Next Article in Journal
Diesel Mean Value Engine Modeling Based on Thermodynamic Cycle Simulation Using Artificial Neural Network
Next Article in Special Issue
Sensitivity of Axial Velocity at the Air Gap Entrance to Flow Rate Distribution at Stator Radial Ventilation Ducts of Air-Cooled Turbo-Generator with Single-Channel Ventilation
Previous Article in Journal
The Self-Degradation Mechanism of Polyvinyl Chloride-Modified Slag/Fly Ash Binder for Geothermal Wells
Previous Article in Special Issue
Ancillary Services Provided by Hybrid Residential Renewable Energy Systems through Thermal and Electrochemical Storage Systems
 
 
Font Type:
Arial Georgia Verdana
Font Size:
Aa Aa Aa
Line Spacing:
Column Width:
Background:
Article

Estimation of the Biot Number Using Genetic Algorithms: Application for the Drying Process

by
Krzysztof Górnicki
*,
Radosław Winiczenko
and
Agnieszka Kaleta
Department of Fundamental Engineering, Warsaw University of Life Sciences, Nowoursynowska 164 St., 02-787 Warsaw, Poland
*
Author to whom correspondence should be addressed.
Energies 2019, 12(14), 2822; https://doi.org/10.3390/en12142822
Submission received: 28 May 2019 / Revised: 11 July 2019 / Accepted: 17 July 2019 / Published: 22 July 2019
(This article belongs to the Special Issue Heat and Mass Transfer in Energy Systems)

Abstract

The Biot number informs researchers about the controlling mechanisms employed for heat or mass transfer during the considered process. The mass transfer coefficients (and heat transfer coefficients) are usually determined experimentally based on direct measurements of mass (heat) fluxes or correlation equations. This paper presents the method of Biot number estimation. For estimation of the Biot number in the drying process, the multi-objective genetic algorithm (MOGA) was developed. The simultaneous minimization of mean absolute error (MAE) and root mean square error (RMSE) and the maximization of the coefficient of determination R2 between the drying model and experimental data were considered. The Biot number can be calculated from the following equations: Bi = 0.8193exp(−6.4951T−1) (and moisture diffusion coefficient from D/s2 = 0.00704exp(−2.54T−1)) (RMSE = 0.0672, MAE = 0.0535, R2 = 0.98) or Bi = 1/0.1746log(1193847T) (D/s2 = 0.0075exp(−6T−1)) (RMSE = 0.0757, MAE = 0.0604, R2 = 0.98). The conducted validation gave good results.

1. Introduction

The dimensionless Biot number (Bi) is present in partial differential equations in cases when the surface boundary conditions (of the third kind) are written in a dimensionless form. The Biot number informs researchers about the relationship between the internal and external fluxes [1]. As far as heat transfer is concerned, Bi expresses the ratio between the internal and external resistances [2]. Therefore, it can be stated that the heat Biot number is a measure of the temperature drop in the material with respect to the difference of the temperatures between the solid surface and the surrounding medium [3]. Assuming similarity between heat and mass transfer, the Biot number used for mass exchange is gained by equating internal and external mass fluxes at the interface [3,4] and the discussed number is defined as follows:
B i = h m L D ,
The analysis of Biot numbers enables researchers to answer questions regarding the controlling mechanisms employed for heat or mass transfer during the considered process [3]. Dincer [3] stated that the values of Bi for mass transfer can be divided into the following groups:
Bi < 0.1 (the surface resistance across the surrounding medium boundary layer is much bigger in comparison with the internal resistance to the mass diffusion within the solid body);
0.1 < Bi < 100 (the values of the internal and external resistance can be treated as comparable);
Bi > 100 (external (surface) resistance is much lower than the internal resistance).
Ruiz-López et al. [5,6] assumed that for Bi > 40, it can be accepted that the internal resistance to mass exchange is the only mechanism controlling the rate of the drying process. In such a case, the moisture content of the solid body surface reaches its equilibrium value at once. Wu and Irudayaraj [7] experimentally stated that drying can only be treated as an isothermal process for very low Biot numbers.
The mass transfer coefficients (and heat transfer coefficients) are usually determined experimentally based on direct measurements of mass (heat) fluxes or correlation equations. The mass transfer coefficient can also be calculated from the dimensionless Sherwood number (Sh). The Sh can be expressed as a function of the Reynolds number (Re) and the Schmidt number (Sc) (forced convection), as a function of the Grashof number (mass) (Grm) and the Sc (natural convection), and as a function of the Archimedes number (Ar) and the Sc (vacuum-microwave drying) [8].
The importance of the heat and mass Biot number has been shown in several publications. Rovedo et al. [4] analysed the drying process of shrinking potato slabs. The numerical solving of the drying model using various forms of Bi gave a deeper insight into the process. Huang and Yeh [9] considered an inverse problem in simultaneously estimating the heat and mass Biot numbers during the drying of a porous material. Dincer and Hussain [10] developed a new Biot number and lag factor correlation, which gave good agreement between the predicted and measured values of moisture content. Chen and Peng [11] analysed the values of modified Biot numbers during hot air drying of small, moist, and porous objects. Giner et al. [1] considered the variableness of heat and mass Bi during the drying of wheat and apple-leather, whereas Xie et al. [12] modelled the pulsed vacuum drying of rhizoma dioscoreae slices using the Dincer model [13], which describes the moisture ratio with a correlation between Bi and the lag factor.
An accurate estimation of the Biot number is essential for an efficient heat and mass transfer analysis, leading to optimum operating conditions and an efficient process.
The aim of the multi-objective optimization task is to optimize the several objective functions simultaneously with many criteria. These issues have long been of interest to researchers using traditional optimization and search techniques. In the case of multi-criteria optimization, the concept of the optimal solution is not as obvious as in the case of one criterion. If we do not agree in advance to compare the values of different criteria, then we must propose a definition of optimality that respects the integrity of each of them. This approach is called optimality in the Pareto sense. It is convenient to classify possible solutions of multi-criteria optimization tasks as dominated and non-dominated (Pareto-optimal) solutions.
Multi-criteria optimization of drying technology is used for conveyer-belt dryer design [14,15], fluidized bed dryers [16,17], control of a drying process [18], batch drying of rice [19], and drying [20] and rehydrated apple issue [21]. Non-preference multi-criterion optimization methods with the Pareto-optimal set were used in the papers [14,15,16,17]. The researchers developed a mathematical model of the fluidized bed dryer and determined the colour deterioration laws for potato slices. A multi-criterion optimization of the thermal processing was conducted by [22] and [23]. The authors developed an intelligent hybrid method for identifying the optimal processing conditions. The complex method applied to different shapes was subjected to the processing boundary conditions to find the best process temperature and to maximize the retention of thiamine. Winiczenko et al. predicted the quality indicators of the drying [20] and rehydrated [21] apple issue using a non-sorting genetic algorithm.
The aim of the present study is to determine the Biot number using the genetics algorithm (GA). The method is applied in the process of drying.

2. Materials and Methods

2.1. Material

The research material was parsley roots of the Berlińska variety. The parsley roots were purchased at a local market in Warsaw. The material was cut into 6 mm thick slices, which were dried in natural convection conditions at the temperatures of 40, 50, 60, and 70 °C.
A detailed description of the equipment used, measurements performed, and their accuracy may be found in [24].

2.2. Moisture Transfer Analysis

It can be assumed that the moisture movement inside the dried solid body is only a diffusion movement in the convection drying of food products. The unsteady-state, one-dimensional mass exchange equation within a slice (treated as an infinite plane) of a thickness of 2 s can be expressed in the following form [25]:
M t = D 2 M x 2   ( t   >   0 ;   s <   x   <   s ) .
The following common assumptions were taken in Equation (2):
  • Shape and volume of the slice do not change during drying;
  • Mass diffusion coefficient is constant;
  • Equation (2) is subjected to the following conditions:
Moisture content at any point of the slice is the same at the beginning of drying (initial condition):
M ( x , 0 ) = M 0 = const ,
The mass flux from the surface of the slice is expressed in terms of the moisture content difference between the surface and the equilibrium moisture content (boundary conditions of the third kind):
± D M ( ± s , t ) x = k [ M ( ± s , t ) M e ] ,
An analytical solution of Equation (2) at the initial condition in the form of Equation (3) and at the boundary conditions given by Equation (4) with respect to the mean moisture content as function of time can be written in the following form [25]:
M R = M M e M 0 M e = i = 1 B i exp [ μ i 2 D s 2 t ] ,
where
B i = 2 B i 2 μ i 2 B i 2 + B i + μ i 2 ,
c t g μ i = 1 B i μ i ,
The Biot number in Equations (6) and (7) was assumed to be dependent on the temperature using the following formulas:
B i = a b exp ( b b T ) ,
B i = a b ln ( b b T ) ,
B i = a b log ( b b T ) ,
B i = a b ln ( T ) + b b ,
B i = a b T b b ,
B i = 1 a b ln ( b b T ) ,
B i = 1 a b log ( b b T ) ,
B i = 1 a b exp ( b b T ) ,
Dependencies (8a)–(8d) indicate the increase of the Biot number with the increase of the temperature, whereas dependencies (8e)–(8h) indicate the decrease of Bi with the increase of the temperature (i.e., [26]).
The moisture diffusion coefficient in Equation (5) was assumed to be dependent on the temperature using the following formula (i.e., [27,28]):
D s 2 = a d exp ( b d T )
An increase of the temperature according to Equation (9) results in a increase of the moisture diffusion coefficient.

2.3. Optimization

The optimization problem has been divided into two tasks. The first multi-objective optimization (MOO) task was to determine a Biot number and mass diffusion coefficient from the moisture ratio (MR) model (5) for each drying temperature: 40, 50, 60, and 70 °C. The second optimization task was to find the constants in equations for calculation of the Biot number (8a)–(8h) and mass diffusion coefficient (9).
The mean absolute error (MAE) and root mean square error (RMSE) were minimized, whereas the coefficient of determination R2 was maximized for the difference between the data and objective function for both optimized tasks. The algorithm randomly selects a set of models by minimizing the error between the proposed model and experimental data. Then, it evolves them to create the best fit. Therefore, the MOO problem was expressed as follows:
Min = { Min   RMSE = 1 N i = 1 N ( M R pred M R exp ) 2 Min   MAE = 1 N i = 1 N | M R pred M R exp | Max   R 2 = 1 i = 1 N ( M R pred M R exp ) 2 i = 1 N ( M R pred M R ¯ exp ) 2 .
The multi-objective optimization was carried out using an elitist, non-dominated sorting genetic algorithm (NSGA II). The Pareto front for this problem was created using Optimization Toolbox™ realized in MATLAB R2018. The multi-objective genetic algorithm (MOGA) options are shown in Table 1.

3. Results

3.1. Case 1. Optimizaton of the Biot Number

The results of optimization described by Equation (10) are presented in Table 2 and Figure 1 and Figure 2. The Pareto set of the Biot number for the T of 40 °C indicates that in the case of searching for the smallest values of RMSE, the best solution is ID 40_1 (0.04441). For ID 40_2, the value of R2 is the greatest (0.9937). The solution of MAE minimization is ID 40_5 (0.03652). The set of the best solutions for 40 °C (marked in Figure 1) indicates the greatest dispersion of solutions compared with the best solutions for other drying temperatures examined. The Biot number determined for the drying temperature of 50 °C has the smallest RMSE for ID 50_1 (0.03731). The value of R2 is the greatest for ID 50_2 (0.9955). The solution of MAE minimization is ID 50_3 (0.03228). The dispersion of the best solutions is smaller than for the temperature of 40 °C (Figure 1), and the solutions are characterised by the best statistics. The Biot number determined for the drying temperature of 60 °C has the smallest RMSE for ID 60_1 and 60_2 (0.04072–0.04073, difference 0.00001). For ID 60_4, the value of R2 is the greatest (0.9948). The solution of MAE minimization is ID 60_4 i 60_3 (0.03640 and 0.03641, difference 0.00001). The set of best solutions for 60 °C (Figure 1) is characterised by small (the smallest) dispersion. The Biot number determined for the drying temperature of 70 °C has the smallest RMSE and the greatest R2 for ID 70_1–70_3 (0.03888–0.03889 and 0.9943, respectively). The solution of MAE minimization is ID 70_4 (0.03420), with the solutions for ID 70_5, 70_2, 70_3, and 70_1 being slightly worse (0.03424, 0.03427, 0.03428, and 0.03429, difference 0.00009). The set of best solutions for 70 °C (Figure 1) is only characterised by a very small amount of dispersion when the MAE minimization criterion is not considered.
The values of the Biot numbers obtained as a result of optimization for the temperature of 40 °C (ID 40_1–40_5) are within the range of 0.723–0.755; for 50 °C (ID 50_1–50_3), are within the range of 0.701–0.725; for 60 °C (ID 60_1–60_4), are within the range of 0.700–0.709; for 70 °C (ID 70_1–70_3), are within the range of 0.700–0.701; and including the MAE criterion (ID 70_1–70_5), are within the range of 0.679–0.701. The smallest RMSE (0.0373) and MAE (0.0323) were obtained for T = 50 °C, whereas the greatest errors for were obtained for T = 40 °C. The results of optimization indicate that, initially, the Biot number does not change (or changes slightly) with the increase of temperature (40–50 °C), followed by the decrease in its value (50–70 °C). The obtained results of optimization also indicate that the increase of T results in the increase of the moisture diffusion coefficient (i.e., [26,28]) (Table 2).
In accordance with Equations (5)–(7), the value of the calculated reduced moisture content MR depends not only on the Biot number, but also, assuming the accuracy of the description by the model, on the moisture diffusion coefficient D. Figure 2 shows an example of the relation between Bi and the moisture diffusion coefficient. The increase of the Biot number requires the value of D to be reduced (Figure 2), with better fitting of the model (5) to experimental data being obtained for greater Bi values. For smaller values of Bi, the errors (RMSE and MAE) are greater, and R2 is smaller, even after the increase of D (Figure 2).

3.2. Case 2a. Optimization of Parameters of the Function for Determining the Biot Number (Equation (8a))

The optimization task described by Equation (10) considers the Biot number from Equation (8a) in MRpred (Equations (5)–(7)). Therefore, the parameters ab and bb of the equation (Equation (8a)) were sought in this strategy.
The results of optimization are presented in Table 3, Figure 3, and Figure 4. The best solution is ID 2a_1 (the smallest MAE = 0.05346 and the greatest R2 = 0.9822) and ID 2a_2 (the smallest RMSE = 0.06695 and slightly worse MAE and R2 compared with ID 2a_1).
The courses of the function (Equation (8a)) with parameters ab and bb obtained as a result of optimization are very similar (Figure 5) (overlap almost entirely–similar values of parameters (Table 3)), and the values of the Biot number obtained from them for the temperatures of 40–70°C are within the range of 0.696523–0.74672 for ID 2a_1 and 0.696144–0.746659 for ID 2a_2. The courses of the function (Equation (9)) with parameters ad and bd obtained as a result of optimization differ from each other (Figure 4) and the best solution of the optimization task was obtained for smaller values of the moisture diffusion coefficient. The values of D/s2 for the temperatures of 40–70°C are within the range of 0.006606–0.006788 for ID 2a_1 and 0.006753–0.00694 for ID 2a_2.

3.3. Case 2b. Optimization of Parameters of the Function for Determining the Biot number (Equation (8b))

The results of optimization are presented in Table 4 and Figure 5 and Figure 6. The best solutions are ID 2b_1 (the smallest MAE = 0.05688 and the greatest R2 = 0.9794) and ID 2b_2 (the smallest RMSE = 0.07160 and slightly smaller R2 (difference 0.0004)).
The courses of the function (Equation (8b)) with parameters ab and bb obtained as a result of optimization are very similar (Figure 6) (ID 2b_1, 2b_2, and 2b_3 overlap almost entirely - similar values of parameters (Table 4)), and the values of the Biot numbers obtained from the function for the temperatures of 40–70 °C are within the range of 0.721854–0.747842 both for ID 2b_1 and ID 2b_2, and they are the greatest compared with the other solutions. The courses of the function (Equation (9)) with parameters ad and bd obtained as a result of optimization differ from each other (Figure 6) and the best solution of the optimization task was obtained for smaller values of the moisture diffusion coefficient. The values of D/s2 for the temperatures of 40–70°C are within the range of 0.006477–0.006624 for ID 2b_1 and 0.006582–0.006731 for ID 2b_2.

3.4. Case 2c. Optimization of Parameters of the Function for Determining the Biot Number (Equation (8c))

The results of optimization are presented in Table 5 and Figure 7 and Figure 8. The best solutions are ID 2c_1 (the smallest MAE = 0.05693 and the greatest R2 = 0.9793) and ID 2c_2 (the smallest RMSE = 0.07168843 and slightly smaller R2 (difference 0.0003)).
The courses of the function (Equation (8c)) with parameters ab and bb obtained as a result of optimization are very similar (Figure 8) (overlap almost entirely–similar values of parameters (Table 5)), and the values of the Biot numbers obtained from the function for the temperatures of 40–70°C are within the range of 0.721413–0.747151 for ID 2c_1 and 0.721450–0.747192 for ID 2c_2, and they are the greatest compared with other solutions. The courses of the function (Equation (9)) with parameters ad and bd obtained as a result of optimization differ from each other (Figure 8) and the best solution of the optimization task was obtained for smaller values of the moisture diffusion coefficient. The values of D/s2 for the temperatures of 40–70°C are within the range of 0.00649–0.00663 for ID 2c_1 and 0.0066–0.00674 for ID 2c_2.

3.5. Case 2d. Optimization of Parameters of the Function for Determining the Biot Number (Equation (8d))

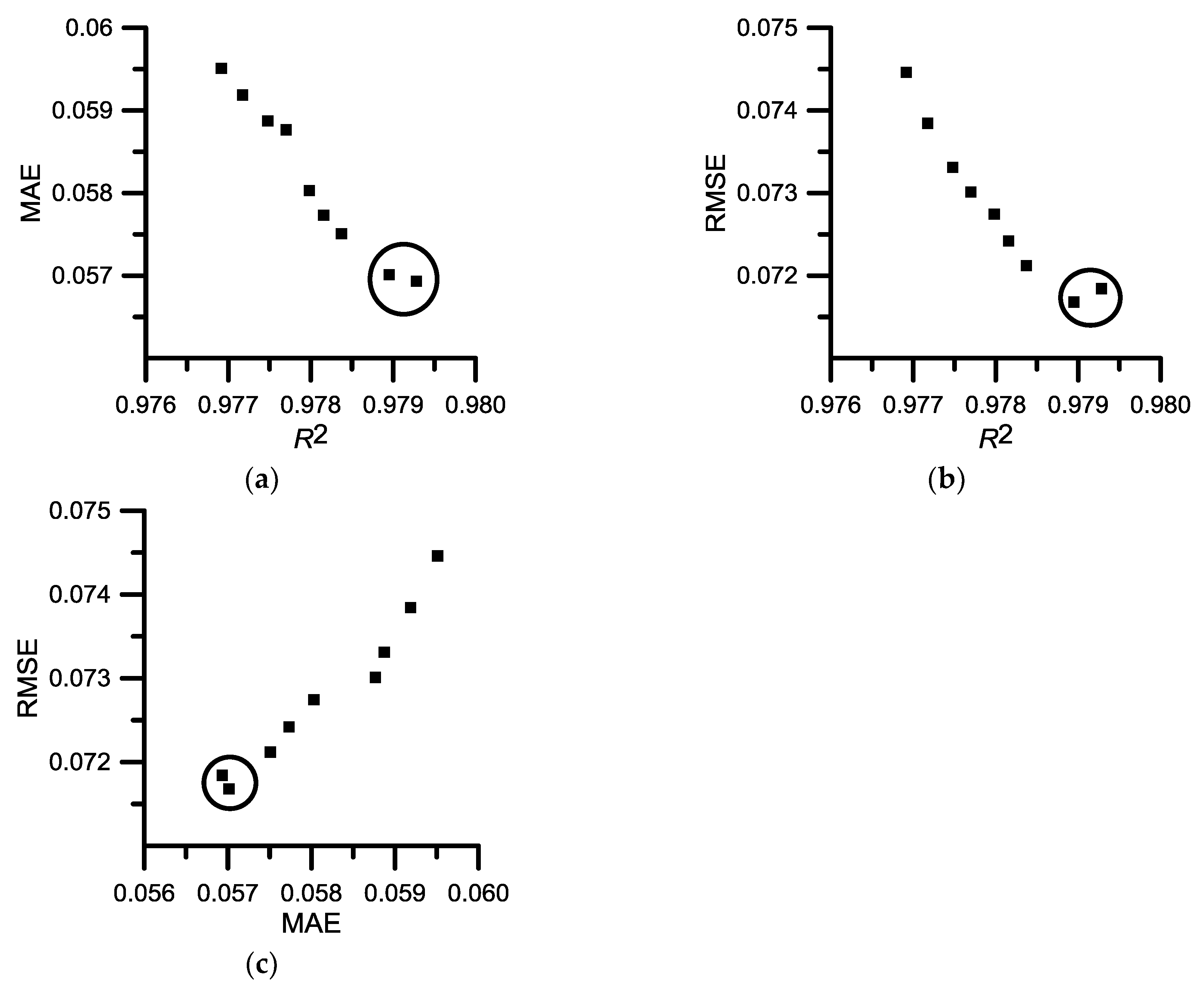
The results of optimization are presented in Table 6 and Figure 9 and Figure 10. The performed optimization also allowed us to obtain constants for Equation (8d) and Equation (9) and then to calculate the Biot number and the moisture diffusion coefficient (Table 6). The best solutions are ID 2d_1 (the smallest MAE = 0.05378 and the greatest R2 = 0.9818) and ID 2d_2 (the smallest RMSE = 0.06742 and only slightly worse R2 (difference 0.0004)).
The courses of the function (Equation (8d)) with parameters ab and bb obtained as a result of optimization are very similar (Figure 10) (overlap almost entirely–similar values of parameters (Table 6)), and the values of the Biot numbers obtained from the function for the temperatures of 40–70 °C are within the range of 0.698032–0.747095 for ID 2d_1 and 0.698668–0.747789 for ID 2d_2, and are the greatest compared with other solutions. The courses of the function (Equation 9) with parameters ad and bd obtained as a result of optimization differ from each other (Figure 10) and the best solution of the optimization task was obtained for smaller values of the moisture diffusion coefficient. The values of D/s2 for the temperatures of 40–70°C are within the range of 0.00665–0.00679 for ID 2d_1 and 0.00678–0.00693 for ID 2d_2.

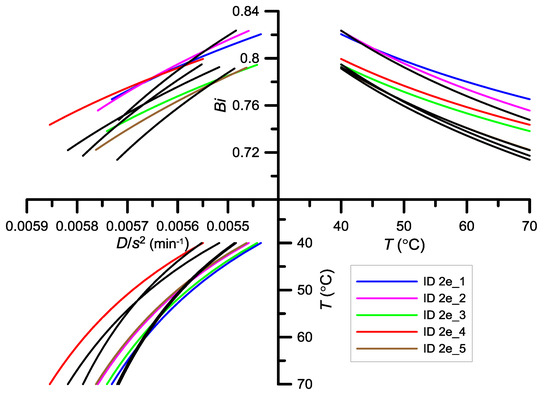
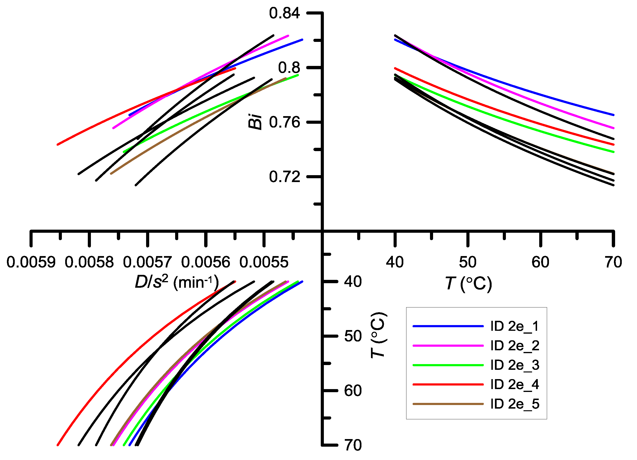
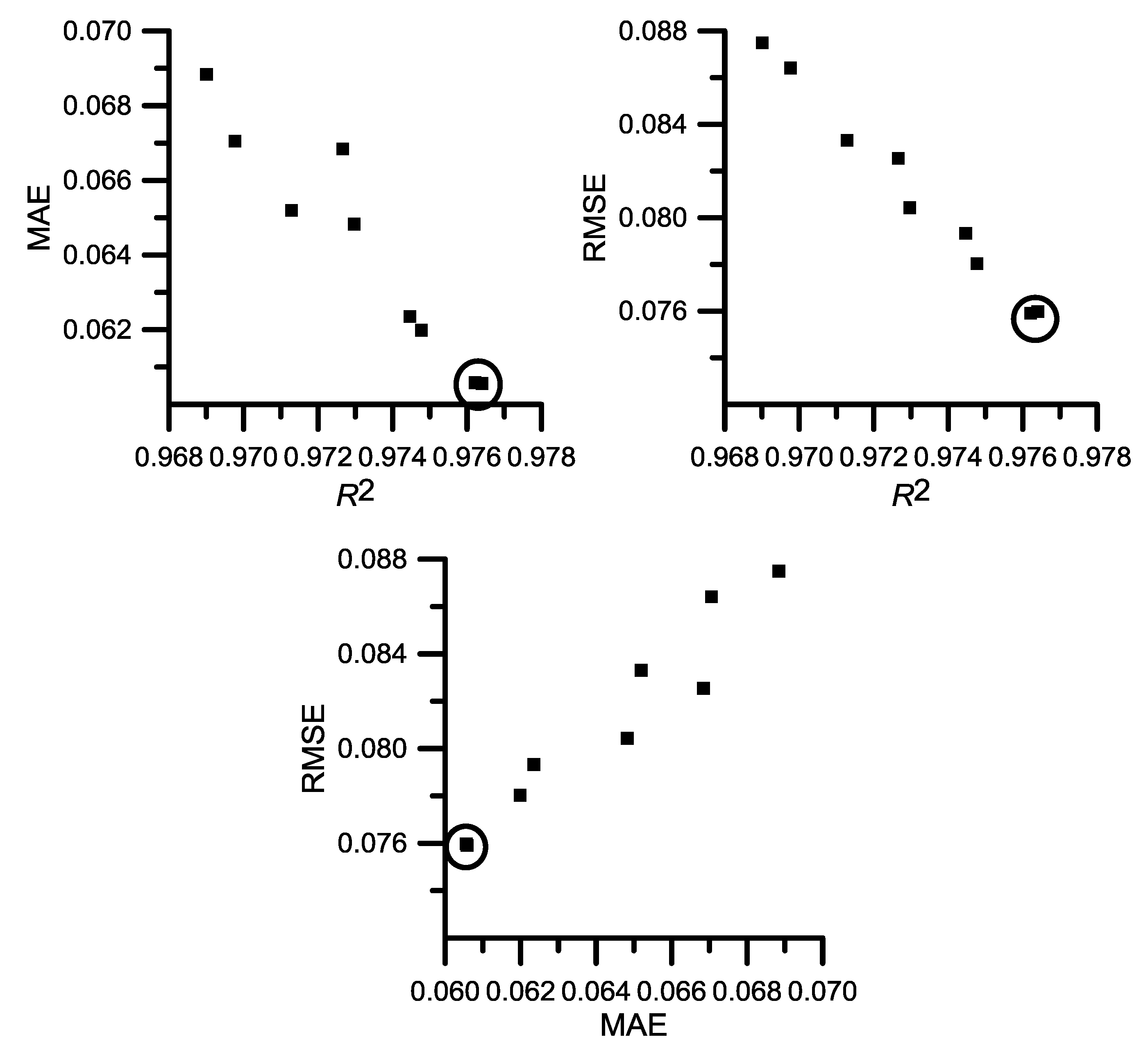
3.6. Case 2e. Optimization of Parameters of the Function for Determining the Biot Number (Equation (8e))

The results of optimization are presented in Table 7 and Figure 11 and Figure 12. The optimization also allowed us to obtain constants Equation (8e) and Equation (9) and then to calculate the Biot number and the moisture diffusion coefficient (Table 7). The set of best solutions is made up of ID 2e_1–ID 2e_5, with ID 2e_1 being characterised by the smallest value of MAE = 0.06633, ID 2e_4 by the smallest value of RMSE = 0.08183, and ID 2e_5 by the greatest R2 = 0.9771. For ID 2e_1, RMSE is greater than for ID 2e_4 by only 0.0002 and R2 is smaller than for ID 2e_5 by only 0.0003. For ID 2e_4, MAE is greater than for ID 2e_1 by only 0.0002 and R2 is only 0.0003 smaller than for ID 2e_5. For ID 2e_5, MAE is greater than for ID 2e_1 by only 0.0002 and RMSE is greater than for ID 2e_4 by only 0.00006. For ID 2e_2, ID 2e_3, and ID 2e_6, R2 is smaller than the greatest one (ID 2e_5) by 0.0002, 0.00007, and 0.0001, respectively; RMSE is greater than the smallest one (ID 2e_4) by 0.00013, 0.00014, and 0.000005, respectively; and MAE is greater than the smallest one (ID 2e_1) by 0.00001, 0.0009, and 0.00025, respectively.
The courses of the function (Equation (8e)) with parameters ab and bb obtained as a result of optimization differ from each other (Figure 12), and the values of Bi obtained from them are the greatest. The values of Bi obtained for the temperatures of 40–70 °C are within the range of 0.823371–0.721929: 0.820488–0.76525 for ID 2e_1, 0.823371–0.755645 for ID 2e_2, 0.794496–0.738172 for ID 2e_3, 0.79948–0.743539 for ID 2e_4, 0.792145–0.722239 for ID 2e_5, and 0.792538–0.721929 for ID 2e_6. The courses of the function (Equation (9)) with parameters ad and bd obtained as a result of optimization are similar (Figure 12) and the best solution of the optimization task was obtained for smaller values of the moisture diffusion coefficient (except for ID 2e_4). The values of D/s2 obtained for the temperatures of 40–70 °C are within the range of 0.00543–0.00573 for ID 2e_1, 0.00546–0.00576 for ID 2e_2, 0.00544–0.00574 for ID 2e_3, 0.00555–0.00585 for ID 2e_4, 0.00546–0.00576 for ID 2e_5, and 0.00552–0.00582 for ID 2e_6.

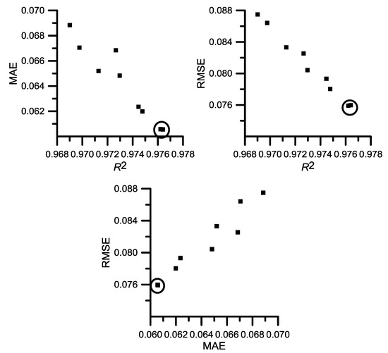
3.7. Case 2f. Optimization of Parameters of the Function for Determining the Biot Number (Equation (8f))

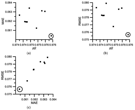
The results of optimization are presented in Table 8 and Figure 13 and Figure 14. The best solutions are ID 2f_1 (the smallest MAE = 0.06056 and the greatest R2 = 0.9764) and ID 2f_2 (the smallest RMSE = 0.07591, and compared with 2f_1, slightly worse R2 (smaller by 0.0002) and MAE (greater by 0.00002)).
The courses of the function (Equation (8f)) with parameters ab and bb obtained as a result of optimization differ from each other (Figure 14). The values of the Biot number obtained for the temperatures of 40–70 °C are within the range of 0.745901–0.722602 for ID 2f_1 and 0.745978–0.722677 for ID 2f_2. The courses of the function (Equation 9) with parameters ad and bd obtained as a result of optimization differ from each other (Figure 14). The values of D/s2 obtained for the temperatures of 40–70 °C are within the range of 0.006383–0.006788 for ID 2f_1 and 0.006454–0.006863 for ID 2f_2.

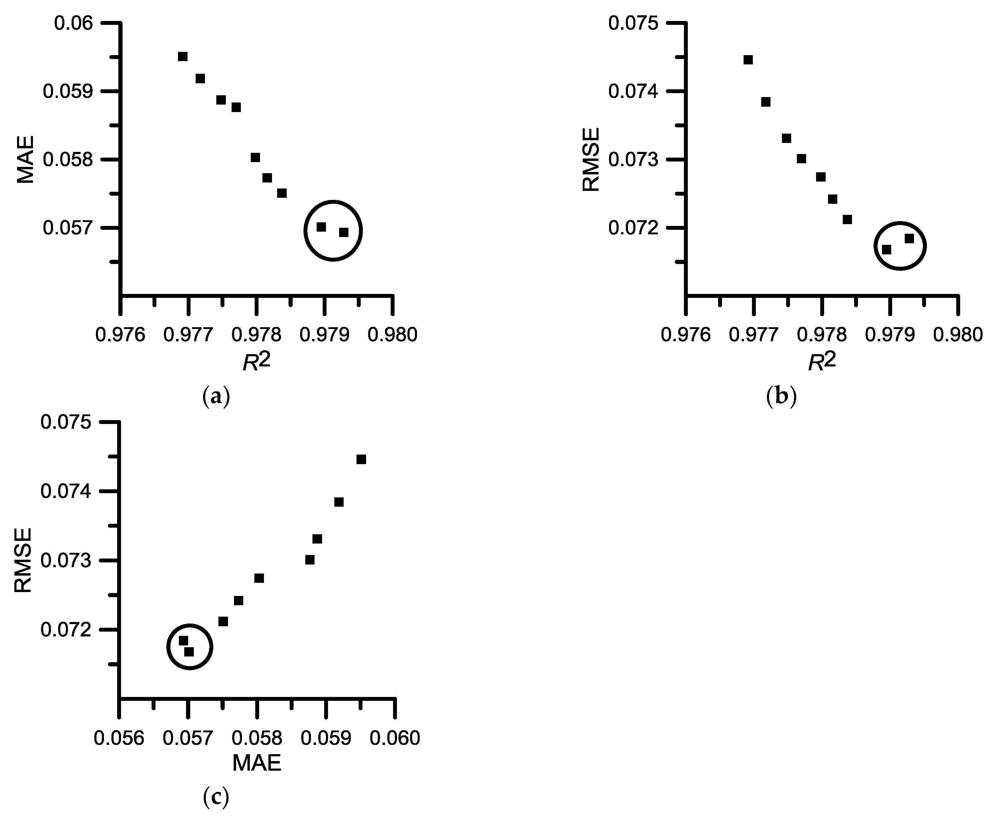
3.8. Case 2g. Optimization of Parameters of the Function for Determining the Biot Number (Equation (8g))

The results of optimization are presented in Table 9 and Figure 15–16. The best solution is ID 2g_1 (the smallest both MAE = 0.06041, RMSE = 0.07566 and the greatest R2 = 0.9764).
The courses of the function (Equation (8g)) with parameters ab and bb and the function (Equation (9)) with parameters ad and bd obtained as a result of optimization differ from each other (Figure 16). The values of the Biot number and the values of D/s2 obtained for the temperatures of 40–70 °C for ID 2g_1 change slightly and are within the range of 0.745762–0.722883 and 0.006448–0.006877, respectively.

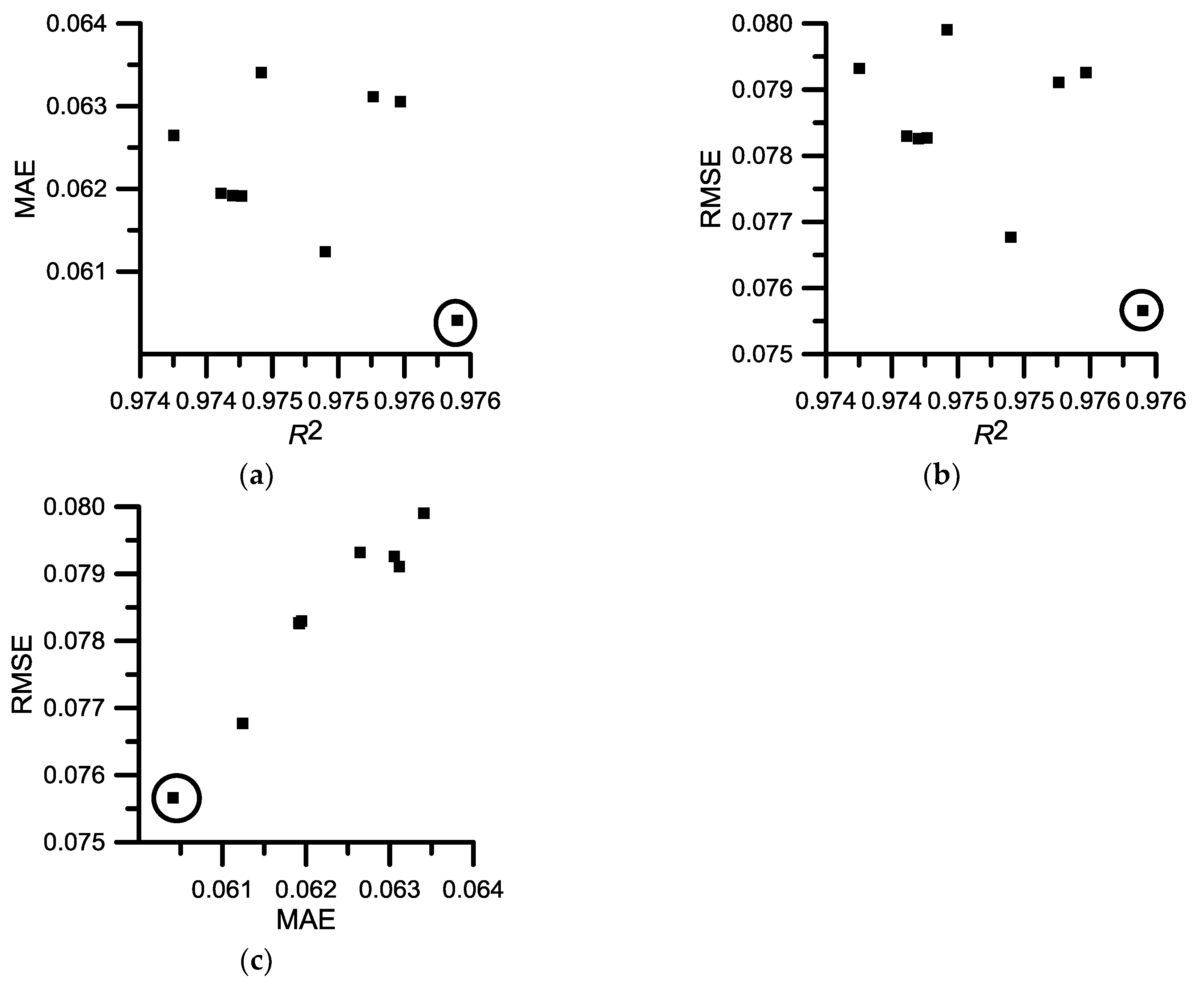
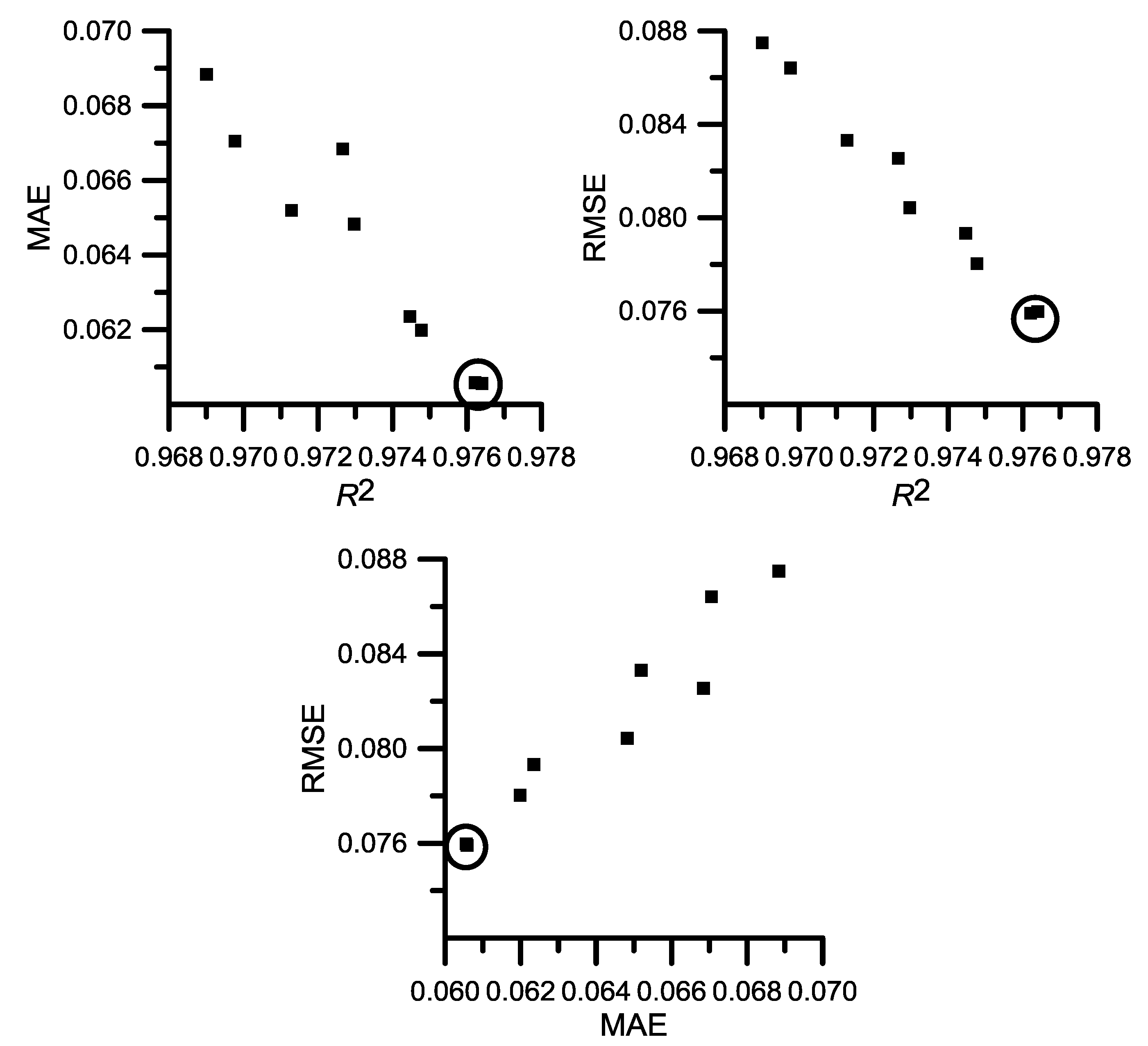
3.9. Case 2h. Optimization of Parameters of the Function for Determining the Biot Number (Equation (8h))

The results of optimization are presented in Table 10 and Figure 17 and Figure 18. The best solutions are ID 2h_1 (the smallest MAE = 0.06293 and the greatest R2 = 0.9740) and ID 2h_2 (the smallest RMSE = 0.07925, with MAE being slightly worse than for ID 2h_1 (the difference 0.00003)).
The courses of the function (Equation (8h)) with parameters ab and bb obtained as a result of optimization differ slightly from each other (Figure 18). The values of the Biot number obtained for the temperatures of 40–70 °C are within the range of 0.742097–0.722428 for ID 2h_1 and within the range of 0.742039–0.722353 for ID 2h_2. The courses of the function (Equation (9)) with parameters ad and bd obtained as a result of optimization are similar (Figure 18) and the best solution of the optimization task was obtained for smaller values of the moisture diffusion coefficient. The values of D/s2 obtained for the temperatures of 40–70 °C are within the range of 0.006562–0.006714 for ID 2h_1 and 0.006604–0.006757 for ID 2h_2.
Among the functions (Equation (8a))–(Equation (8d)) indicating the increase of the Biot number with the increase of the temperature, the best one was the function described by the equation (Equation (8a)), and the second best function (Equation (8d)) was only slightly worse. Among the functions (Equation (8e))–(Equation (8h)) indicating the decrease of the Biot number with the increase of the temperature, the best one was the function described by the equation (Equation (8g)), and the second best function (Equation (8h)) was only slightly worse. Figure 19 shows the Biot number and the moisture diffusion coefficient for the best solutions of the optimization task 2a, 2d, 2g, and 2h.
The range of variability of the Biot number for ID 2a_1, 2a_2, and 2d_1 is identical (the courses of the functions are almost identical), and it ranges between 0.70 and 0.75, whereas for ID 2g_1, 2g_2, 2h_1, and 2h_2, the range is smaller, between 0.72 and 0.75. D/s2 calculated using (Equation (9)) changes most for ID 2g_1 (0.00645–0.00688). For ID 2g_2, the changes are smaller (0.00661–0.00698), and for ID 2a_2 and 2d_2, the changes are the smallest (the courses of the functions are almost identical), ranging between 0.00675 and 0.00685.
According to (Equation (1)), the Biot number depends on the mass transfer coefficient hm and mass diffusion coefficient D. Therefore, the dependence of Bi on temperature is determined by the temperature influence on both mentioned coefficients. An increase of the temperature (according to the literature (i.e., Equation (9))) results in an increase of the moisture diffusion coefficient. In the definition of the Biot number (Equation (1)), there is a ratio hm/D and the Biot number depends precisely on this relation. A greater temperature impact on hm than on D results in the increase of the Biot number with temperature. Many authors have applied a dimensionless number to estimate the value of the mass transfer coefficient [8,24,29,30]. Equation Sh = f(Gr,Sc) is often applied under natural convection conditions [31].
The dependences obtained as a result of optimization indicate that a better fitting of the model (5) to the experimental data is obtained when Bi increases with the increase of the drying temperature according to the (Equation (8a)) with the constants of the equation for ID 2a_1 (Table 3):
B i = 0.8193 exp ( 6.4951 T 1 ) ,
Simultaneously, D/s2 is calculated based on (Equation (9)) with the constants of the equation for ID 2a_1 (Table 3):
D / s 2 = 0.00704 exp ( 2.54 T 1 ) ,
However, only slightly worse fitting is obtained when Bi decreases with the increase of the drying temperature according to (Equation (8g)) with the constants of the equation for ID 2g_1 (Table 9):
B i = 1 / 0.1746 log ( 119347 T )
Simultaneously, D/s2 is calculated based on (Equation (9)) with the constants of the equation for ID 2g_1 (Table 9):
D / s 2 = 0.0075 exp ( 6 T 1 ) ,
The values of D/s2 obtained from Equation (12) (for 40–70 °C) are the following: 0.00665–0.00679, and they are in the range of 0.00645–0.00688 obtained from Equation (14). The D values lie within the general range of 1013 to 106 m2s−1 for food materials [32,33]. However the range of the Biot number calculated from Equation (13) (0.7729–0.7458) is wider than that obtained from Equation (11) (0.6965–0.6747).
The acceptance in the drying model (Equation (5)) of the Biot number and D/s2 determined from Equations (11) and (12) or from Equations (13) and (14) results in various fits of the discussed model at individual considered temperatures. The MAE values for the model (Equation (5)) (Bi and D/s2 from Equations (11) and (12)) are the following: 0.0690, 0.0340, 0.0426, and 0.0725 (for 40, 50, 60, and 70 °C, respectively), whereas for Bi and D/s2 determined from Equations (13) and (14), the MAE values are much higher for extreme temperatures, namely 40 and 70 °C, and they are the following: 0.0815, 0.0377, 0.0.0425, and 0.0856 (for the mentioned temperatures, respectively).
The results of the validation of Biot number estimation are the following. The validation was done using the experimental data of drying kinetics of parsley root (Berlińska variety, 6 mm thick slices) dried in natural convection conditions at 55 °C. Biot number values were the following: 0.7281 and 0.7326 (Equations (11) and (13), respectively), whereas D/s2 equalled 0.0067 (Equations (12) and (14)). Regardless of whether Equations (11) and (12) or (13) and (14) were used, R2 = 0.9955, RMSE = 0.0376, and MAE = 0.0336, so the validation can be treated as satisfactory.

4. Conclusions

The analysis of Biot numbers enables questions about the controlling mechanisms employed for heat or mass transfer during the considered process to be answered.
This paper used a multi-objective optimization method (based on GA and Pareto optimization) for determination of the Biot number. A MOO GA method with a consideration of the simultaneous maximization of R2 and minimization of RMSE and MAE between experimental data and the drying model was successfully applied.
The optimum values of the Biot number and constants of function used to determine the Biot number, gained by the MOO GA, were found. Eight types of equations for determining the Bi were tested. The Biot number can be calculated from the following equations: Bi = 0.8193exp(−6.4951T−1) (and moisture diffusion coefficient from D/s2=0.00704exp(−2.54T−1)) or Bi=1/0.1746log(1193847T) (D/s2 = 0.0075exp(−6T−1)). The results of statistical analysis were as follows: RMSE = 0.0672, MAE = 0.0535, and R2 = 0.98 for the first equation for Bi and D/s2 and RMSE = 0.0757, MAE = 0.0604, and R2 = 0.98 for the second one. The conducted validation gave good results: RMSE = 0.0376, MAE = 0.0336, and R2 = 0.9955.

Author Contributions

K.G.: Proposal of the research topic, experiments, modelling, and writing of manuscript; R.W.: Optimization and writing of manuscript; A.K.: Writing of manuscript and critical revision of manuscript.

Funding

This research received no external funding.

Conflicts of Interest

The authors declare no conflicts of interest.

Nomenclature

ab, bbconstants in Equations (8a)–(8h)
ad, bdconstants in Equation (9)
Bi = hmL/DBiot number for mass transfer
cconcentration
Dmass diffusion coefficient (m2s−1)
DABmoisture diffusivity in the gaseous phase (m2s−1)
gacceleration of gravity (ms-2)
Gr=gL3βΔc2Grashof number
hmmass transfer coefficient (ms−1)
Lcharacteristic dimension (m)
Mmoisture content (kg H2O kg−1 d.m.)
M0initial moisture content (kg H2O kg−1 d.m.)
Meequilibrium moisture content (kg H2O kg−1 d.m.)
MRmoisture ratio
MRpredpredicted moisture ratio
MRexpmoisture ratio from experiment
M R ¯ e x p average value of moisture ratio from experiment
nnumber of data
shalf of plane thickness (m)
Sc = ν/DABSchmidt number
Sh = hmL/DABSherwood number
Tdrying air temperature (°C)
ttime (s)
xcoordinate (m)
Greek symbols
βcoefficient of expansion
vkinematic viscosity (m2s−1)

References

  1. Giner, S.A.; Irigoyen, R.M.T.; Cicuttín, S.; Fiorentini, C. The variable nature of Biot numbers in food drying. J. Food Eng. 2010, 101, 214–222. [Google Scholar] [CrossRef]
  2. Cuesta, F.J.; Lamúa, M.; Alique, R. A new exact numerical series for the determination of the Biot number: Application for the inverse estimation of the surface heat transfer coefficient in food processing. Int. J. Heat Mass Transf. 2012, 55, 4053–4062. [Google Scholar] [CrossRef][Green Version]
  3. Dincer, I. Moisture transfer analysis during drying of slab woods. Heat Mass Transf. 1998, 34, 317–320. [Google Scholar] [CrossRef]
  4. Rovedo, C.O.; Suarez, C.; Viollaz, P. Analysis of moisture profiles, mass Biot number and driving forces during drying of potato slabs. J. Food Eng. 1998, 36, 211–231. [Google Scholar] [CrossRef]
  5. Ruiz-López, I.I.; Ruiz-Espinosa, H.; Arellanes-Lozada, P.; Bárcenas-Pozos, M.E.; García-Alvarado, M.A. Analytical model for variable moisture diffusivity estimation and drying simulation of shrinkable food products. J. Food Eng. 2012, 108, 427–435. [Google Scholar] [CrossRef]
  6. Ruiz-López, I.I.; Ruiz-Espinosa, H.; Luna-Guevara, M.L.; García-Alvarado, M.A. Modeling and simulation of heat and mass transfer during drying of solids with hemispherical shell geometry. Comput. Chem. Eng. 2011, 35, 191–199. [Google Scholar] [CrossRef]
  7. Wu, Y.; Irudayaraj, J. Analysis of heat, mass and pressure transfer in starch based food systems. J. Food Eng. 1996, 29, 399–414. [Google Scholar] [CrossRef]
  8. Górnicki, K.; Kaleta, A. Some problems related to mathematical modelling of mass transfer exemplified of convection drying of biological materials. In Heat and Mass Transfer; Hossain, M., Ed.; IntechOpen: Rijeka, Croatia, 2011. [Google Scholar]
  9. Huang, C.-H.; Yeh, C.-Y. An inverse problem in simultaneous estimating the Biot numbers of heat and moisture transfer for a porous material. Int. J. Heat Mass Transf. 2002, 45, 4643–4653. [Google Scholar] [CrossRef]
  10. Dincer, I.; Hussain, M.M. Development of a new Biot number and lag factor correlation for drying applications. Int. J. Heat Mass Transf. 2004, 47, 653–658. [Google Scholar] [CrossRef]
  11. Chen, X.D.; Peng, X. Modified Biot number in the context of air drying of small moist porous objects. Dry. Technol. 2005, 23, 83–103. [Google Scholar] [CrossRef]
  12. Xie, Y.; Gao, Z.; Liu, Y.; Xiao, H. Pulsed vacuum drying of rhizoma dioscoreae slices. LWT 2017, 80, 237–249. [Google Scholar] [CrossRef]
  13. Dincer, I.; Dost, S. A modelling study for moisture diffusivities and moisture transfer coefficients in drying of solid objects. Int. J. Energy Res. 1996, 20, 531–539. [Google Scholar] [CrossRef]
  14. Kiranoudis, C.T.; Markatos, N.C. Pareto design of conveyor-belt dryers. J. Food Eng. 2000, 46, 145–155. [Google Scholar] [CrossRef]
  15. Kiranoudis, C.T.; Maroulis, Z.B.; Marinos-Kouris, D. Product quality multi-objective dryer design. Dry. Technol. 1999, 17, 2251–2270. [Google Scholar] [CrossRef]
  16. Krokida, M.K.; Kiranoudis, C.T. Pareto design of fluidized bed dryers. Chem. Eng. J. 2000, 79, 1–12. [Google Scholar] [CrossRef]
  17. Krokida, M.K.; Kiranoudis, C.T. Product quality multi-objective optimization of fluidized bed dryers. Dry. Technol. 2000, 18, 143–163. [Google Scholar] [CrossRef]
  18. Quirijns, E.J. Modelling and Dynamic Optimisation of Quality Indicator Profiles during Drying. PhD Thesis, Wageningen University, Wageningen, The Netherland, April 2006. [Google Scholar]
  19. Olmos, A.; Trelea, I.C.; Courtois, F.; Bonazzi, C.; Trystram, G. Dynamic optimal control of batch rice drying process. Dry. Technol. 2002, 20, 1319–1345. [Google Scholar] [CrossRef]
  20. Winiczenko, R.; Górnicki, K.; Kaleta, A.; Martynenko, A.; Janaszek-Mańkowska, M.; Trajer, J. Multi-objective optimization of convective drying of apple cubes. Comput. Electron. Agric. 2018, 145, 341–348. [Google Scholar] [CrossRef]
  21. Winiczenko Górnicki, K.; Kaleta, A.; Janaszek-Mankowska, M.; Trajer, J. Multi-objective optimization of the apple drying and rehydration processes parameters. Emir. J. Food Agric. EJFA 2018, 30, 1–9. [Google Scholar]
  22. Chen, C.R.; Ramaswamy, H.S. Modeling and optimization of variable retort temperature (VRT) thermal processing using coupled neural networks and genetic algorithms. J. Food Eng. 2002, 53, 209–220. [Google Scholar] [CrossRef]
  23. Erdoğdu, F.; Balaban, M.O. Complex method for nonlinear constrained multi-criteria (multi-objective function) optimization of thermal processing. J. Food Process Eng. 2003, 26, 357–375. [Google Scholar] [CrossRef]
  24. Górnicki, K.; Kaleta, A. Modelling convection drying of blanched parsley root slices. Biosyst. Eng. 2007, 97, 51–59. [Google Scholar] [CrossRef]
  25. Luikov, A.V. Analytical Heat Diffusion Theory; Academic Press Inc.: New York, NY, USA, 1970. [Google Scholar]
  26. Zielinska, M.; Markowski, M. Drying behavior of carrots dried in a spout–fluidized bed dryer. Dry. Technol. 2007, 25, 261–270. [Google Scholar] [CrossRef]
  27. Celma, A.R.; Cuadros, F.; López-Rodríguez, F. Convective drying characteristics of sludge from treatment plants in tomato processing industries. Food Bioprod. Process. 2012, 90, 224–234. [Google Scholar] [CrossRef]
  28. Nguyen, T.H.; Lanoisellé, J.L.; Allaf, T.; Allaf, K. Experimental and fundamental critical analysis of diffusion model of airflow drying. Dry. Technol. 2016, 34, 1884–1899. [Google Scholar] [CrossRef]
  29. Górnicki, K.; Kaleta, A. Drying curve modelling of blanched carrot cubes under natural convection condition. J. Food Eng. 2007, 82, 160–170. [Google Scholar] [CrossRef]
  30. Chen, X.D.; Lin, S.X.Q.; Chen, G. On the ratio of heat to mass transfer coefficient for water evaporation and its impact upon drying modeling. Int. J. Heat Mass Transf. 2002, 45, 4369–4372. [Google Scholar] [CrossRef]
  31. Bird, R.B.; Stewart, W.E.; Lightfoot, E.N. Transport Phenomena; Rev. 2nd ed.; Wiley: New York, NY, USA, 2007; ISBN 978-0-470-11539-8. [Google Scholar]
  32. Zogzas, N.P.; Maroulis, Z.B.; Marinos-Kouris, D. Moisture diffusivity data compilation in foodstuffs. Dry. Technol. 1996, 14, 2225–2253. [Google Scholar] [CrossRef]
  33. Mujumdar, A.S. Handbook of Industrial Drying, 4th ed.; CRC Press, Taylor & Francis Group: Boca Raton, FL, USA, 2015; ISBN 978-1-4665-9665-8. [Google Scholar]
Figure 1. Results of the statistical analysis of Pareto optimal sets for the Biot number: (■) T = 40°C, () T = 50°C, (▲) T = 60°C, and () T = 70°C.
Figure 1. Results of the statistical analysis of Pareto optimal sets for the Biot number: (■) T = 40°C, () T = 50°C, (▲) T = 60°C, and () T = 70°C.
Energies 12 02822 g001aEnergies 12 02822 g001b
Figure 2. Pareto optimal set for the Biot number (■) and D/s2 (▲) for T = 50 °C.
Figure 2. Pareto optimal set for the Biot number (■) and D/s2 (▲) for T = 50 °C.
Energies 12 02822 g002
Figure 3. Pareto optimal sets for constants of Equation (8a).
Figure 3. Pareto optimal sets for constants of Equation (8a).
Energies 12 02822 g003
Figure 4. Pareto optimal set for the function of the Biot number and D/s2: Equations (8a) and (9).
Figure 4. Pareto optimal set for the function of the Biot number and D/s2: Equations (8a) and (9).
Energies 12 02822 g004
Figure 5. Pareto optimal sets for constants of Equation (8b).
Figure 5. Pareto optimal sets for constants of Equation (8b).
Energies 12 02822 g005
Figure 6. Pareto optimal set for the function of the Biot number and D/s2: Equations (8b) and (9).
Figure 6. Pareto optimal set for the function of the Biot number and D/s2: Equations (8b) and (9).
Energies 12 02822 g006
Figure 7. Pareto optimal sets for constants of Equation (8c).
Figure 7. Pareto optimal sets for constants of Equation (8c).
Energies 12 02822 g007
Figure 8. Pareto optimal set for the function of the Biot number and D/s2: Equations (8c) and (9).
Figure 8. Pareto optimal set for the function of the Biot number and D/s2: Equations (8c) and (9).
Energies 12 02822 g008
Figure 9. Pareto optimal sets for constants of Equation (8d).
Figure 9. Pareto optimal sets for constants of Equation (8d).
Energies 12 02822 g009
Figure 10. Pareto optimal set for the function of the Biot number and D/s2: Equations (8d) and (9).
Figure 10. Pareto optimal set for the function of the Biot number and D/s2: Equations (8d) and (9).
Energies 12 02822 g010
Figure 11. Pareto optimal sets for constants of Equation (8e).
Figure 11. Pareto optimal sets for constants of Equation (8e).
Energies 12 02822 g011
Figure 12. Pareto optimal set for the function of the Biot number and D/s2: Equations (8e) and (9).
Figure 12. Pareto optimal set for the function of the Biot number and D/s2: Equations (8e) and (9).
Energies 12 02822 g012
Figure 13. Pareto optimal sets for constants of Equation (8f).
Figure 13. Pareto optimal sets for constants of Equation (8f).
Energies 12 02822 g013
Figure 14. Pareto optimal set for the function of the Biot number and D/s2: Equations (8f) and (9).
Figure 14. Pareto optimal set for the function of the Biot number and D/s2: Equations (8f) and (9).
Energies 12 02822 g014
Figure 15. Pareto optimal sets for constants of Equation (8g).
Figure 15. Pareto optimal sets for constants of Equation (8g).
Energies 12 02822 g015
Figure 16. Pareto optimal set for the function of the Biot number and D/s2: Equations (8g) and (9).
Figure 16. Pareto optimal set for the function of the Biot number and D/s2: Equations (8g) and (9).
Energies 12 02822 g016
Figure 17. Pareto optimal sets for constants of Equation (8h).
Figure 17. Pareto optimal sets for constants of Equation (8h).
Energies 12 02822 g017
Figure 18. Pareto optimal set for the function of the Biot number and D/s2: Equations (8h) and (9).
Figure 18. Pareto optimal set for the function of the Biot number and D/s2: Equations (8h) and (9).
Energies 12 02822 g018
Figure 19. Pareto optimal set for the function of the Biot number and D/s2: Equations (8a), (8d), (8g), (8h), and (9).
Figure 19. Pareto optimal set for the function of the Biot number and D/s2: Equations (8a), (8d), (8g), (8h), and (9).
Energies 12 02822 g019
Table 1. The multi-objective genetic algorithm (MOGA) settings.
Table 1. The multi-objective genetic algorithm (MOGA) settings.
ParameterValue
Crossover coefficient 0.8
Crossover functionIntermediate
Mutation coefficient0.2
Mutation functionUniform
Number generations500⋅number of variables
Population size60⋅number of variables
Selection functionTurnament size = 2
Table 2. Pareto optimal set for the Biot number (Bi) and D/s2 and results of the statistical analysis.
Table 2. Pareto optimal set for the Biot number (Bi) and D/s2 and results of the statistical analysis.
Temperature, °CIDBiD/s2 (min−1)R2RMSEMAE
4040_10.72330.006100.99340.044410.03947
40_2 0.72430.006010.99370.044740.03924
40_30.70160.006250.99350.045580.03910
40_40.75480.004420.99250.046560.03807
40_50.74500.004540.99250.046800.03652
40_60.75550.006010.99300.047070.04240
40_70.77490.005320.98580.077440.06666
40_80.67450.008830.98200.077700.06498
40_90.69010.008830.98040.086220.07129
40_100.65550.009900.97480.103270.08541
5050_10.72450.006150.99510.037310.03264
50_20.72310.006050.99550.037770.03243
50_30.70120.006350.99510.038790.03228
50_40.69670.006980.99340.042000.03496
50_50.69670.007470.99120.047790.04110
50_60.72830.007340.98970.060010.05115
50_70.65060.008840.98670.067640.05661
50_80.70400.008240.98580.075010.06318
50_90.65400.009120.98360.079450.06742
50_100.70400.008730.98280.088530.07409
6060_10.70170.007880.99440.040720.03646
60_20.70170.007910.99430.040730.03654
60_30.70860.007800.99460.040850.03641
60_40.70010.007750.99480.040960.03640
60_50.70950.008720.99130.049160.04225
60_60.73370.008380.99170.050970.04363
60_70.65070.010120.98890.058530.04684
60_80.65130.010160.98880.058960.04720
60_90.71520.009580.98750.066370.05393
60_100.67910.010460.98450.075670.06103
7070_10.70030.010120.99430.038880.03429
70_20.70050.010110.99430.038880.03427
70_30.70140.010110.99430.038890.03428
70_40.67890.010620.99390.040610.03420
70_50.68980.010600.99400.040890.03424
70_60.70430.011200.99170.048150.03969
70_70.65250.012600.99080.053780.04025
70_80.67050.013240.98780.064060.05103
70_90.69140.012860.98780.066020.05290
70_100.66360.013760.98600.072020.05885
Table 3. Pareto optimal set for constants in Equations (8a) and (9) and results of the statistical analysis.
Table 3. Pareto optimal set for constants in Equations (8a) and (9) and results of the statistical analysis.
IDabbbadbdR2RMSEMAE
2a_10.819326.495050.007042.540000.98220.067240.05346
2a_20.819766.538180.007202.540000.98170.066950.05358
2a_30.819356.482070.007172.285760.98150.067170.05374
2a_40.819596.433060.007222.068140.98120.067440.05405
2a_50.820186.470670.007001.570580.98140.067830.05405
2a_60.820426.470420.007051.570790.98130.067790.05411
2a_70.819596.433060.007221.568140.98070.068040.05455
2a_80.819646.522970.007321.916710.98070.067940.05457
2a_90.819556.460560.007351.583620.98030.068640.05514
2a_100.819586.454450.007501.872250.98000.069110.05557
Table 4. Pareto optimal set for constants in Equations (8b) and (9) and results of the statistical analysis.
Table 4. Pareto optimal set for constants in Equations (8b) and (9) and results of the statistical analysis.
IDabbbadbdR2RMSEMAE
2b_10.04644140795.30.0068252.0949280.97940.071780.05688
2b_20.04644140795.50.0069352.0918990.97900.071600.05694
2b_30.0464491393230.0070731.6611610.97820.072330.05766
2b_40.045152130655.10.0073472.4980290.97890.071850.05803
2b_50.046592133294.60.0074322.4463090.97790.073160.05837
2b_60.045209139490.10.0070851.603670.97600.076540.06113
2b_70.045793138027.10.0077221.7479850.97480.078450.06186
2a_80.045224135305.80.0079331.85190.97370.080670.06288
2a_90.045296138802.90.0083291.5256320.97180.087100.06673
2b_100.046629139913.50.0081141.6052280.97180.089860.06883
Table 5. Pareto optimal set for constants in Equations (8c) and (9) and results of the statistical analysis.
Table 5. Pareto optimal set for constants in Equations (8c) and (9) and results of the statistical analysis.
IDabbbadbdR2RMSEMAE
2c_10.105914161892.90.0068181.9993540.97930.071840.05693
2c_20.105920161892.90.0069391.9993540.97900.071680.05701
2c_30.105956161896.90.0070831.8361840.97840.072120.05751
2c_40.1058961621150.0071151.7173030.97820.072420.05773
2c_50.105920161892.90.0072591.9993540.97800.072740.05803
2c_60.102556162170.20.0074651.6232160.97770.073010.05877
2c_70.102552162127.30.0075891.801250.97750.073310.05887
2c_80.102543162188.40.0076201.6086890.97720.073840.05919
2c_90.102548162077.80.0077611.8230510.97700.074460.05951
2c_100.103676162170.90.0072901.9991140.97650.074930.05968
Table 6. Pareto optimal set for constants in Equations (8d) and (9) and results of the statistical analysis.
Table 6. Pareto optimal set for constants in Equations (8d) and (9) and results of the statistical analysis.
IDabbbadbdR2RMSEMAE
2d_10.0876710.3746240.0069841.9880100.98180.067630.05378
2d_20.0877770.3748680.0071301.9880100.98140.067420.05390
2d_30.0995200.3297860.0075462.4617280.98040.068370.05507
2d_40.0914400.3592630.0077572.2170540.97940.070850.05688
2d_50.1004280.3031840.0082402.0520060.97830.073290.05852
2d_60.0913420.3565870.0077702.4138370.97780.073000.05883
2d_70.0789790.4003240.0077701.9306120.97730.074140.05956
2d_80.0728320.4123500.0072001.9739310.97720.077050.06194
2d_90.0770640.3815980.0084562.3667830.97580.077640.06241
2d_100.0292740.5813160.0080141.6600920.97460.078690.06313
Table 7. Pareto optimal set for constants in Equations (8e) and (9) and results of the statistical analysis.
Table 7. Pareto optimal set for constants in Equations (8e) and (9) and results of the statistical analysis.
IDabbbadbdR2RMSEMAE
2e_11.2989710.1245440.0061524.9601830.97680.082070.06633
2e_21.4498480.1533820.0061854.9966560.97690.081960.06634
2e_31.2900190.1313960.0061654.9895540.97700.081970.06642
2e_41.2896630.1296260.0062874.9892830.97680.081830.06651
2e_51.4564490.1650940.0061884.9845130.97710.081890.06652
2e_61.4660730.1667450.0062464.9618830.97700.081840.06658
2a_71.5577680.1727730.0060433.8822090.97620.082870.06694
2e_81.5624030.1843980.0060473.8867450.97650.082780.06715
2e_91.565310.1837020.0061193.8880010.97630.082690.06719
2e_101.2764980.1202560.0058962.8954830.97560.083810.06743
Table 8. Pareto optimal set for constants in Equations (8f) and (9) and results of the statistical analysis.
Table 8. Pareto optimal set for constants in Equations (8f) and (9) and results of the statistical analysis.
IDabbbadbdR2RMSEMAE
2f_10.077244862213.60.0073685.7399630.97640.075980.06056
2f_20.077236862220.80.0074495.7299220.97620.075910.06058
2f_30.077207864646.70.0078685.3552610.97480.078030.06199
2f_40.07387510594180.0067412.7205290.97450.079330.06235
2a_50.077859862396.30.0075875.7085110.97300.080430.06483
2a_60.076727865525.60.0076484.4172040.97130.083310.06520
2f_70.078282862213.60.0073685.7414890.97270.082540.06684
2f_80.076328960205.50.0076482.9697580.96980.086420.06705
2f_90.07242110594160.0065821.1311560.96900.087500.06884
2f_100.07024811372110.0060030.0422460.96960.088120.06893
Table 9. Pareto optimal set for constants in Equations (8g) and (9) and results of the statistical analysis.
Table 9. Pareto optimal set for constants in Equations (8g) and (9) and results of the statistical analysis.
IDabbbadbdR2RMSEMAE
2g_10.1746211938470.0074925.9999630.97640.075660.06041
2g_20.1746211938470.0074924.9843380.97540.076770.06124
2g_30.20101109835.10.0076647.9999960.97480.078270.06191
2g_40.20101109834.60.0076987.9999920.97470.078260.06192
2g_50.20097109790.80.0077277.9682620.97460.078300.06195
2g_60.19994114067.10.0074386.9888780.97430.079320.06265
2g_70.18938116127.40.0071198.9999960.97600.079260.06310
2g_80.18938116103.40.0072478.9999090.97580.079110.06312
2g_90.18944115792.80.0072678.8827490.97490.079910.06341
2g_100.19830114642.60.0074465.7550390.97310.080410.06346
Table 10. Pareto optimal set for constants in Equations (8h) and (9) and results of the statistical analysis.
Table 10. Pareto optimal set for constants in Equations (8h) and (9) and results of the statistical analysis.
IDabbbadbdR2RMSEMAE
2h_11.4346972.5071060.0069232.140.97400.079270.06293
2h_21.4348972.5095960.0069672.140.97390.079250.06296
2h_31.4311462.5288720.0071082.130750.97360.079460.06315
2h_41.4314912.573010.0071472.0472830.97340.079700.06330
2h_51.4297362.5247920.0072012.1182790.97330.079810.06337
2h_61.4293892.5303060.0072832.1024770.97310.080250.06364
2h_71.4320672.5152180.0073492.1284140.97290.080620.06385
2h_81.4301192.5321430.0073762.1039310.97280.080850.06400
2h_91.428912.5402040.0073972.0864830.97270.081040.06412
2h_101.4352592.5451770.0074232.1123720.97270.081180.06418

Share and Cite

MDPI and ACS Style

Górnicki, K.; Winiczenko, R.; Kaleta, A. Estimation of the Biot Number Using Genetic Algorithms: Application for the Drying Process. Energies 2019, 12, 2822. https://doi.org/10.3390/en12142822

AMA Style

Górnicki K, Winiczenko R, Kaleta A. Estimation of the Biot Number Using Genetic Algorithms: Application for the Drying Process. Energies. 2019; 12(14):2822. https://doi.org/10.3390/en12142822

Chicago/Turabian Style

Górnicki, Krzysztof, Radosław Winiczenko, and Agnieszka Kaleta. 2019. "Estimation of the Biot Number Using Genetic Algorithms: Application for the Drying Process" Energies 12, no. 14: 2822. https://doi.org/10.3390/en12142822

APA Style

Górnicki, K., Winiczenko, R., & Kaleta, A. (2019). Estimation of the Biot Number Using Genetic Algorithms: Application for the Drying Process. Energies, 12(14), 2822. https://doi.org/10.3390/en12142822

Note that from the first issue of 2016, this journal uses article numbers instead of page numbers. See further details here.

Article Metrics

Back to TopTop