The Self-Degradation Mechanism of Polyvinyl Chloride-Modified Slag/Fly Ash Binder for Geothermal Wells
Abstract
1. Introduction
2. Materials and Methods
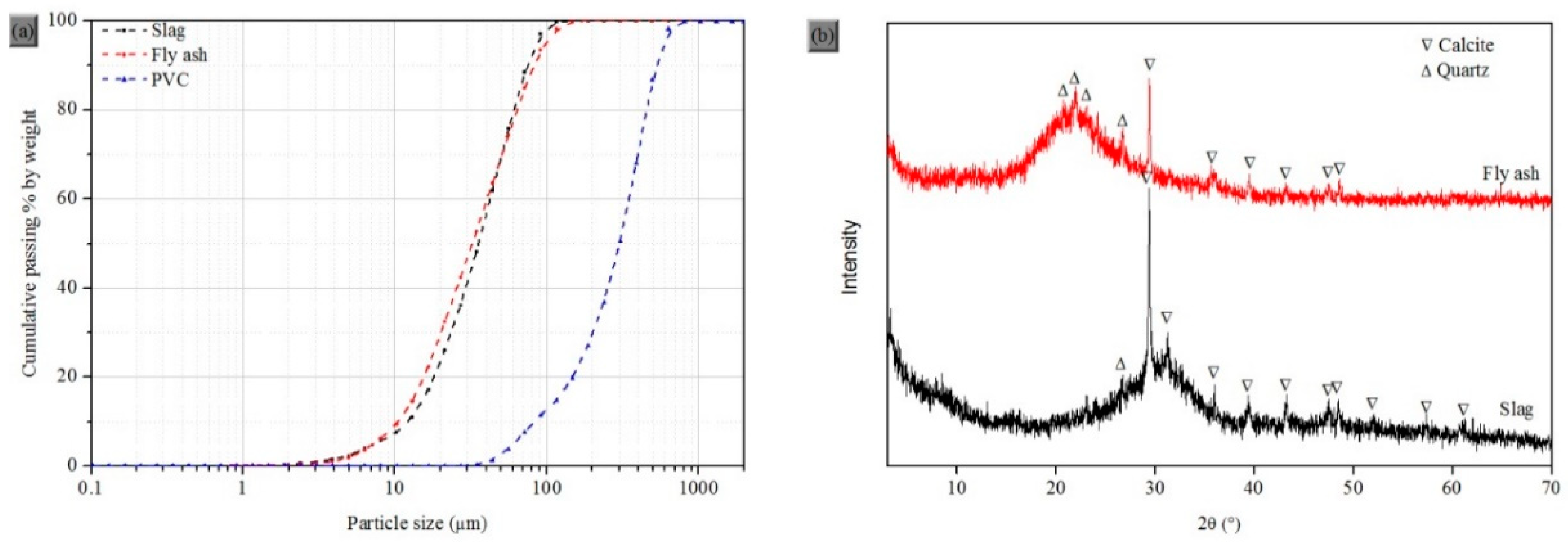
2.1. Materials
2.2. Measurements
3. Results and Discussion
3.1. TGA
3.2. Compressive Strength
3.3. MIP Results
3.4. XRD
3.5. FT-IR
3.5.1. PVC
3.5.2. SFB
3.6. Microstructure
3.6.1. Polarizing Microscope
3.6.2. SEM-EDS
4. Conclusions
- (a)
- PVC is suitable for developing the TSM for 300 °C geothermal wells, based on its thermal property. The compressive strength decreasing level of the binder increases with the increasing PVC content, and achieves 76.63% as the content reaches 20%, after 24 h water-immersion. Considering that the excessive HCl is harmful to down-hole environments, the 20% PVC is selected as the optimal content;
- (b)
- The addition of PVC increases the porosity of the heated binder by mainly increasing the number of multiple damage pores, and having little influence on the other parts;
- (c)
- The binder gels are composed of C-A-S-H and N-A-S-H gels. In the heating process, HCl attacks these gels, resulting in the polycondensation reactions. The reactions lead to the decrease of the average NBO value and the increase of SiQ3 and SiQ4 structural units;
- (d)
- The characteristics of the mechanism of PVC promoting the material degradation are mainly as follows: (1) the thermal degradation of PVC increases the number of multiple damage pores in the binder, at a high temperature; (2) HCl generated by the PVC thermal degradation attacks the binder gels, and breaks them into particles; and (3) HCl also reacts with other substances in the binder, including CaCO3 and NaOH in the pore solution.
Author Contributions
Funding
Acknowledgments
Conflicts of Interest
References
- Sugama, T.; Butcher, T.; Brothers, L.; Bour, D. Self-Degradable Cementitious Sealing Materials; Brookhaven National Laboratory (BNL): Upton, NY, USA, 2010. [Google Scholar]
- Tan, H.J.; Zheng, X.H.; Ma, L.M.L.; Huang, H.X.; Xia, B.R. A Study on the Effects of Starches on the Properties of Alkali-Activated Cement and the Potential of Starch as a Self-Degradable Additive. Energies 2017, 10, 1048. [Google Scholar] [CrossRef]
- Sugama, T.; Butcher, T.; Brothers, L.; Bour, D. Temporary cementitious sealing materials. In Proceedings of the Geothermal Resources Council 2011 Annual Meeting, San Diego, CA, USA, 23–26 October 2011. [Google Scholar]
- Sugama, T.; Pyatina, T. Utilization of PVA Flakes in Promoting Self-Degradation of Temporary Cementitious Fracture Sealing Material. GRC Trans. 2014, 38, 331–338. [Google Scholar]
- Sugama, T.; Pyatina, T. Effect of sodium carboxymethyl celluloses on water-catalyzed self-degradation of 200 degrees C-heated alkali-activated cement. Cem. Concr. Compos. 2015, 55, 281–289. [Google Scholar] [CrossRef]
- Tan, H.J.; Zheng, X.H.; Duan, C.Y.; Xia, B.R. Polylactic Acid Improves the Rheological Properties, and Promotes the Degradation of Sodium Carboxymethyl Cellulose-Modified Alkali-Activated Cement. Energies 2016, 9, 823. [Google Scholar] [CrossRef]
- Chao, R. Acid Fluid for Treating High-temperature Sandstone Formation. Inn. Mong. Petrochem. Ind. 2009, 35, 49–50. [Google Scholar]
- Li, X.H. Brief analysis on acidizing fracturing status and environmental protection of oil drilling. Petrochem. Ind. Technol. 2017, 24, 199. [Google Scholar]
- Liang, B.; Lu, H.J.; Zhu, H.M.; Wu, Z.G. Removal of cement Sticking Accident in workover operation by acidizing method. Sci. Technol. Innov. Her. 2008, 28, 12–13. [Google Scholar]
- Wang, K.J.; Tang, X.M.; Cao, W.D. Removal of cement Sticking Accident in workover operation by acidizing method. Gansu Sci. Technol. 2009, 25, 53–55. [Google Scholar]
- Zhang, D.H.; He, M.; Qin, S.H.; Yu, J. Preparation and Performance of Polyvinyl Chloride/Quaternary Ammonium Salt Antistatic Composites. Chin. J. Colloid Polym. 2017, 35, 7–9. [Google Scholar]
- Sun, G.Y.; Xu, S.H.; Miao, J.J.; Gao, X.F.; Wang, Z.Z. Effect of Ammonium Polyphosphate Microcapsules on Properties of Flexible Polyvinyl Chloride. Polym. Mater. Sci. Eng. 2013, 29, 117–119, 124. [Google Scholar]
- Chen, A.Z.; Yin, J.P.; Wu, D.Z. Study on the relationship between structure and its static thermal properties of PVC. China Plast. 2013, 27, 25–29. [Google Scholar]
- Huang, H.; Liu, N.S.; Yu, Y.H.; Yue, D.L.; Li, Z.J.; Zheng, J.G. Identification Technology of Recycled PVC Plastics for Packaging. Packag. Eng. 2014, 35, 63–66. [Google Scholar]
- Li, D.F.; Ding, H.C.; Zhou, T. Covalent immobilization of mixed proteases, trypsin and chymotrypsin, onto modified polyvinyl chloride microspheres. J. Agric. Food Chem. 2013, 61, 10447–10453. [Google Scholar] [CrossRef] [PubMed]
- Microplastics: The Neglected White Pollution. Available online: http://www.cecol.com.cn/zsrc/20180111/0117242211.html (accessed on 20 September 2017).
- Lee, N.K.; Koh, K.T.; An, G.H.; Ryu, G.S. Influence of binder composition on the gel structure in alkali activated fly ash/slag pastes exposed to elevated temperatures. Ceram. Int. 2017, 43, 2471–2480. [Google Scholar] [CrossRef]
- Pan, Z.; Tao, Z.; Cao, Y.F.; Wuhrer, R. Measurement and prediction of thermal properties of alkali-activated fly ash/slag binders at elevated temperatures. Mater. Struct. 2018, 51, 108. [Google Scholar] [CrossRef]
- Chindaprasirt, P.; Chareerat, T.; Hatanaka, S.; Cao, T. High-Strength geopolymer using fine high-calcium fly ash. J. Mater. Civ. Eng. 2011, 23, 264–270. [Google Scholar] [CrossRef]
- Duan, P.; Shui, Z.; Chen, W. Effects of metakaolin, silica fume and slag on pore structure, interfacial transition zone and compressive strength of concrete. Constr. Build. Mater. 2013, 44, 1–6. [Google Scholar] [CrossRef]
- Blanco, A.; Colina, A.; Rodriguez, W.; Bolivar, R. Effective Pay Zone Isolation of Steam Injection Wells; Society Petroleum Engineers: Richardson, TX, USA, 1999; pp. 1–8. [Google Scholar] [CrossRef]
- Rivera, O.; Long, W.; Weiss, C., Jr.; Moser, R.; Williams, B.; Torres-Cancel, K.; Gore, E.; Allison, P. Effect of elevated temperature on alkali-activated geopolymeric binders compared to portland cement-based binders. Cem. Concr. Res. 2016, 90, 43–51. [Google Scholar] [CrossRef]
- Yang, T.; Yao, X.; Gu, G.W.; Zhu, H.J. Effects of slag on reaction and composition of alkali-activated fly ash-slag blends. J. Nanjing Univ. Technol. (Nat. Sci. Ed.) 2015, 37, 19–26. [Google Scholar]
- Lin, H.Y.; Lin, Y.; Zhang, W.; Zhang, Q. Analysis of pyrolysis products of polyvinylchloride (PVC) by GC-MS. Chin. J. Health Lab. Technol. 2008, 18, 587–589. [Google Scholar]
- Ma, Y.; Wang, Q.; Gao, J.; Tang, J.; Zhao, X.; Ding, C.L. Study on thermal decomposition of PVC by pyrolysis GC/MS. Chem. Reag. 2009, 31, 910–912. [Google Scholar]
- Wang, Q.; Wang, J.; Cao, Y.L.; Zhang, Z.F.; Tang, J. Research on the Thermal Pyrolytic Behaviour of PVC through Pyrolysis-Gas Chromatography-Mass Spectrometry. Plast. Sci. Technol. 2012, 40, 93–95. [Google Scholar]
- Li, R.X.; Liang, K.; Guan, Y.D.; Liu, G.Y. Application of TG-FTIR Analyzing Technology in Thermal Degradation of PVC. Plast. Sci. Technol. 2010, 38, 85–88. [Google Scholar]
- Gui, B. Products and Mechanisms During Poly (Vinyl Chloride) Pyrolysis Based on the Minimization of Secondary Reaction. PH.D. Thesis, Huazhong University of Science and Technology, Wuhan, China, 2013. [Google Scholar]
- Han, T.; Jin, X.Z.; Wang, H.Q.; Li, X.J.; Zhang, K.X. Influence and mechanism analysis of high temperature on the structure and properties of hydrated cement pastes. J. North Univ. China 2015, 36, 378–383. [Google Scholar]
- Tan, H.J.; Zheng, X.H.; Li, F.Y.; Duan, C.Y. Optimization and Characterization of the Self-Degradable Cement for Geothermal Wells. Geotherm. Resour. Counc. Trans. 2016, 40, 255–261. [Google Scholar]
- Tan, H.J.; Zheng, X.H.; Yang, S.W.; Lei, Z.L.; Xia, B.R. Effects of Sodium Silicate on Self-Degradable Cementitious Composites. Am. Lab. 2018, 50, 34–36. [Google Scholar]
- Xu, J.T.; Lu, D.Y.; Zhang, S.H.; Lin, G.K.; Xu, Z.Z. Pore Structures of Mortars with Dolomite and Limestone Powders Cured at Various Temperatures. J. Chin. Ceram. Soc. 2017, 45, 268–273. [Google Scholar]
- Abdalqader, A.F.; Jin, F.; Al-Tabbaa, A. Characterisation of reactive magnesia and sodium carbonate-activated fly ash/slag paste blends. Constr. Build. Mater. 2015, 93, 506–513. [Google Scholar] [CrossRef]
- Ismail, I.; Bernal, S.A.; Provis, J.L.; San Nicolas, R.; Hamdan, S.; van Deventer, J.S. Modification of phase evolution in alkali-activated blast furnace slag by the incorporation of fly ash. Cem. Concr. Compos. 2014, 45, 125–135. [Google Scholar] [CrossRef]
- Djobo, J.N.Y.; Tchakouté, H.K.; Ranjbar, N.; Elimbi, A.; Tchadjié, L.N.; Njopwouo, D. Gel Composition and Strength Properties of Alkali-Activated Oyster Shell-Volcanic Ash: Effect of Synthesis Conditions. J. Am. Ceram. Soc. 2016, 99, 3159–3166. [Google Scholar] [CrossRef]
- Lee, N.K.; Lee, H.K. Influence of the slag content on the chloride and sulfuric acid resistances of alkali-activated fly ash/slag paste. Cem. Concr. Compos. 2016, 72, 168–179. [Google Scholar] [CrossRef]
- Lee, N.K.; Lee, H.K. Reactivity and reaction products of alkali-activated, fly ash/slag paste. Constr. Build. Mater. 2015, 81, 303–312. [Google Scholar] [CrossRef]
- Chang, M.; Yun, H.L.; Zhang, D.H.; Chen, Y.W.; Wang, S.R.; Du, J.; Zhao, C.X.; Yu, H.W. Study on Fourier Transform Attenuated Total Reflection Two-dimensional Infrared Spectroscopy of Polyvinyl Chloride C-Cl Stretching Vibration. Infrared Technol. 2016, 38, 529–535. [Google Scholar]
- Timakul, P.; Rattanaprasit, W.; Aungkavattana, P. Enhancement of compressive strength and thermal shock resistance of fly ash-based geopolymer composites. Constr. Build. Mater. 2016, 121, 653–658. [Google Scholar] [CrossRef]
- Zhang, Z.H.; Wang, H.; Provis, J.L.; Bullen, F.; Reid, A.; Zhu, Y.C. Quantitative kinetic and structural analysis of geopolymers. Part 2. Thermodynamics of sodium silicate activation of metakaolin. Thermochim. Acta 2013, 565, 163–171. [Google Scholar] [CrossRef]
- Gutberlet, T.; Hilbig, H.; Beddoe, R.E. Acid attack on hydrated cement—Effect of mineral acids on the degradation process. Cem. Concr. Res. 2015, 74, 35–43. [Google Scholar] [CrossRef]
- Chen, G.; Han, R.L.; Liu, X.J.; Zhang, W.W.; He, J.Y.; Zhang, Y.P. Corrosion of Surface of Set Cement by Different Acids. Drill. Fluid Complet. Fluid 2015, 32, 67–69, 109. [Google Scholar]
- He, J. Research on the Carbonation Behavior and Mechanism of Hardened Alkali-Activated Slag Cement Pastes. PH.D. Thesis, Chongqing University, Chongqing, China, 2011. [Google Scholar]














| Mix ID | w/s Ratio | PVC (%) | Slag (%) | Fly Ash (%) |
|---|---|---|---|---|
| Control | 0.6 | - | 80 | 20 |
| PVC5 | 0.6 | 5 | 76 | 19 |
| PVC10 | 0.6 | 10 | 72 | 18 |
| PVC15 | 0.6 | 15 | 68 | 17 |
| PVC20 | 0.6 | 20 | 64 | 16 |
| PVC30 | 0.6 | 30 | 56 | 14 |
| Position | Concentration (at%) | Molar Ratios | |||||
|---|---|---|---|---|---|---|---|
| Al | Si | Ca | Na | Ca/Si | Al/Si | Na/Si | |
| 1 | 3.89 | 12.54 | 11.37 | 2.46 | 0.91 | 0.31 | 0.20 |
| 2 | 3.64 | 13.14 | 7.97 | 3.05 | 0.61 | 0.28 | 0.23 |
| 3 | 2.14 | 12.52 | 7.50 | 2.81 | 0.60 | 0.17 | 0.22 |
| 4 | 3.61 | 16.74 | 7.97 | 4.06 | 0.48 | 0.22 | 0.24 |
| 5 | 2.77 | 14.50 | 7.51 | 2.77 | 0.52 | 0.19 | 0.19 |
| 6 | 4.69 | 22.13 | 10.44 | 4.37 | 0.47 | 0.21 | 0.20 |
| 7 | 2.96 | 18.44 | 7.59 | 5.46 | 0.41 | 0.16 | 0.30 |
| 8 | 3.60 | 21.04 | 7.27 | 5.68 | 0.35 | 0.17 | 0.27 |
© 2019 by the authors. Licensee MDPI, Basel, Switzerland. This article is an open access article distributed under the terms and conditions of the Creative Commons Attribution (CC BY) license (http://creativecommons.org/licenses/by/4.0/).
Share and Cite
Tan, H.; Zheng, X.; Chen, L.; Liu, K.; Zhu, W.; Xia, B. The Self-Degradation Mechanism of Polyvinyl Chloride-Modified Slag/Fly Ash Binder for Geothermal Wells. Energies 2019, 12, 2821. https://doi.org/10.3390/en12142821
Tan H, Zheng X, Chen L, Liu K, Zhu W, Xia B. The Self-Degradation Mechanism of Polyvinyl Chloride-Modified Slag/Fly Ash Binder for Geothermal Wells. Energies. 2019; 12(14):2821. https://doi.org/10.3390/en12142821
Chicago/Turabian StyleTan, Huijing, Xiuhua Zheng, Long Chen, Kang Liu, Wenxi Zhu, and Bairu Xia. 2019. "The Self-Degradation Mechanism of Polyvinyl Chloride-Modified Slag/Fly Ash Binder for Geothermal Wells" Energies 12, no. 14: 2821. https://doi.org/10.3390/en12142821
APA StyleTan, H., Zheng, X., Chen, L., Liu, K., Zhu, W., & Xia, B. (2019). The Self-Degradation Mechanism of Polyvinyl Chloride-Modified Slag/Fly Ash Binder for Geothermal Wells. Energies, 12(14), 2821. https://doi.org/10.3390/en12142821
