |
| CH4 | 954.9 | 803.5 | 0.5 | 447.1 | 247.4 | 0.0 | 109.0 | |
| N2O | 387.6 | 335.5 | 1.2 | 215.0 | 81.9 | 0.0 | 38.5 | |
| F-gases | 187.3 | 100.3 | 0.0 | 35.9 | 51.0 | 0.0 | 13.4 | |
| GHG | 7998.0 | 6092.5 | 442.8 | 2488.6 | 2576.9 | 0.0 | 585.9 | |
| 2011 | CO2 | 8465.6 | 6969.5 | 590.9 | 2364.7 | 3466.4 | 0.0 | 547.5 |
| CH4 | 1112.0 | 1044.2 | 1.9 | 530.5 | 375.9 | 0.0 | 137.8 | |
| N2O | 558.3 | 506.5 | 1.5 | 314.5 | 141.8 | 0.0 | 50.2 | |
| F-gases | 172.3 | 159.2 | 0.0 | 52.0 | 88.3 | 0.0 | 18.9 | |
| GHG | 10,308.3 | 8679.4 | 594.3 | 3261.7 | 4072.3 | 0.0 | 754.5 | |
© 2019 by the authors. Licensee MDPI, Basel, Switzerland. This article is an open access article distributed under the terms and conditions of the Creative Commons Attribution (CC BY) license (http://creativecommons.org/licenses/by/4.0/).
Share and Cite
Gao, H.; Gu, A.; Wang, G.; Teng, F. A Structural Decomposition Analysis of China’s Consumption-Based Greenhouse Gas Emissions. Energies 2019, 12, 2843. https://doi.org/10.3390/en12152843
Gao H, Gu A, Wang G, Teng F. A Structural Decomposition Analysis of China’s Consumption-Based Greenhouse Gas Emissions. Energies. 2019; 12(15):2843. https://doi.org/10.3390/en12152843
Chicago/Turabian StyleGao, Haidi, Alun Gu, Gehua Wang, and Fei Teng. 2019. "A Structural Decomposition Analysis of China’s Consumption-Based Greenhouse Gas Emissions" Energies 12, no. 15: 2843. https://doi.org/10.3390/en12152843
APA StyleGao, H., Gu, A., Wang, G., & Teng, F. (2019). A Structural Decomposition Analysis of China’s Consumption-Based Greenhouse Gas Emissions. Energies, 12(15), 2843. https://doi.org/10.3390/en12152843

