Study of Downhole Shock Loads for Ultra-Deep Well Perforation and Optimization Measures
Abstract
1. Introduction
2. Mechanical Model of a Perforated String
2.1. Axial, Radial and Circumferential Model of Perforated String
2.2. Displacement of Perforated String
3. Numerical Simulations
3.1. Modeling and Meshing
3.2. Computing Results
3.2.1. Perforating Dynamic Pressure
3.2.2. Propagation of Perforating Shock Loads
3.2.3. Dynamic Response of Perforated String
4. Optimization Measures
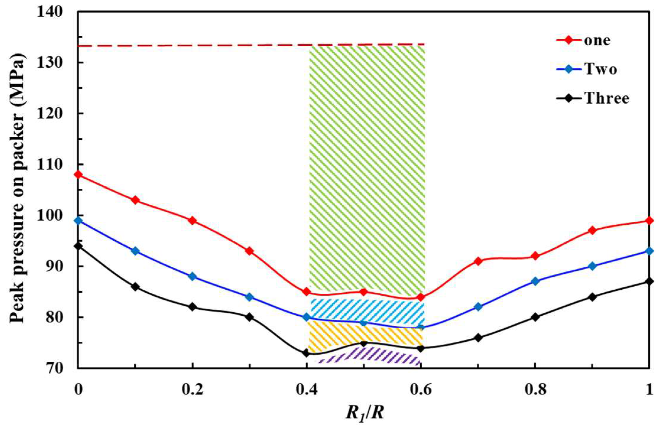
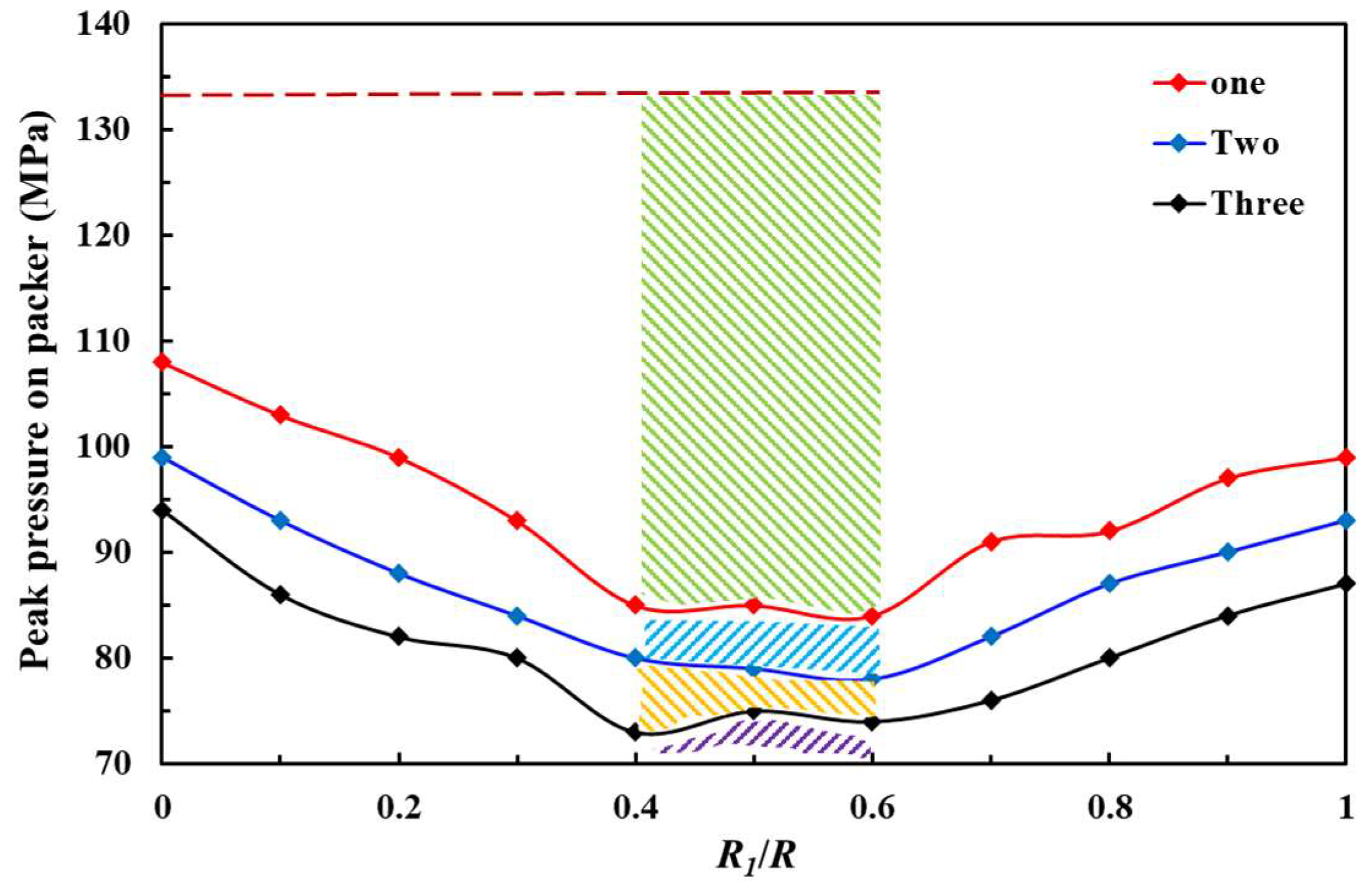
4.1. Design of Shock Absorption
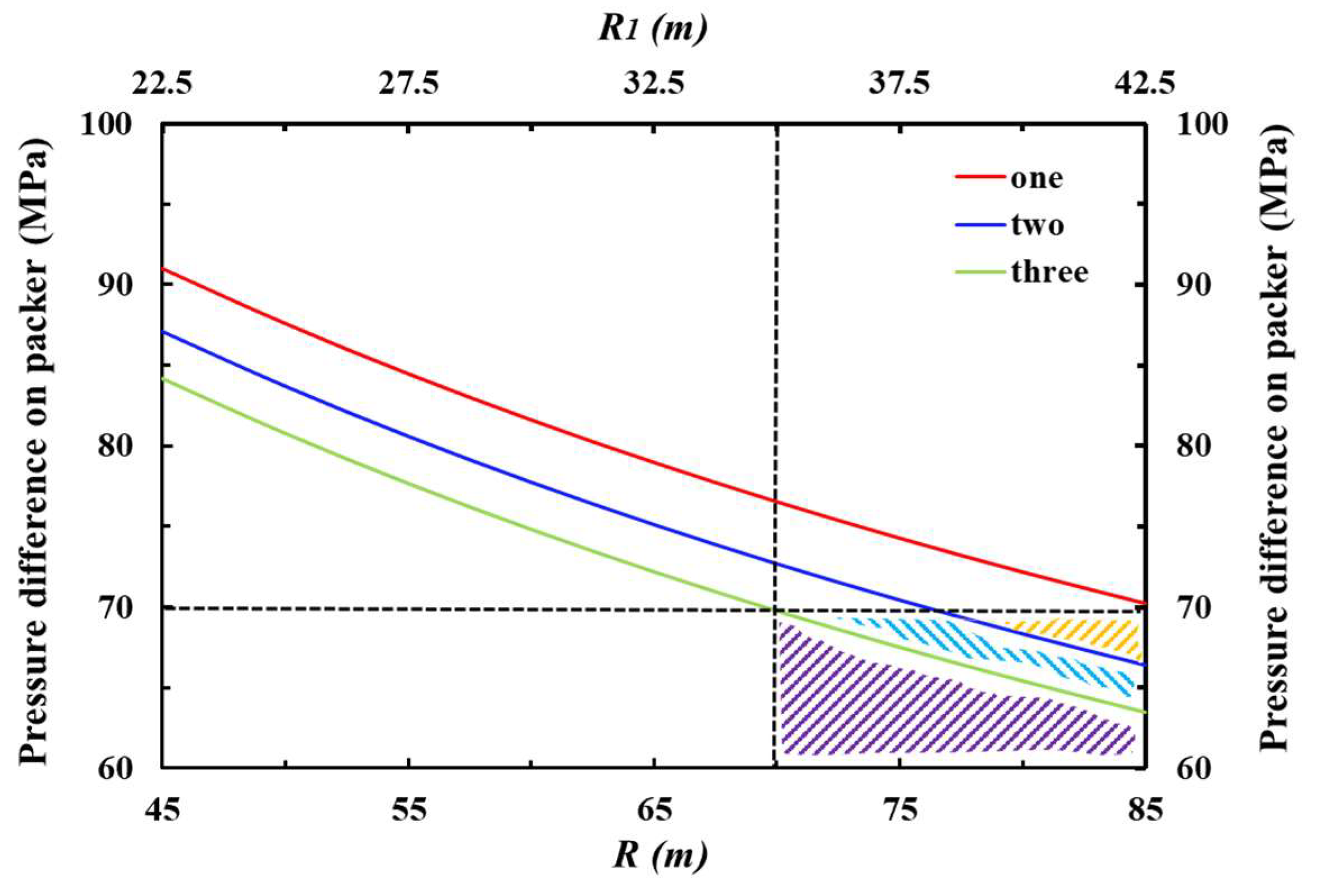
4.2. Safety Analysis of Packer
5. Case Study
6. Conclusions
- (1)
- Through mechanical analysis, dynamic models in the axial, radial and circumferential directions have been established preliminarily, by which the displacement of perforated strings under axial shock loads can be calculated.
- (2)
- The propagation attenuation law of shock loads in the wellbore is obtained, a multi-factors prediction model of which is presented, which shows that the wellbore initial pressure provides the basis for the perforating dynamic pressure, and the shock damage is more obvious with negative perforating pressure.
- (3)
- It is found that the vulnerable parts of the perforated string system are the bottom of the tubing and the position of the packer, and the axial dynamic response of which is the largest with shock loads.
- (4)
- A shock absorption design based on optimizing the installation position and number of shock absorbers is proposed, and the pressure difference on the packer can be calculated.
- (5)
- The case study shows that the optimization methods proposed in this paper are practical, as the shock damage can be greatly reduced by combining shock absorption with a safe distance of the downhole packer.
Author Contributions
Acknowledgments
Conflicts of Interest
Nomenclature
| Density of perforated string | |
| Cross sectional area of perforated string | |
| Elasticity modulus of perforated string | |
| Damping coefficient of perforated string in the fluid | |
| Force acting on perforated string | |
| Perforating pressure | |
| Unit impulse function | |
| Inertia moment of perforated string | |
| Shear modulus of perforated string | |
| Polar moment of inertia of a cross section of perforated string | |
| Constant | |
| Positive number | |
| Positive integer | |
| Natural frequencies | |
| Time integral variable | |
| Intrinsic angular frequency | |
| Radial displacement of perforated string | |
| Axial displacement of perforated string | |
| Angular displacement of perforated string | |
| Function of time | |
| Longitudinal vibration amplitude of the section from the origin of pipe string | |
| Yield stress | |
| Initial yield stress | |
| Strain rate | |
| Effective plastic strain | |
| Parameters of strain rate | |
| Relative volume | |
| Initial internal energy of unit explosive volume | |
| Physical parameters of explosive | |
| Perforating peak pressure after attenuation | |
| Perforating peak pressure at the bottom of tubing interval | |
| Attenuation index | |
| Distance from the position to the bottom of the tubing | |
| Unknown coefficient | |
| Wellbore initial pressure | |
| Formation pressure | |
| Tubing length | |
| Rathole length | |
| Number of perforating bullets | |
| Charge per hole | |
| Perforating peak pressure reduction on the packer with one, two, three shock absorbers | |
| Bearing capacity of the packer | |
| Cross section area of the packer | |
| Liquid column gravity on the packer | |
| Reflected pressure by the packer | |
| Transmission pressure by the packer | |
| Impact resistance parameters of water medium at normal temperature and pressure | |
| Impact resistance parameters of rubber medium at normal temperature and pressure | |
| Permissible maximum peak pressure on the tubing | |
| Internal pressure strength of the tubing | |
| Safety coefficient of internal pressure strength | |
| Local pressure outside tubing |
Appendix A
References
- Zhen, X.; Moan, T.; Gao, Z.; Huang, Y. Risk Assessment and Reduction for an Innovative Subsurface Well Completion System. Energies 2018, 11, 1306. [Google Scholar] [CrossRef]
- Schatz, J.F.; Folse, K.C.; Fripp, M.; Dupont, R. High-Speed Pressure and Accelerometer Measurements Characterize Dynamic Behavior during Perforating Events in Deepwater Gulf of Mexico. In Proceedings of the SPE Annual Technical Conference and Exhibition, Houston, TX, USA, 26–29 September 2004. SPE-90042-MS. [Google Scholar] [CrossRef]
- Xu, C. Numerical Analysis and Model Establishment of Dynamic Response of Perforating String. Master’s Thesis, Xi’an Shiyou University, Xi’an, China, 2017. [Google Scholar]
- Gilliat, J.; Bale, D.; Satti, R.P.; Li, C.; Howard, J.J. The Importance of Pre-Job Shock Modeling as a Risk Mitigation Tool in TCP Operations. In Proceedings of the SPE Deepwater Drilling and Completions Conference, Galveston, TX, USA, 10–11 September 2014. SPE-170260-MS. [Google Scholar] [CrossRef]
- Baumann, C.E.; Dutertre, A.; Martin, A.; Williams, H. Risk Evaluation Technique for Tubing-Conveyed Perforating. In Proceedings of the SPE Europec/EAGE Annual Conference, Copenhagen, Denmark, 4–7 June 2012. [Google Scholar] [CrossRef]
- Lu, D.T.; Xu, G.M.; Kong, X.Y. Calculating Transient Pressure of Wellbore Taking under Perforation Condition with Parallel Computation Method. Univ. Sci. Technol. China 1999, 29, 638–643. [Google Scholar]
- Yin, H.D.; Zhang, J.J.; Li, S.Y. Mechanics Analysis of Perforating Combined Well Testing String and Protection Technology of Downhole Instrument. Oil. Drilling. Prod. Techno. 2003, 25, 61–63. [Google Scholar]
- Yu, Z.D.; Li, Y. Finite Clearance Element Analysis of Perforation Tube String for Testing for Oil. Chinese J. Appl. Mech. 2003, 20, 73–77. [Google Scholar]
- Dou, Y.H.; Li, M.F.; Zhang, F.X.; Yang, X.T. An Analysis of the Effect of the Well Bore Structure on the Strength Safety of the Tubing String at the Perforation Section. China Pet. Mach. 2012, 40, 27–29. [Google Scholar]
- Xu, F.; Li, M.F.; Dou, Y.H.; Zhang, F.X.; Yang, X.T. The Analysis of the Influence of Perforating Parameters on the Strength Security of Perforation String. 12. Appl. Mech. Mater. 2013, 268, 514–517. [Google Scholar] [CrossRef]
- Yang, X.T.; Zhang, F.X.; Li, M.F.; Dou, Y.H. Analysis of strength safety of perforated string considering detonation parameters. Adv. Mater. Res. 2013, 634, 3573–3576. [Google Scholar] [CrossRef]
- Zhang, W.B.; Xie, S.; Lu, Q. Influencing Analysis of Perforation Impact Load on Combined String of Perforation-acidification-test. Well Test. 2016, 25, 8–11. [Google Scholar]
- Zhou, H.F.; Ma, F.; Chen, H.B.; Xu, Y.X.; Xi, LX.; W, S.S. Comprehensive dynamic load test for the column in perforation section. Well Logging Technol. 2014, 38, 247–250. [Google Scholar]
- Lu, X.; Wang, S.S.; Ma, F.; Zhou, H.F. Dynamic responses test of perforating string section under explosion impact. Sci. Technol. Eng. 2014, 14, 53–56. [Google Scholar]
- Chen, F.; Chen, H.B.; Tang, K. Influence of Perforating Impact Load on the Operating String and the Countermeasures. Nat. Gas Ind. 2010, 30, 61–65. [Google Scholar]
- Chen, H.B.; Tang, K.; Ren, G.H. String Dynamic Mechanics Analysis on Ultra-Deep Perforation. Well. Logging Technol. 2010, 34, 487–491. [Google Scholar]
- Baumann, C.E.; Pesantes, E.; Guerra, J.; William, A.; Williams, H. Reduction of Perforating Gunshock Loads. SPE Drill. Complet. 2012, 27, 65–74. [Google Scholar] [CrossRef]
- Teng, Y.S. Dynamic Simulation for Perforating and String Safety Evaluation. Master’s Thesis, China University of Petroleum (East China), Beijing, China, 2014. [Google Scholar]
- Kang, K.; Ma, F.; Zhou, H.F. Study on Dynamic Numerical Simulation of String Damage Rules in Oil-gas Well Perforating Job. Procedia Eng. 2014, 84, 898–905. [Google Scholar]
- Cai, L.Z.; Zhao, H.; Xue, S.F.; Yang, Z.Z. Dynamic Response Analysis of String Structure during Perforating Process. Oil Field Equip. 2015, 44, 26–30. [Google Scholar]
- Yang, Z.Z. Dynamic Response of String under Perforating Pulse Load. Master’s Thesis, China University of Petroleum (East China), Beijing, China, 2015. [Google Scholar]
- Zhang, W.; Xu, C.; Li, M.F.; Zhang, L.; Wang, G.Q. Transient Response and Strength Analysis of Perforating String. China Pet. Mach. 2017, 45, 90–94. [Google Scholar]
- Li, Z.F.; Zhang, C.Y.; Song, G.M. Research Advances and Debates on Tubular Mechanics in Oil and Gas Wells. J. Pet. Sci. Eng. 2017, 151, 194–212. [Google Scholar] [CrossRef]
- Li, B.Y. Analysis of Strength and Safety of Packer Central Tube under Perforating Impact Loading. Master’s Thesis, Xi’an Shiyou University, Xi’an, China, 2018. [Google Scholar]
- Li, M.F.; Xu, F.; Dou, Y.H. Measurement of Perforating Column Vibration Parameters and ALE-based Numerical Simulation. Chin. J. Appl. Mech. 2019, 36, 458–465. [Google Scholar]
- Baumann, C.E. An HP-Adaptive Discontinuous Finite Element Method for Computational Fluid Dynamics. Ph.D. Dissertation, the University of Texas at Austin, Austin, TX, USA, 1997. [Google Scholar]
- Baumann, C.E.; Oden, J.T. An Adaptive-order Discontinuous Galerkin Method for the Solution of the Euler Equations of Gas Dynamics. Int. J. Num. Methods Eng. 2000, 47, 61–73. [Google Scholar] [CrossRef]
- Burman, J.; Schoener-Scott, M.F.; Le, C.V. Predicting Wellbore Dynamic-Shock Loads Prior to Perforating. In Proceedings of the Brasil Offshore Conference and Exhibition, Macaé, Brazil, 14–17 September 2011. SPE-143787-MS. [Google Scholar] [CrossRef]
- Bale, D.; Ji, M.; Satti, R.; Gilliat, J. Advances in Numerical Modeling of Downhole Dynamics for Perforated Well Completions. In Proceedings of the SPE Annual Caspian Technical Conference and Exhibition, Astana, Kazakhstan, 12–14 November 2013. SPE-172308-MS. [Google Scholar] [CrossRef]
- Bale, D.; Satti, R.; Ji, M. A Next-generation Shock-capturing, Multi-phase Flow Simulator for Perforating Applications in HPHT Environment. In Proceedings of the SPE Deepwater Drilling & Completions Conference, Galveston, TX, USA, 14–15 September 2016. SPE-180283-MS. [Google Scholar] [CrossRef]
- Katayama, M.; Kibe, S. Numerical Study of the Conical Shaped Charge for Space Debris Impact. Int. J. Impact Eng. 2001, 26, 357–368. [Google Scholar] [CrossRef]
- Molinari, J.F. Finite Element Simulation of Shaped Charges. Finite Elem. Anal. Des. 2002, 38, 921–936. [Google Scholar] [CrossRef]
- Liu, J.; Guo, X.Q.; Liu, Z.J.; Liu, X.; Liu, Q.Y. Pressure Field Investigation into Oil & Gas Wellbore during Perforating Shaped Charge Explosion. J. Pet. Sci. Eng. 2019, 172, 1235–1247. [Google Scholar]
- Deng, Q.; Zhang, H.; Li, J.; Wang, H.; Cai, Z.Y.; Tan, T.Y.; Hou, X.J. A Model for Estimating Penetration Length under Different Conditions. In Proceedings of the 52nd US Rock Mechanics/Geomechanics Symposium, Seattle, WA, USA, 17–20 June 2018; ARMA-2018-344. American Rock Mechanics Association. Available online: https://www.onepetro.org/ conference-paper/ARMA-2018-344 (accessed on 1 June 2019).
- Deng, Q.; Zhang, H.; Li, J.; Hou, X.; Wang, H. Analysis of Impact Load on Tubing and Shock Absorption during Perforating. Open Phys. 2019, 17, 214–221. [Google Scholar] [CrossRef]
- Cole, R.H. Underwater Explosion; LISA Princeton University Press: Princeton, NJ, USA, 1948. [Google Scholar]
- Gao, Y.D.; Wang, S.H.; Wang, X.C.; Liu, Z.Y.; Guo, S.S.; Tang, J.J. Assessment Packer in Perforating String in Safety Distance. Well Logging Technol. 2016, 40, 382–384. [Google Scholar]
- Yu, Y.; R, F.Y. Application of Packer in Fracture Perforating. J. Xian Univ. Sci. Technol. 2007, 27, 423–425. [Google Scholar]
- Qiu, Q.; Cui, L. Reliability Evaluation Based on a Dependent Two-stage Failure Process with Competing Failures. Appl. Math. Model. 2018, 64, 699–712. [Google Scholar] [CrossRef]
- Qiu, Q.; Cui, L. Optimal Mission Abort Policy for Systems Subject to Random Shocks Based on Virtual Age Process. Reliab. Eng. Syst. Safe 2019, 189, 11–20. [Google Scholar] [CrossRef]
- Deng, Q.; Zhang, H.; Li, J.; Hou, X.; Wang, H. Safety Distances of Packers for Deep-water Tubing-conveyed Perforating. In Proceedings of the Offshore Technology Conference, Houston, TX, USA, 5–7 November 2018. OTC-28770-MS. [Google Scholar] [CrossRef]
















| ρ0 (g/cm3) | D (cm/μs) | B (GPa) | C (GPa) | R1 | R2 | w | E1 | V1 |
|---|---|---|---|---|---|---|---|---|
| 1.69 | 0.8310 | 850 | 18 | 4.60 | 1.3 | 0.38 | 0.1 | 1.0 |
| Direction | Peak (+)/10,000g | Peak (−)/10,000g | Displacement (+)/cm | Displacement (−)/cm |
|---|---|---|---|---|
| Axial | 6.32 | −6.17 | 4.54 | −3.92 |
| Radial X | 2.56 | −2.28 | 0.24 | −0.18 |
| Radial Y | 2.43 | −2.19 | 0.16 | −0.11 |
| R/m | R1/m | R1/R |
|---|---|---|
| 20 | 0 | 0 |
| 20 | 2 | 0.1 |
| 20 | 4 | 0.2 |
| 20 | 6 | 0.3 |
| 20 | 8 | 0.4 |
| 20 | 10 | 0.5 |
| 20 | 12 | 0.6 |
| 20 | 14 | 0.7 |
| 20 | 16 | 0.8 |
| 20 | 18 | 0.9 |
| 20 | 20 | 1 |
| Casing Inner Diameter/m | Tubing Outer Diameter/m | Tubing Length/m | Wellbore Fluid Density/(Kg/m3) | Formation Pressure/MPa | Wellbore Initial Pressure/MPa | Perforating Bullets | Single Charge/g | Rathole Length/m | Wellbore Fluid Height/m |
|---|---|---|---|---|---|---|---|---|---|
| 0.22 | 0.073 | 45 | 1790 | 131 | 120 | 276 | 53 | 10 | 7060 |
| Shock Absorption | Tubing Bottom Pressure/MPa | Packer Pressure Difference/MPa | ||||
|---|---|---|---|---|---|---|
| R0/m | One | Two | Three | One | Two | Three |
| 18 | 125.21 | 120.97 | 118.02 | 91.88 | 87.64 | 84.7 |
| 22.5 | 124.35 | 120.44 | 117.51 | 91.02 | 87.12 | 84.19 |
| 27 | 124.32 | 120.69 | 117.73 | 90.99 | 87.36 | 84.41 |
© 2019 by the authors. Licensee MDPI, Basel, Switzerland. This article is an open access article distributed under the terms and conditions of the Creative Commons Attribution (CC BY) license (http://creativecommons.org/licenses/by/4.0/).
Share and Cite
Deng, Q.; Zhang, H.; Li, J.; Hou, X.; Wang, H. Study of Downhole Shock Loads for Ultra-Deep Well Perforation and Optimization Measures. Energies 2019, 12, 2743. https://doi.org/10.3390/en12142743
Deng Q, Zhang H, Li J, Hou X, Wang H. Study of Downhole Shock Loads for Ultra-Deep Well Perforation and Optimization Measures. Energies. 2019; 12(14):2743. https://doi.org/10.3390/en12142743
Chicago/Turabian StyleDeng, Qiao, Hui Zhang, Jun Li, Xuejun Hou, and Hao Wang. 2019. "Study of Downhole Shock Loads for Ultra-Deep Well Perforation and Optimization Measures" Energies 12, no. 14: 2743. https://doi.org/10.3390/en12142743
APA StyleDeng, Q., Zhang, H., Li, J., Hou, X., & Wang, H. (2019). Study of Downhole Shock Loads for Ultra-Deep Well Perforation and Optimization Measures. Energies, 12(14), 2743. https://doi.org/10.3390/en12142743

